摘 要:基于电压源型逆变器的传统动态电压恢复器,需使用大容量电解电容进行直流储能,体积重量大,成本高。为此,提出一种基于直接AC/AC变换的动态电压恢复器,该方案不需使用直流储能元件,易于维护,换流过程简单,动态响应速度快,能够有效补偿电网电压波动。针对所提出的动态电压恢复器,设计与之相适应的工作模式、非互补控制换流过程,并使用离散全维状态观测器设计预测控制策略。与现有的瞬时电压控制策略相比,由于控制信号已在前一周期经状态预测并执行控制算法后得到,当前周期可直接更新控制信号,省去了算法执行时间,提高电压恢复能力。设计实验样机,实验结果验证了所提方案的有效性。
关键词:无直流储能;直接AC/AC变换;动态电压恢复器;预测控制;换流策略
0 引 言
电压跌落与电压突升是电能质量的常见问题,会影响用电设备的正常工作,尤其是精密仪器、计算机系统等敏感负荷的安全稳定运行。动态电压恢复器能够在电网电压发生波动的情况下,保持负荷电压稳定,对敏感负荷的正常运行至关重要。
电压跌落及突升是指电压幅值在半个周期至几秒时间内偏离额定值,电压跌落为额定值的10%-90%,电压突升为额定值110%以上。一方面,大功率电机启动、电网短路故障等原因会引起电网电压跌落。电压跌落超过两个周期可能影响到生产制造系统中敏感电子设备的正常工作,特别是在半导体制造、精密加工等领域。另一方面,电网投切大容量补偿电容器或断开大功率负载等情况下会产生电压突升。电压突升可能造成通信系统重要数据损失、设备误操作等问题;因此,电压跌落与突升会带来严重的经济损失和资源浪费。为了保障敏感负载的安全稳定运行,提高电能质量,对动态电压恢复器进行了大量研究。
针对电压源逆变结构的传统动态电压恢复器,在电压波动信号检测、补偿控制策略等领域开展大量研究[1-5];但这种方案中,其直流储能环节需使用大容量电解电容,体积重量大、成本高。且电解电容寿命较短,储能环节成为定期维护的主要对象,工作量大。级联多电平电压源逆变器产生动态补偿电压的方法,使用器件较多,控制复杂,在中小功率领域应用成本较高[6-8]。无直流储能直接AC/AC变换器由于具有拓扑简单、不需使用大容量储能元件、体积小、高功率因数等特点被应用于自动电压调节器、软启动器和电机速度调节器等领域[9-11]。与电压源型逆变器相比,此类变换器体积小、重量轻、易于集成[12-14]。如果将现有的斩控型直接AC/AC变换器应用于动态电压恢复领域,存在换流过程繁琐[12]、开关过程电压应力较高[13]、仅能使用分离器件不利于集成[14]等问题。使用虚拟整流逆变的直接AC/AC变换方案[15],单相电路需使用8支开关管,成本高,换流控制复杂。
针对配电网中敏感负荷的电压稳定问题,提出一种新颖的无直流储能动态电压恢复器,该变换器由AC/AC变换器、固态继电器、隔离变压器组成。其中,AC/AC变换器产生可调幅的补偿电压,由固态继电器改变补偿电压极性,通过叠加不同极性的补偿电压实现动态电压恢复功能。设计该变换器的非互补控制换流策略,换流过程简单,可靠性高。为了改善动态性能,使用离散系统全维状态观测器设计动态电压恢复预测控制策略。在前一周期经状态观测后执行控制算法,超前一拍得到当前周期的控制信号,不占用当前周期控制信号的更新时间,增大动态电压补偿范围,具有响应速度快、谐波小的优点。设计功能样机,针对不同工况调节补偿电压,实验结果验证了所提方案的有效性。
1 无直流储能直接AC/AC动态电压恢复器
交流电压动态恢复有多种实施方案,采用电压型逆变器的传统方案需要使用大容量电解电容作为储能装置。电解电容由于寿命较短成为电压恢复器运行中的主要维护对象,需定期检测、换新,成本较高,维护工作量大。无直流储能直接AC/AC变换器通过对双向开关应用PWM技术实现输出电压调节功能,不需要使用大容量电解电容等储能装置,成本较低,调节速度快。传统单管反串联双向电力电子开关直接AC/AC变换器如图1(a),针对其存在换流复杂、需要设计相互隔离的驱动电路等问题,设计一种改进的无直流储能直接AC/AC变换器,如图1(b)。该变换器开关器件的驱动电路不需另外进行电气隔离设计,使设计大为简化,换流过程简单,系统成本降低。

