摘要 人体脉搏信号携带有丰富的与健康相关的生理信息。为了方便脉搏信号的采集和研究,本文设计出一种采用轻触式薄膜按键面板工艺的自制脉搏压力传感器,并使用了常见的555和V-f转换器件将传感器压力信号转换为电信号,再通过后续设计的滤波、陷波放大电路以及电路的干扰抑制处理,系统就可以获取高质量的脉搏波信号。传感器的性能测试以及示波器的应用结果表明,基于薄膜压力传感器的脉搏信号测试系统工作性能稳定,并通过示波器的串口通信扩展模块或者LABVIEW采集卡可以在计算机上显示出采集的脉搏信号,此测试系统可用于脉象信息的采集与研究。
关键词 脉搏信号;薄膜压力传感器;信号调理电路
0 引言
脉象是指脉搏的形象和动态,它携带有丰富的人体健康状况信息。中医能通过三个指头在“寸、关、尺”部位分辨出五脏六腑的疾病。探索中医脉诊客观化,是中医临床研究的重要课题[1]。
本文介绍了一种基于自行设计的脉搏压力传感器的脉搏信号采集系统。通过传感器电容极距的变化反映脉搏压力的变化,并通过后续稳定可靠的调理电路把脉搏信号提取出来。由于传感器体积小、价格低廉,调理电路简单可靠,易于获得准确客观的脉搏信息。
1 脉搏压力传感器设计
1.1 理论模型
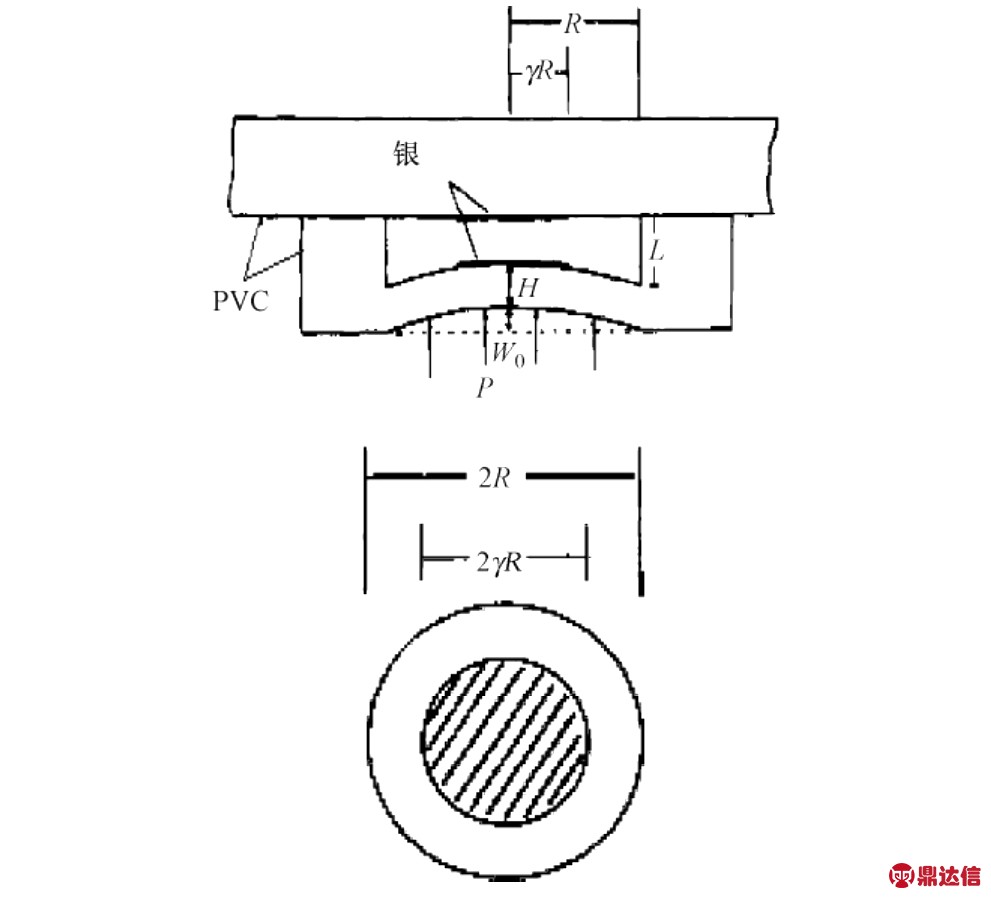
本文设计的脉搏压力传感器采用的弹性薄膜材料为PVC,电容极板为金属银浆,电容以空气为介质,这种结构有利于提高传感器的灵敏度和线性度[2],如图1所示。图中黑色加粗的线表示银浆构成的电容极板,γR表示银浆电容极板的半径,R为敏感元的半径,L为电容传感器两极板之间的距离,H代表接触皮肤部分的PVC的厚度,P表示脉搏压力在下极板上形成的压强。

