摘 要:针对双组元统一推进系统的气路建立了零维非线性数学模型,对气路系统从启动到额定工况直至关机阶段的工作全过程进行了数值仿真,仿真结果与试验数据一致,验证了模型的正确性.在此基础上,探讨了减压阀和单向阀的结构参数对于气路系统动态特性的影响规律,研究表明:单向阀的流量特性和开启特性使其充当了缓冲阀的作用,提高了气路系统的稳定性;同时减小反馈孔直径、增大阀芯阻尼可以提高减压阀的稳定性.
关键词: 气路系统;减压阀;单向阀;响应特性;稳定性
0 引 言
双组元统一推进系统的气路作为采用统一模式的轨控和姿控发动机共用的气体增压系统,其功能是通过对推进剂贮箱的增压使推进剂输送系统输出相应流量的推进剂为推力器提供氧化剂和燃料,因此在工作过程中其稳定性必须符合一定要求才能保证两种工作模式下相应发动机的正常工作.然而实际设计和试验过程中,由于管网结构的复杂性,尤其是气体减压阀和单向阀组件的结构复杂性,气路系统的稳定性就成为一个比较突出的问题[1-2].国内外已开展的数值仿真研究多集中在火箭气体增压系统[3-5],而针对含有减压阀、单向阀和气瓶这三个关键元件的卫星推进气路系统研究并不多.
本文建立了双组元推进系统气路系统的数学模型,对气路系统从启动到额定工况直至关机阶段的工作全过程进行了数值仿真,同时结合试验测量数据对仿真结果进行了分析与评估.并且在此基础上,探讨了减压阀和单向阀结构参数对于气路系统动态特性的影响规律.研究表明:单向阀的流量特性和开启特性使其充当了缓冲阀的作用,提高了气路系统的稳定性;同时减小反馈孔直径、增大阀芯阻尼可以提高减压阀的稳定性.
1 气路系统组成及工作原理
1.1 气路系统简介
气路系统的组成示意图见图1.
双组元统一推进系统气路结构复杂,包含气瓶、减压阀、单向阀、电爆阀、贮箱、管路连接件等部件.
气路系统工作过程为:手动阀门打开之后,气瓶内的高压气体经过减压阀减压,之后分为两路经过单向阀,分别为氧化剂贮箱和燃料贮箱增压.

图1 气路系统原理图
Fig.1 Gas system schematic
减压阀的结构原理见文献[7].单向阀主要用于防止推进剂蒸汽逆向进入气路系统而造成故障,其结构原理图见图2.当单向阀上、下游压力差大于开启压差时,阀芯打开,气体从大、小阀芯与相应阀座之间的缝隙以及止回孔流向下游;当上、下游的压力差小于开启压差时,阀芯运动件上所受的开启力小于弹簧对阀芯的闭合力,阀芯关闭.

图2 单向阀原理图
Fig.2 Check valve schematic
2 数学模型
2.1 模型假设
根据气路系统组成和工作原理建立数学模型,考虑到本文研究的是宏观现象,为突出问题本质,在建立数学模型时,作一些合理假设和简化如下:
1)视工作介质为理想气体;
2)各个容积气体压力场和温度场呈均匀分布;
3)不计密封比压的影响,即认为活门关闭时,阀座处的漏量为0.
2.2 动态模型
2.2.1 气瓶放气过程
高压气瓶可看成一个气腔和一个气体出口端口的组合件,其动力学模型可由瓶内气体的质量流量方程、连续方程以及能量方程得到.
a)气体的质量流量方程
对于气体流过节流口或限流孔时,一般情况下可将孔口近似当作收缩喷嘴来处理,为方便书写,记:

