引 言
溴化锂吸收式制冷系统具有节能、环保、低噪等优点,应用前景广阔。传统发生器内溴化锂水溶液传热效率低,机组体积大,制冷能效低。目前强化传热方法以改变流路、添加缓释剂及设计新型换热管为主[1],发生器传热效率仍有待提高。
超声波(频率大于20 kHz的声波)作为新型强化传热技术,消耗较低能耗也可大幅提高传热效率[2],已广泛应用于食品干燥、材料加工等多个领域。Delouei等[3]将有、无超声振动对换热器传热系数的影响进行对比,结果表明,有超声振动比无超声振动的传热系数提高11.37%。液体物性种类对超声强化传热效果具有差异性,Chang等[4-5]对超声波作用于TiO2/R141b和R141b的翅片U形管的池沸腾传热效果进行试验,研究发现,TiO2/R141b的传热系数较R141b高30%左右,而超声波作用于Al2O3溶液自然对流状态下的强化传热效率可达128%[6]。不同工况下超声强化传热效果同样具有差异性,Setareh等[7]和Zheng等[8]分别借助高速摄像机对超声波强化传热机理开展试验研究,揭示了空化效应是强化传热主要原因。而Song等[9]对超声波强化蒸发器的蒸发过程进行试验研究,提出了空化效应和声流诱导效应是强化传热的主要原因。Tang等[10]和Bonekamp等[11]对核态沸腾状态下超声强化传热的机理进行了研究,发现了较低热通量下的液体可获得更强的传热效果。
气泡动力学的研究是从数值模拟的角度来研究超声波强化传热机理的有效途径。超声波作用于液体时产生的气泡吸收能量不断增大,崩溃瞬间将释放巨大能量并产生链式反应[12],气泡最大半径及振荡周期是影响传热效果的重要因素,因此,气泡运动特性对自然对流及池沸腾传热过程有重要影响[13]。Yasui[14]和Liu等[15]通过建立单频气泡动力学模型,对单个气泡的空化过程展开模拟研究,而Kanthale等[16-17]将理论与试验结合的方法对单频气泡动力学理论进行了验证,均得到与前人试验研究相同的结论。除此之外,Ye等[18]和Suo等[19]构建了双频气泡动力学模型,并将双频超声与单频进行比较,Wu等[20]则从试验角度提出双频超声比单频更容易产生空化效应,还有学者[21-23]从声波相位及频率等角度开展了有益的研究。
目前超声强化传热的研究主要以试验观测为主,对单超声振子和双超声振子方面模拟研究较少,溴化锂水溶液和纯水物性差异大,溴化锂水溶液较纯水更难发生空化效应已试验验证[8]。多超声振子强化盐溶液传热方面的理论与试验研究较少,尤其以多超声振子气泡动力学方面的研究尚未报道。为探究超声振子数量对溶液空化特性的影响规律,本文构建了多超声振子气泡动力学模型,以纯水为例验证了模型准确性,探讨了不同影响因素对溶液空化特性的影响。
1 空化气泡动力学模型
发生器内溶液温度和过热度较低或热源管路热量分配不均都将造成传热效率降低。空化效应可辅助增加沸腾气泡数量,增强扰动和削减沸腾传热过程热边界层,强化传热效率,多超声振子作用于溴化锂水溶液较单振子更能增强传热效果。超声作用于溶液时,气泡核将在声波作用下发生拉伸和压缩,气泡核受力模型如图1所示,声波处于负压相位,气泡核壁将受到指向液体的合力,气泡尺寸膨胀;声波处于正压相位,气泡壁受到液体指向气泡的合力,气泡尺寸收缩,气泡生长初期物理模型如图2所示。
考虑到微气泡振荡影响,基于Y-C模型[24],空化气泡在球形坐标中的连续性方程见式(1):

图1 空化泡核受力模型
Fig.1 Mechanical model of cavitation bubble

图2 均匀介质流体中球形气泡
Fig.2 Spherical bubbles in homogeneous media

动量方程为:
2017年,根据《中共江苏省委江苏省人民政府关于印发〈江苏省特色田园乡村建设行动计划〉的通知》要求,镇江市先后有两批共5个村入选省特色乡村建设试点,分别丹徒区世业镇世业村还青洲、世业村永茂圩、先锋村一组、句容市天王镇唐陵村东三棚、茅山风景区管委会李塔村陈庄。
总体上看,一个国家的国内旅游需求对区域气候因素变化具有一定的敏感性,特别是短期内的特殊天气事件更是对旅游需求具有极强的作用效果。