图1 脉搏压力传感器结构图
Figure 1 Structure diagram of pulse pressure sensor
1.2 压力传感器变形的ANSYS模型分析
通过ANSYS软件,建立脉搏压力传感器的简单结构模型,并进行传感器变形的挠度分析。
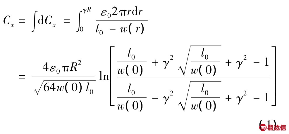
图2是在薄膜表面施加40kPa压强时薄膜的变形分布图,从图中可以看出,传感器敏感元沿半径方向变形是不均匀的,中心位置w(0)的挠度值最大,向两侧递减。
在相同压强作用下,由于敏感元各点变形不同,因此电容量Cx的表达式应该表示为:

式中,w(0)为中心点的挠度值。
w(r)为偏离圆中心点半径r处的挠度值。
式中,ε0为介电常数。

图2 薄膜挠度分布图
Figure 2 Distribution diagram of membrane deflection
2 系统电路设计
2.1 系统电路
在脉搏压力下,传感器的极距发生变化,导致电容量改变。通过555振荡电路、f-v(LM331)转换电路,将脉搏压力的变化转化为电压的变化量,经过信号调理,最终实现脉搏信号的提取。系统框图如图3所示。

图3 系统框图
Figure 3 Block diagram of system
555电路图如图4所示,其中电容CX+C表示薄膜压力传感器与分布电容之和。

图4 555电路图
Figure 4 The circuit diagram of 555
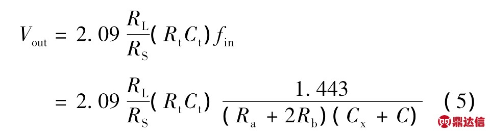
经过555构成的多谐振荡器之后,555电路的输出为频率f in,并作为f-v转换电路的输入量。它随着薄膜压力传感器电容大小的变化而改变,其公式为:
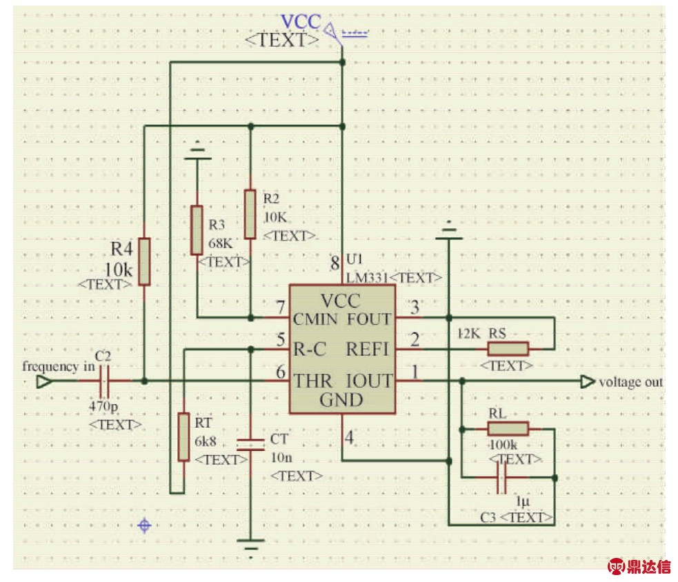
f-v(LM331)转换电路如图5所示。
经过555振荡电路和f-v转换电路后输出电压表达式如下:

图5 f-v(LM331)转换电路电路图
Figure 5 The circuit diagram of f-v converter

式中,f in为555输出的频率量;C x为传感器电容量;C为分布电容;R a、R b为555电路中的参数;R L、R S、R t、C t均为LM331电路中的参数。
2.2 信号调理电路
根据大量的脉象频谱分析得出结论[3],脉象信号频谱能量主要集中在10Hz以下,比较微弱,并且有用信号有可能被50Hz工频信号干扰导致淹没。因此为了高质量地提取脉搏信号,调理电路采用了有源巴特沃斯滤波器。电路框图如图6所示。