式中,fij为压力比函数,Qm1、Cd1、Av1分别为气瓶出口节流处流量、流量系数及节流面积,p1、ρ1分别为气瓶内气体压强和密度,pe为气瓶出口外管路中的气体压强,γ为气体绝热指数.
b)气体的连续方程
根据质量守恒定律,建立气瓶的连续方程
![]()
(2)
式中,V1为气瓶容积,t为时间.
c)气体的能量方程
考虑气体和外界有热能量传递的情况,其能量方程为:
![]()
(3)
式中,
为气瓶内气体对管壁的单位面积上的热流密度(通常可以按对流换热考虑),S1为气瓶内气体与管壁的接触表面积.
2.2.2 阀门数学模型
减压阀、单向阀一类的气体阀门可以看作是由局部流阻将各个气体体积单元连接而成的组合模块.其动力学模型见文献[7].
a)减压阀运动方程
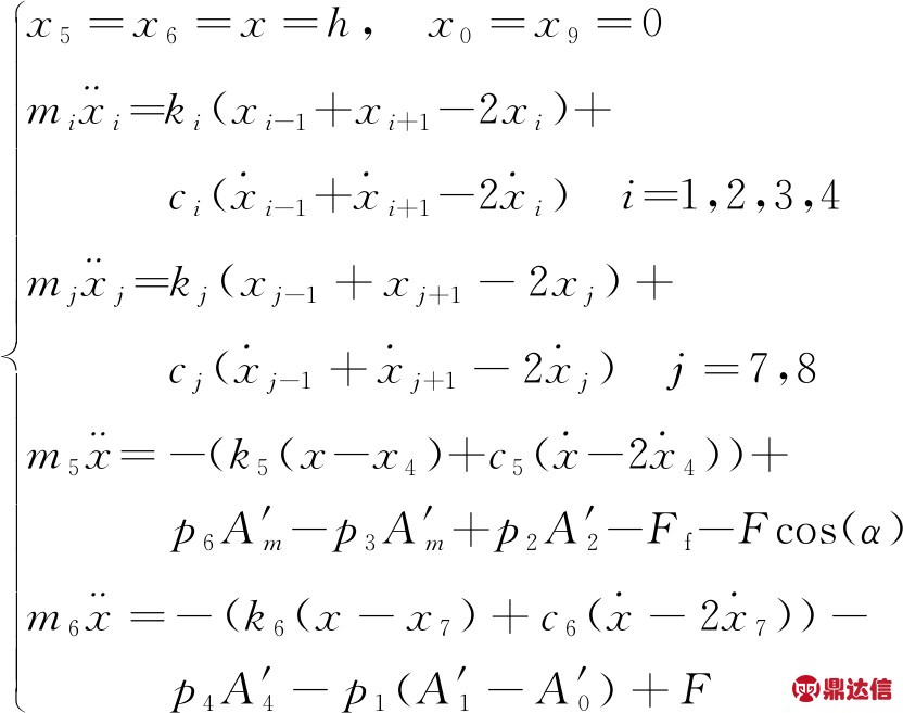
以往的减压阀模型将阀芯组件以及弹簧的质量都集中在一个质点上建立阀芯运动微分方程,模型极其简化,并未详细考虑摩擦阻尼的作用.实际上,摩擦阻尼对于减压阀的稳定性至关重要;而且运动组件的质量主要来源于弹簧.因此,本节将重点考虑阀芯顶杆与阀体之间的摩擦阻尼作用以及弹簧的离散化,建立减压阀的离散运动微分方程.离散示意图如图3.