其中,式(1)和式(2)的边界条件如下。
t=0时:

r=R时:

r=∞时:

气泡运动过程中,内外场作用下具有不可压缩性[24],气泡内部声场定为近场,外部声场定为远场。
近场作用下气泡内部所受压力和径向速度为:

外场作用下气泡内部所受压力为:
自古嫦娥爱少年,这个骚货没准看上你啦,想让你做鸭子哩,她一天到晚就是一个人晃荡,没见过她老公,这熊事,她还不知道是个啥人哩。这样的女人,看她那嘴,像刚喝过鸡血似的鬼,咱可不能招惹,她男人万一是个道上的,要杀你剐你,让你缺胳膊少腿,可甭怨我这个叔没给你打预防针。
“共享经济”是以互联网技术为载体,以获得一定的济效益为目的,使大范围内的陌生人与陌生人之间能够实现资源共享,发挥物品最大的使用价值。“共享经济”主要依靠商品的供给者、需求者以及线上的共享经济平台共同实现。而随着互联网技术的不断发展与完善,人们通过线上APP就能进行商业交易和资源共享,这也大大降低了交易成本,“共享经济”的浪潮也由此而来。

φex可由式(9)表示:

当υr∣r→∞=φex∣r→0以及p in∣r→∞=p ex∣r→0时,联立式(6)~式(9),可得气泡动力学方程为:

式(10)变形可得Rayleigh建立空化气泡的R-P方程[25]为:

根据Y-C模型[24],可得:

其中:

双频超声作用于溶液时,溶液将受到正压相挤压和负压相膨胀相互交替合力,两个驱动频率f1、f2及相位差φ组成双频声场,每个驱动频率的声压振幅为:

超声波是一种机械能量的传播形式,声压振幅和声强之间的关系为:

联立式(13)~式(15),可得双频超声作用于溶液时的瞬时局部压力为:

根据式(16),可得到多超声振子作用于溶液时产生的瞬时局部压力为:

多超声振子作用于液体时,超声波发生器中产生的声场性质不均匀[26],主要原因是声传感器未同相驱动。对恒定声压振幅和相位差取π/2,式(17)可修正为:
研究人员首先将振动力场引入注塑成型的充模过程中。日本山形大学的Atsushi Sato及其团队[12]研制了一种超声振动辅助注塑成型装置,如图1所示。该装置由振动单元、注射单元、型腔、超声波发生器、气缸和振动杆等组成。加工过程如下:超声振动装置置于模具的主流道和型腔位置,在注塑充填过程中,超声产生的振动将直接作用于模具上,从而使得模具在注塑过程中发生振动。

在固定超声振子数量的情况下,多超声振子的传感器驱动相位不同的组合排列为:

联立式(11)、式(12)和式(17),可得多超声振子作用于溶液的气泡动力学方程为:

2 结果与分析
基于上述空化气泡动力学模型,利用MATLAB R2016a并采用四阶定步长法编程,依据文献[27-28]编写并调用溴化锂水溶液和纯水的热物理性质对式(20)求解计算。
建筑工程造价预算环节一般都是在建筑项目设计图出来后才开始实施,建筑工程预算环节是贯穿整个建筑工程设计、实施和完成阶段,并不是独立存在的,仅仅把工程造价预算放在设计和完成阶段是不可行的,对工程的实施缺少了控制。
2.1 模型验证
为验证多超声振子气泡动力学模型的准确性,以纯水为例,将文献[8]中单超声振子气泡动力学模型与本模型对比验证。已知超声频率f为25 kHz,声压幅值p a为100 kPa,液体温度T为70℃,初始半径R0为5μm,发生(环境)压力p0为50 kPa,超声振子数量n为1时,图3为两种模型气泡动力学曲线。如图所示,式(20)建立的多超声振子气泡动力学模型与文献[8]基本吻合,误差为3.16%,符合准确性要求。

图3 气泡动力学模型准确性对比
Fig.3 Comparison of accuracy of bubble dynamics model
2.2 发生压力对溶液空化特性的影响
发生压力是发生器内空化过程的环境压力,不仅对吸收制冷系统的制冷效率具有重要影响,对溶液空化特性也具有重要意义。已知f为40 kHz,p a为100 kPa,T为70℃,X为50%,R0为5μm,分析发生压力变化对溶液和纯水的空化特性的影响。