图6 电路框图
Figure 6 Block diagram of circuit
为了提取丰富的脉搏信号,同时又避免高频、工频干扰引起的信号质量下降,本文采用Filter Solutions软件分别设计了截止频率为30Hz的三阶低通滤波器、截止频率为0.2Hz的三阶高通滤波器以及一阶Butterworth 50Hz陷波器,在实际应用中取得了较好的滤波效果。
经过滤波后的信号幅度比较小,只有几十毫伏,通过增益连续可调的同相放大器将信号放大到±5V范围内,经过电压跟随器后,可以方便地与采集卡或者示波器相连接。整个信号调理电路结构简单,成本低,但是能高质量地把信号提取出来。
2.3 系统电路的干扰抑制处理
一般模拟电路的信号流程是由弱到强。但是与脉搏传感器相连接的555震荡电路输出的电压高、电流大、频率高,会通过地线和电源的共阻抗耦合等方式对后续的模拟信号转换电路产生很大影响;最后的放大输出级其输出电流与前级的相比大得多;使用的电源易于引入工频干扰;综合以上干扰因素,它们会使整个电路的输入、输出信号产生严重的波形失真,因此必须采取有效措施削弱各种干扰的影响。
为了最大程度地减弱555对整个电路系统的影响,在电路板设计时,采取对555单路供电、在电源线端接入RC去耦电路、远离后级的信号调理电路、将其地线与电源地线相连和在电源端接入大容量电解电容等措施。实验表明,以上措施取得了较好的抑制干扰效果。
另外,系统电路中每个芯片的正电源管脚旁路一个小电容可以起到把高频噪声信号引导到地的作用,从而进一步减弱了555大幅值信号对各芯片的影响。
由于多部脉搏传感器需要同时传送多路脉搏信号,为减小各通道电路之间的相互影响,每通道电路和电源之间都加上去耦电路。
针对放大输出级的电流大易于产生地线耦合干扰的问题,系统电路采取了将电源地、信号地分别布线的方式。在输出级将电源地、信号地连接并接入地层。
对于电源易于引入的工频干扰,系统设计了一阶Butter worth 50Hz陷波器电路,用软件得到的函数如图7所示。

图7 陷波器函数
Figure 7 The function of band stop fliter
其设计阻带宽6Hz、Q为8.3,软件设计电路如图8所示,其中黑色标注的元件与数值为软件计算的理想值,经过TH2811B型LCR数字电桥的挑选,实际应用的电阻与理论值相差不大,对陷波器的性能无显著影响;由于工程应用中没有与软件设计值相符合的元件,因此挑选与理想值近似的电容与电阻,如图9中所示蓝色元件,最后得到修改元件值后的陷波器中心频率F0与目标频率相差不到0.5Hz。经过测试实际陷波深度可达-20dB。针对各种干扰采取的上述措施经过电路试验后表明,可以有效地削弱干扰信号,为高质量地提取出脉搏信号打下良好基础。

图8 50Hz陷波器电路图
Figure 8 The circuit diagram of 50Hz band stop Butterworth
3 系统测试
3.1 传感器性能测试
性能测试主要测试脉搏压力传感器的线性度和一致性。测试时,利用血压计气囊充气模拟外加压强施加在脉搏传感器上,施加压强后记录传感器电容量与LM331(f-v)输出电压。测试压强范围0~300mmHg,进行多次重复测试试验。3次重复测试结果如表1所示。

图9 50Hz滤波频率响应
Figure 9 Frequency response diagram of 50Hz band stop Butterworth
表1 压强P与电容量Cx、输出电压V out测量实验数据
Table 1 Experimental data of pressure P and output voltage V out

注:V out是3次测试结果去平均值,即V out=(V out1+V out2+V out3)/3,Cx=(Cx1+Cx2+Cx3)/3。
由图10可知,脉搏压力传感器的电容量在压强为0~270mmHg范围内实测值与理论几乎一致,而人体脉搏压是小于270mmHg的。由图11可知,3次测试结果几乎一致,说明脉搏压力传感器的一致性比较好;因此适合于人体脉搏测量。再利用Matlab拟合出了压强P与输出电压V out关系曲线,其线性方程为:

图10 实测值与理论值对比图
Figure 10 Comparison of experiment data and theory data

图11 P与V out的关系曲线
Figure 11 Relation curve between P and V out
3.2 脉搏信号测试及结果
图12是采用泰克TDS220示波器并通过其串口通信扩展模块送至计算机显示得到的一位中年志愿者的脉搏信号波形图。脉搏测试时,被测者心平气和地坐着,将手臂放于桌面上并在下方垫一棉垫,把脉搏传感器对准手腕桡动脉“寸、关、尺”其中一个部位,通过模拟手指把脉运力。

图12 示波器测得的脉搏信号
Figure 12 Pulse signal from oscilloscope
由图12可知,脉搏波周期大约为1s,即心率为60左右,与血压计测出来的心率62基本一致。图13是文献[4]报道的(a)、(b)两例健康人客观化脉象波形,与之对比,本设计所采集到的脉搏波主峰回落时有小的峰[3](回波),所以是客观、正确的。本系统所采集到的脉搏信号波形比较清晰、稳定、一致性好,由此验证了自制压力传感器和信号调理系统的可行性。不仅如此,本系统还可以直接连接到LABVIEW采集卡,将脉搏信号送至上位机进行进一步的信号分析。

图13 健康人客观化脉象波形
Figure 13 Objective pulse signal of healthy people
4 结论
脉搏压力信号是最常见的生物信号,它反映了内脏器官的重要信息。本文提出的自制脉搏压力传感器线性度好、尺寸小、价格低廉、工艺简单;在此基础上通过后续简单、稳定、可靠的信号调理电路获取的脉搏波与中医理论相一致,初步实现了脉搏信息的客观性、准确性和完整性;在前人研究的基础上积累了经验,有望为后续的中医脉搏诊断提供研究依据,使脉诊技术走向客观化。