图3 减压阀运动模型
Fig.3 Motion model of pressure reducing valve

(4)
式中,p6为大气压强,
为膜片有效面积,
为低压气体作用在阀芯有效面积,
为卸荷腔气体作用在阀芯有效面积,
为高压气体作用在阀芯有效面积,x1,x2,x3,x4为主弹簧离散点位移,m1,m2,m3,m4为主弹簧离散点质量,k1,k2,k3,k4,k5和c1,c2,c3,c4,c5为主弹簧离散点刚度和阻尼系数,x7,x8为副弹簧离散点位移,m7,m8为副弹簧离散点质量,k7,k8,k9和c7,c8,c9为副弹簧离散点刚度和阻尼系数,x5,x6为阀芯运动组件离散点位移,m5,m6为阀芯运动组件离散点质量,F为阀芯运动组件离散模块间的相互作用力.
顶杆与阀体之间的摩擦力为:
Ff=Fsin(α)μ
其中,α为阀门顶杆与阀座之间的夹角,摩擦力模型采用一种比较常见的速度依赖型干摩擦数学模型——Stribeck模型,该模型设定滑动摩擦系数为:
vr是相对速度,k1,k3是系数,其中
μs为最大静摩擦系数,μm为最小动摩擦系数,vm为最小动摩擦系数所对应的速度.
2.2.3 贮箱数学模型
贮箱可看成是由一个气腔及气体入口端口,一个液腔及液体出口端口组成的组合件,两个容腔之间的隔膜看成是理想的几何隔离面,两侧压强相等.其动力学模型的建立与气瓶类似,这里不再赘述.
3 仿真结果与分析
3.1 仿真结果与试验结果的对比
气路系统气瓶工作气体为氦气,试验系统中的气瓶容积为40 L,气瓶初始压力为12 MPa,系统温度为293.15 K.利用上述所建立的动态数学模型对气路系统从启动到额定工况直至关机阶段的工作全过程进行动态响应特性仿真.为了节省计算时间,仿真计算时将气瓶容积设置为1 L,仿真步长为0.01 ms.
仿真计算中,在第7.5 s,两路贮箱下游阀门打开,气路系统从关闭阶段进入减压阀和单向阀的开启阶段和箱压平稳工作阶段;在第13.48 s,两路贮箱下游阀门关闭,气路系统进入减压阀和单向阀阀芯关闭阶段.
图4为气瓶压力、减压阀出口压力、两路单向阀阀出口压力及两路单向阀下游的流量变化的仿真计算结果与试验结果的对比.可以看出,仿真计算的减压阀、两路单向阀的打开、关闭时间比与时序,以及各个压力点、流量点与试验结果基本一致,稳态时刻的仿真输出与试验结果相比,误差在1%之内,验证了仿真模型和计算结果的正确性.
如图4(c),4(d)所示,在第7.5 s,两路贮箱下游阀门打开,贮箱压力逐渐降低,一段时间后,两路单向阀小阀芯前后压差相继达到临界开启压差,但是由于大阀芯仍旧关闭,因此单向阀小阀芯处于开合相间的临界开启状态,这时会因为小阀芯的反复关闭出现一个小流量阶段.随着单向阀下游的压强不断降低,由于燃路单向阀流量略大于氧路单向阀,燃路单向阀大、小阀芯率先打开,减压阀低压腔和反馈腔压力开始下降,减压阀阀芯开启,减压阀低压腔与单向阀之间的气体压强升高,并使得氧燃两路大、小阀芯迅速到达额定开度.减压阀低压腔气体流入单向阀,贮箱压力再次降低,随着气瓶内氦气的不断流出,减压阀输出压力升高,并输出1.585 MPa左右的额定增压氦气,氧燃两路迅速由落压式工作状态进入到增压式工作状态,单向阀下游贮箱压力开始恢复至平稳工作状态.
在第13.48 s,两路贮箱下游阀门关闭,氧燃两路贮箱压力逐渐升高,由于氧路贮箱压力略大于燃路贮箱压力,氧路单向阀率先进入阀芯闭合阶段.在13.71 s左右,氧路单向阀大小阀芯关闭,减压阀阀芯关闭加速,减压阀和单向阀之间的压力迅速升高,燃路单向阀大小阀芯关闭速度先是减缓,随后又开始加速,最后大阀芯和减压阀阀芯几乎同时关闭.氧路单向阀的率先关闭一方面延滞了燃路单向阀关闭的时间,使得减压阀的出口压力关闭曲线存在一个拐点;另一方面也使得燃路单向阀关闭所需的出口腔压强升高,和传热共同作用,造成氧燃两路存在一个关闭压差.
图4(b)的仿真曲线和试验曲线都揭示了减压阀关闭的两个阶段,但是仿真曲线在减压器和单向阀阀芯完全闭合后的停机阶段变成持平,而试验曲线在停机阶段却出现了缓慢上升的现象.事实上,在地面试验中,减压器的出口压力曲线会因为阀门内漏率及热效应的共同影响,而出现关闭后压力持平、缓慢爬升或者压力下降的现象.一般而言,较大的内漏率会导致关闭后的出口压力爬升现象.而本文的减压器模型并未考虑密封比压和与外部环境换热的影响,因此仿真曲线与试验曲线有所不同,但是对气路系统的稳定性分析并无影响.

图4 气路系统数值仿真结果与试验结果的对比
Fig.4 Comparison of simulation results and test data of gas system
3.2 结构参数对气路系统动态特性的影响
在双组元统一推进气路系统中,减压阀负责把高压气瓶提供的氦气减压到工作要求的设计压强点并稳定在一定压强范围内,单向阀则负责防止两路推进剂贮箱增压氦气的倒流,并通过其止回孔处的节流控制两路增压氦气的流量.一方面,减压阀和单向阀都是弹簧质量组件,容易造成气路系统的不稳定现象;另一方面减压阀阀芯和单向阀大、小阀芯以及止回孔流通截面的大小和几何形状决定了气路系统工作时的开启特性和流量特性,因此,这两类组件对于气路系统能否正常工作至关重要.
为了研究减压阀和单向阀结构参数对气路系统动态响应特性的影响规律,基于本文第2节气路系统数学模型,从减压阀的反馈孔直径、阀芯直径、弹簧阻尼系数、弹簧刚度以及单向阀止回孔五个方面分别对气路系统的动态响应特性进行仿真比较.
假设氧燃两路的工作参数和结果参数完全相同,仿真初始条件为:气瓶初始压力12 MPa,系统初始温度293.15 K,氧燃两路额定流量为0.25 g/s;在第1.8 s时,两路贮箱下游阀门打开.
图5为减压阀恶劣结构参数(譬如弹簧阻尼过小或者弹簧刚度不够)状态下的气路系统动态特性曲线图.可以看出,即使减压阀出口压力存在振荡现象,贮箱箱压也十分平稳.减压阀出口气体流入单向阀,通过单向阀大小阀芯以及止回孔后流入贮箱.由于单向阀止回孔的节流作用,使得单向阀开启腔和止回腔产生一个压差,这个压差施加给大阀芯的力远远大于弹簧施加给大、小阀芯的力.即使单向阀上游气体存在振荡,大、小阀芯的开度也不会变化,而且振荡压力经过单向阀节流后得到缓冲,单向阀下游压力趋于稳定,并不会出现明显的贮箱压力振荡现象.
图6为不同的减压阀结构参数对减压阀动态响应特性的影响规律曲线.虽然单向阀的结构使得贮箱箱压在减压阀振荡的情况下也会比较稳定,但是,减压阀仍然会在恶劣结构参数状态下发生振荡,严重影响减压阀的性能.