图4 发生压力对液体空化气泡运动的影响
Fig.4 Effect of generating pressure on cavitation bubble dynamics
图4(a)给出了p0分别取10、30和50 kPa时溶液和纯水的空化气泡运动曲线。如图所示,纯水较溶液的气泡运动半径更大,更易产生空化效应[8]。随着p0的提高,液体更易空化。声波作用于液体时产生空化气泡所需最小压力称为阈值压力,发生压力作为液体空化过程的环境压力,发生压力升高导致液体阈值压力降低,液体更易空化。空化效应分为瞬态空化和稳态空化,p0为10 kPa时,溶液和纯水的空化气泡半径逐渐增加,气泡随浮力逐渐逸出液面,称为稳态空化。p0为30或50 kPa时,溶液和纯水的空化气泡出现先吸能半径增大,然后气泡瞬间崩溃的过程,称为瞬态空化。瞬态空化中气泡崩溃瞬间将释放巨大能量,产生链式反应[12],激活更多气泡产生,相比稳态空化,具有更大扰动。考虑到单效吸收式制冷系统中发生器的真空环境,图4(b)给出了p0分别取5、7和9 kPa时溶液和纯水的空化气泡运动曲线。如图所示,溶液和纯水均产生稳态空化,与溶液相比,纯水空化气泡半径随p0的变化幅度更明显。由于瞬态空化释放的能量可大大削减热边界厚度,产生链式反应,增强扰动,为此,将多超声振子用于真空发生器,以期改善真空发生器(单效)的空化效果,提高溶液发生效率。
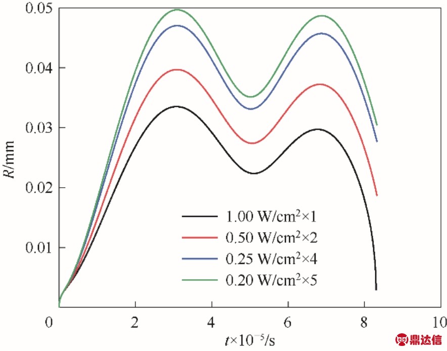
2.3 振子数量及声强均匀度分析
已知多超声振子的I total为1 W/cm2,f为25 kHz,p0为20 kPa,X为50%,T为70℃,R0为5μm,分析振子数量及声强均匀度对溶液空化特性的影响。
图5给出了n分别取1~5时溶液空化气泡运动曲线。如图所示,I total恒定,n由1增加至5时,气泡最大半径R max增加了44.12%,且R max的增加率随振子数量的增加而减小。双频超声空化效果优于单频[29],振子数量增加意味着多声源发射的声波同时作用,声波均匀性提高,溶液空化效果增强。然而,单个振子的声强降低,造成R max的增加率逐渐减小。模拟表明,I total为1 W/cm2,n增加至24~25时,R max的增加率不超过1%。
若Ri优于R0即F1(Ri)和F2(Ri)都小于F1(R0)和F2(R0),则接受Ri,令Ri=R0;否则以一定的概率Paccept接受Ri,Th表示第h个目标函数的温度,Paccept的计算方式如式(27)所示[11]:
图6给出了超声振子的声强均匀度对溶液空化特性的影响。如图所示,n为5时,0.20 W/cm2×5振子组合较0.10-0.15-0.20-0.25-0.30 W/cm2振子组合产生气泡R max的增加率仅为0.53%,多超声振子的声强均匀度对溶液空化特性的影响可忽略。
2.4 超声相位和频率均匀度分析
已知多超声振子的I total为1 W/cm2,p0为20 kPa,X为50%,T为70℃,R0为5μm,分析超声振子的相位和频率均匀度对溶液空化特性的影响。

图5 振子数量对溶液空化特性的影响
Fig.5 Effect of quantitiesof ultrasonic vibrators on solution bubble dynamics

图6 振子声强均匀度对溶液空化特性的影响
Fig.6 Effect of ultrasonic intensity uniformities of ultrasonic vibratorson solution bubble dynamics
超声振子的声波相位可由超声波发生器调节,双频超声振子的声波均以正弦曲线传播时具有最大能量[18],而多振子在盐溶液中以正弦波与余弦波传播时的空化特性研究鲜少报道。为此,选取5个声强为0.20 W/cm2,频率为25 kHz的超声振子,振子之间的声波相位对空化特性的影响如图7所示。振子组合中以正弦波传播的振子数量越多,R max越大。R max越大代表生长过程中吸收能量越多,崩溃瞬间释放能量和剪切力越大,溶液扰动越大。sin×5振子组合产生的气泡R max较cos×5振子组合提高了81.49%,sin×3+cos×2振子组合产生的气泡R max较sin×2+cos×3振子组合提高了15.16%,与双频相位理论一致[18]。