图5 极端条件下的气路系统动态特性仿真曲线
Fig.5 Simulation results of gas system in extreme condition

图6 减压阀结构参数对减压阀出口压力的影响
Fig.6 PRV’s structure parameters influences on the PRV outlet pressure
从图6(a)可以看出,一定范围内,反馈孔直径越小,减压阀压力输出越稳定.阀芯的开启主要由反馈腔压力通过膜片施加给阀芯组件的作用力决定.反馈孔直径过大,反馈腔对于低压腔的压力、流量变化也就越敏感,很小的扰动或者变化都会引起阀芯运动组件的剧烈变化,使得阀芯不能准确停在稳态时的位置,而是在平衡位置上下运动,引起减压阀出口压力的不稳定.反馈孔直径过小,则会使得反馈腔的压力变化延迟过大,导致减压阀出口压力变化严重滞后.
从图6(b)可以看出,阀芯直径越小,减压阀压力输出越稳定.这主要是由于减压阀阀芯直径越小,相同流量下的阀芯的额定开度越大,因而,阀芯组件对于低压腔的压力、流量变化越迟钝,减压阀压力输出越稳定.但是,不同的阀芯直径意味着不同的阀芯位移,从而导致弹簧力发生变化,进而引起出口压力的改变.
图6(c)描述了不同的弹簧阻尼系数所对应的减压阀出口压力动态曲线.弹簧阻尼系数越小,在相同的加速度下,弹簧施加给阀芯的阻尼力越小,因而,在其他条件相同的情况下,阀芯的运动加速度变大,阀芯组件运动变化越剧烈,压力输出越不稳定.如果弹簧阻尼系数过小,则容易造成减压阀出口压力振荡的情况.
图6(d)描述了不同的弹簧刚度所对应的减压阀出口压力动态曲线.弹簧刚度越小,在相同的位移下,弹簧施加给阀芯的反作用力越小,阀芯运动组件的灵敏度越高.弹簧刚度过小,则容易使得减压阀输出不稳定,出现等幅振荡,甚至发散的情况.另外,弹簧刚度的变化同样会使得弹簧力产生相应的改变,从而导致减压器出口压力也产生变化.
4 结 论
本文建立了双组元推进系统气路数学仿真模型,对气路系统从启动到额定工况直至关机阶段的工作全过程进行了数值仿真,同时探讨了减压阀和单向阀结构参数对于气路系统动态特性的影响规律,从中得出如下结论:
1)仿真计算的气路系统开启、关闭时序,以及各个压力点、流量点与试验结果基本一致,稳态时刻的仿真输出与试验结果相比,误差在1%之内,验证了仿真模型的正确性.
2)减压阀关闭阶段的压力仿真曲线比试验曲线爬升要快,原因是减压阀仿真模型未考虑密封比压和传热的影响,需要进一步完善仿真模型.
3)单向阀的流量特性和开启特性使其充当了缓冲阀的作用.即使减压阀出口压力存在振荡现象,单向阀的阀芯开度保持不变,振荡气体经过单向阀节流后趋于稳定,气路系统的稳定性得到了提高.
4)适当减小减压阀的反馈孔直径、增大减压阀的阀芯运动阻尼都可以提高减压阀的稳定性.虽然通过增加弹性元件刚度和减小阀芯直径同样可以提高减压阀的稳定性,却会影响减压阀的静态特性,因而要全面综合的考虑.