图7 振子声波相位差对溶液空化特性的影响
Fig.7 Effect of ultrasonic vibrators phase difference on solution bubble dynamics
图8给出了超声振子的频率均匀度对溶液空化特性的影响。如图所示,振子的频率均匀度越低,空化强度越大,且频率均匀度对空化强度的影响随振子数量的增多而减小。I均为0.25 W/cm2的10 kHz+40 kHz振子组合产生的气泡R max较25 kHz+25 kHz振子组合提高了84.62%,I均为0.10 W/cm2的10 kHz+20 kHz+30 kHz+40 kHz+50 kHz振子组合产生的气泡R max较30 kHz×5振子组合和20 kHz×2+30 kHz×2+50 kHz振子组合分别提高了80.49%和34.55%。随着f增加,R max减小,空化强度削弱。不同频率声波作用于溶液,高频波可为低频波克服部分阈值压力,提供稳态气泡,形成空化气泡梯级吸热膨胀过程,提高空化强度。因此,频率均匀度越小,传热效率越高。
2.5 多超声振子空化特性对比
不同因素下超声振子在纯水中空化特性已研究[30],而多超声振子盐溶液空化特性尚未报道。以5个超声振子为例,已知I total为1 W/cm2,f为25 kHz,p0为20 kPa,X为50%,T为70℃,R0为5μm,对比不同因素下多超声振子和单超声振子的溶液空化特性。
从我们当前的语文教学现状来看,一些老师还扮演着演讲者的角色,热衷于满堂灌把学生当作装知识的容器,以分数论英雄。还有一些老师整天抱怨学生对语文如何不感兴趣,他们恨铁不成钢,造成师生关系紧张。在这种情况下,学生成了学习的奴隶。语文学习也就成了一件头疼的事情。笔者认为,造成这种状况的原因之一是教师忽视了对学生的情感教育。
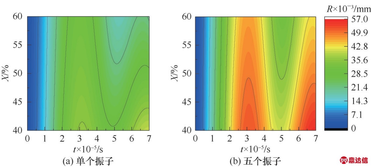
图9给出了溶液浓度对空化特性的影响。如图所示,随着X降低,空化强度提高。X由40%增加至60%时,多振子和单振子的R max分别降低了9.62%和13.89%,X对R max的影响随振子数量的增加而减小。

图8 振子频率均匀度对溶液空化特性的影响
Fig.8 Effect of ultrasonic frequency uniformities of ultrasonic vibrators on solution bubble dynamics
图10给出了溶液温度对空化特性的影响。如图所示,随着T升高,R max越大,达到最大半径所需时间缩短,空化强度提高。T由60℃提高至80℃时,多振子和单振子的气泡R max分别提高了2.04%和3.03%,温度对空化特性的影响随振子数量的增加而降低,且温度变化对溶液空化特性的影响低于浓度变化。
冰臼主要分布于海拔210~792 m的高处,由花岗岩组成的山脊和山峰上,个别分布于山麓地带。分布的山体周围,地势险峻、峰丛密布,并分布有“U”型谷、角峰、刃脊、冰悬槽等冰川地貌特征 。
图11给出了发生压力对溶液空化特性的影响。如图所示,随着p0降低,R max减小,且达到最大半径所需时间变长,空化强度减弱,可以预见,p0继续降低,气泡将随浮力逐渐逸出液面,瞬态空化失效。p0由5 kPa增加至25 kPa时,多振子和单振子的气泡R max分别提高了90.89%和78.95%,p0对R max的影响随振子数量的增加而增加。消耗相同能量,多振子有助于解决单振子在单效真空发生器(压力低于10 kPa)内空化强度不佳的问题,增强溶液扰动,提高传热系数。

图9 溶液浓度对空化特性的影响
Fig.9 Effect of solution concentration on cavitation bubble dynamics

图10 溶液温度对溶液空化特性的影响
Fig.10 Effect of solution temperature on cavitation bubble dynamics

图11 发生压力对溶液空化特性的影响
Fig.11 Effect of generating pressure on cavitation bubble dynamics

图12 超声频率对溶液空化特性的影响
Fig.12 Effect of ultrasonic frequency on cavitation bubble dynamics
图12给出了超声频率对溶液空化特性的影响。如图所示,随着f降低,R max增加,气泡达到最大半径所需时间缩短,空化强度增加。f由20 kHz增加至40 kHz时,多振子和单振子的气泡R max分别降低了48.78%和49.18%,f对气泡R max的影响随振子数量变化可忽略。
图13给出了总声强对溶液空化特性的影响。如图所示,随着I total增加,R max增加,气泡达到最大半径所需时间缩短,空化强度提高。I total由1 W/cm2增至5 W/cm2时,多振子和单振子的气泡R max分别增加了48.97%和48.48%,I total对R max的影响随振子数量变化可忽略。消耗相同电能,多振子空化强度明显高于单振子,对提高发生效率,改善系统性能具有重要意义。
3 结 论
构建了多超声振子气泡动力学模型并对模型进行了准确性验证,对多超声振子作用于盐溶液的空化特性开展研究,结论如下。

图13 总声强对溶液空化特性的影响
Fig.13 Effect of ultrasonic intensity on cavitation bubble dynamics
(1)总声强恒定时,超声振子数量的增加将显著提高溶液空化强度,然而气泡最大半径增加率随超声振子数量的增加而降低,数量增至24~25个时,气泡最大半径增加率不超过1%。
(2)发生压力降低将减小空化气泡最大半径,气泡达到最大半径所需时间增长,空化强度减弱。多超声振子的应用有助于解决发生压力降低造成空化强度减弱的问题。
(3)多超声振子中正弦波数量越多,空化强度越高。sin×3+cos×2超声振子组合较sin×2+cos×3超声振子组合产生的气泡最大半径高15.15%。
(4)多超声振子的频率均匀度越小,溶液空化强度越高,而声强均匀度对溶液空化强度的影响可忽略。不同频率的声波同时作用溶液可出现空化气泡梯级吸热膨胀现象,空化强度提高,溶液扰动增强。
结直肠癌又称大肠癌,是胃肠道中常见的恶性肿瘤,治疗结直肠癌的方式主要为手术,但在术后,会存在着一定的负面影响,如患者睡眠治疗下降,心情压抑郁闷,进而导致生活质量都下降等不良状况,但当前临床效果显示,在术后对结直肠癌患者进行护理干预会是这种不良情况减弱,会提高患者的生活和睡眠质量。因而,特选取本院2016年1月~2018年1月两年内的40例结直肠癌患者进行试验分析,现报道如下。
符号说明
c——溶液媒介中的声速,m/s
证明 对任意x,y ∈ X, 记axy= (((x → y)1)((x → y)y) → x.由命题1.1(11),(12)和引理2.1(2)知,
f——超声波的频率,Hz
I,I total——分别为单个超声振子的声强和超声振子组合的总声强,W/cm2
k——溶液的多变指数
m——超声振子组合数
n——超声振子数量
p——压力,Pa
多具有不规则状晶形,与石英、云母等脉石矿物关系密切,少部分与黄铁矿连体,白钨矿中含钨约为60.81%,粒度主要为中细粒,占75.14%,部分为微细粒,占12.02%,少量为粗粒,约占12.82%。矿石中的白钨矿解离度较好,-0.074 mm含量占65%的磨矿细度下,92.73%的白钨矿已单体解离,6.49%的白钨矿与脉石矿物共生。因此,白钨矿主要分为两类,一类多数为单体解离,但粒度大小差别较大。另一类粒度较细,与脉石矿物与石英、长石等脉石矿物共生或呈港湾状接触,或包裹于脉石矿物颗粒中。
p a——超声振子声压幅值,Pa
p ex,p in——分别为气泡外场压力和近场压力,Pa
p g——气泡压力,Pa
p v——蒸气压,Pa
p0——发生(环境)压力,Pa
p∞——溶液的静压力,Pa
R,R0,R max——分别为气泡的瞬时半径、初始半径和最大半径,m
T——温度,°C
在实施护理前,实验组、对照组患者SAS评分和SDS评分比较,差异无统计学意义(P>0.05),但是经不同的护理干预后,实验组SAS评分和SDS评分低于对照组,差异有统计学意义(P<0.05),见表1。
t——时间,s
X——溶液浓度,%
μ——溶液的黏度,Pa·s
ρ,ρ0——分别为密度和平衡密度,kg/m3
σ——溶液的表面张力,N/m
τr,τθ——分别为气泡的径向应力和极向应力,Pa
υr,φex——分别为气泡的径向速度和极向速度,m/s
φ——超声波的相位
ψ1,ψ2——分别为发出和入射的声波