图1 直接AC/AC变换器
Fig.1 Direct AC/AC power converter
基于图1(b)无直流储能直接AC/AC变换器,提出一种新颖的动态电压恢复器,使用变换器产生幅度可调的补偿电压,通过固态继电器开关组、隔离变压器连接负载,如图2。当电网电压发生波动时,变换器通过改变PWM控制信号占空比产生补偿电压;固态继电器SW1-SW4由双向晶闸管组成,通过切换其工作状态,改变补偿电压极性;变压器实现功率变换器与负载的隔离。
输入电压正常时,功率变换器输出补偿电压为零;输入电压突升或突降时,通过改变变换器和固态继电器SW1-SW4的工作状态使变压器副边输出相应极性的补偿电压,保持负载电压的稳定。

图2 无直流储能动态电压恢复器
Fig.2 DC energy storageless dynamic voltage restorer
2 工作模式与换流策略
变换器的主要工作模式有三种,分别是有源模式、续流模式和死区模式。设计与图2中动态电压恢复器相适应的非互补换流控制策略。PWM控制信号如图3,其中Sg1-Sg4分别为S1-S4的门极驱动信号。由于死区模式时间极短且换流过程与其它两种模式相同,以下仅讨论有源模式和续流模式的工作过程。

图3 无直流储能动态电压恢复器的PWM控制信号
Fig.3 PWM control signals of DC energy
storageless dynamic voltage restorer
开关管S1、S2周期的开通与关断,用于控制电感L存储能量,S3、S4为电感电流提供续流回路。图4描述了输入电压正极性时系统的工作过程。
当输入电压ui正(负)极性时,互补PWM信号控制S1、S3(S2、S4),开关S2、S4(S1、S3)处于始终导通状态。当S1导通、S3关断时,交流斩波变换器工作在有源模式,电感电流通过交流电源、开关管S1、开关管S2体二极管构成回路,电感存储能量,如图4(a)。当S1关断时,交流斩波变换器工作在续流模式,电感电流通过负载、开关管S4、开关管S3体二极管构成回路,电感释放能量,如图4(b)。

图4 无直流储能动态电压恢复器换流过程
Fig.4 Commutation process of the DC energy
storageless dynamic voltage restorer
当输入电压突降时,SW1、SW3导通,SW2、SW4关断,补偿电压与输入电压极性相同,负载电压等于补偿电压与输入电压之和。当输入电压突升时,SW1、SW3关断,SW2、SW4导通,补偿电压与输入电压极性相反,负载电压等于补偿电压与输入电压之差。不同工作状态下的开关操作如表1所示。
表1 不同工作状态下的开关操作
Table 1 Switching operation in different working
conditions

3 动态电压恢复器预测控制策略
为快速抑制输入电压波动对负载的影响,需设计有效的控制策略以保持负载电压稳定。电压峰值反馈控制方法通过峰值电压检测电路采样输入电压峰值。与电压瞬时值相比,电压峰值的变化缓慢,电压有效值控制方法也存在同样问题。
为了解决这个问题,提出动态电压恢复预测控制策略。现有的瞬时电压控制策略如图5(a)。在新的开关周期计算占空比,通过该占空比改变PWM脉冲宽度,如果控制算法执行时间为MTs(0<M<1),则可调节占空比最大为(1-M)。因此,执行控制算法会影响占空比,电压变换范围将受到限制。因此,设计一种改进的动态电压恢复预测控制策略,如图5(b)。首先,第k开关周期直接应用第(k-1)开关周期中计算得到的占空比;其次,状态观测器利用采样信号预测第(k+1)开关周期的系统状态;最后,利用PI控制算法计算第(k+1)开关周期的占空比控制量。该预测控制策略与现有的瞬时电压控制策略相比,由于当前周期的占空比控制量已在前一周期经系统状态预测并执行控制算法后得到,所以当前周期可直接利用前一周期已得到的占空比,控制算法执行时间不占用当前周期的时间,增大电压变换范围。

图5 不同任务时序图
Fig.5 Timing of different tasks
根据动态电压恢复预测控制策略原理,设计系统控制结构,如图6。

图6 动态电压恢复预测控制系统结构图
Fig.6 Structure diagram of the dynamic voltage
predictive control system
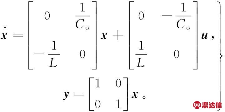
图2所示电路的模型是一个二阶系统,状态量可表示为
。
(1)
式中:uc为变换器输出电压;iL为流过输出滤波电感L的电流。
控制系统的输入为
。
(2)
式中:ucp为斩波器电压;io为变换器的输出电流。
状态方程为:

(3)
式中,L为输出滤波电感;Co为输出滤波电容。
令
,根据式(1)~式(3),推导出离散状态方程为
。
(4)
式中:Gi,j=eATS;
。
通过改变占空比D(k+1),调节负载电压uL(k+1)至额定电压un(k+1)。为预测系统状态,设计离散系统全维状态观测器为
。
(5)
式中;
T为第(k+1)采样周期系统状态预测值;Q为状态观测矩阵;
。将式(1)和式(2)代入式(5)得到预测值为
。
(6)
令电源电压额定值为
un=unpsin(2πft)。
(7)
式中unp为额定电压峰值。
当ui=un时,补偿电压为零;当电源电压突升时,
uL=ui-ucsec。
(8)
当电源电压突降时,
uL=ui+ucsec。
(9)
根据式(8)或式(9)可得电源电压突升或突降时的负载电压预测值
L(k+1)。
设计反馈PI数字控制器消除稳态误差,如图6。参考电压un(k+1)减去负载电压预测值
得到差值Δe(k+1),通过PI控制器模块调节占空比Df(k+1),则式(10)为:

(10)
式中:kp为比例增益;ki为积分增益;占空比Df范围是0到1。控制器积分环节使负载电压稳态误差为零。
当电源电压正常时,固态继电器SW1、SW4关断,SW2、SW3导通,变换器输出电压uc为零,负载电压uL等于电源电压ui,电源直接为负载供电。当电源电压异常时,使用微控制器执行动态电压恢复预测控制策略和SSR投切方案,实现电压突升、突降补偿。
4 仿真分析与验证
为验证所提方案的有效性,对输入电压突升、突降两种条件下的动态电压恢复能力分别进行仿真。
电网电压过压和突升故障下,负载电压波形如图7(a)。0s至0.084s,输入电压为1.15un,电网发生过电压故障,动态电压恢复器调节负载电压至额定电压。0.084s时,电网电压从1.15un突升至1.3un,动态电压恢复器在0.003s内调节负载电压至额定电压。
电网电压欠压和突降情况下,负载电压波形如图7(b)。0s至0.084s,输入电压为0.85un,电网发生欠电压故障,动态电压恢复器能够调节负载电压至额定电压。0.084s时刻,输入电压从0.85un突降至0.7un,当输出电压突降30%情况下,动态电压恢复器仅用0.004s将负载电压uL恢复至额定电压un。
仿真结果表明,在电网电压突升、突降、过压、欠压情况下,动态电压恢复器响应速度快,可在极短的时间内恢复负载电压为额定值。仿真结果验证了所提无直流储能动态电压恢复器及其预测控制的有效性。

图7 电网电压波动时负载电压波形
Fig.7 Load waveformswhen source voltage
fluctuations occur
5 实验结果
针对设计的动态电压恢复器,设计实验样机进行验证。样机结构如图8,系统参数见表2。

图8 无直流储能动态电压恢复器实验平台结构
Fig.8 Structure of DC energy storageless dynamic
voltage restorer experimental platform
实验中电网电压波动范围为0.7uin至1.3uin,样机输出功率为500W。根据图4中设计的非互补换流控制策略,开关管的门极控制信号实验波形如图9(a),其中Sg1、Sg2、Sg3、Sg4分别为S1、S2、S3、S4的门极控制信号。当占空比D=0.5时,阻性负载40欧,变换器输出电压uc如图9(b),实验结果表明输出电压为正弦波形。电源电压经过AC/AC变换后,输出正弦包络的斩波电压ucp如图9(c)和图9(d)。输入电压被斩波为微秒级电压片段,滤波后输出正弦电压uc。实验表明,所提出的非互补换流控制策略使开关器件电压尖峰较小,换流安全可靠。
表2 样机实验系统参数
Table 2 Parameters of the prototype in experiment


图9 D=0.5时,控制信号与斩波电压波形
Fig.9 When D=0.5,waveforms of control
signalsand chopper voltage
电力电子技术应用于电力系统进行各种电能变换,同时也带来了谐波污染等电能质量问题。所提出方案在实现动态电压恢复功能时,也不可避免会产生一定量的谐波。相对于其它电能转换方式,高频直接AC/AC变换技术的突出特点是产生谐波分布在较高频段,低次谐波含量较少。图2中输入电压ui经过高频斩波电能转换后,成为微秒级电压片段拼接而成的ucp。其包含的谐波成分主要集中在开关频率的整数倍附近,实验中设计开关频率fs又远高于电源频率f。如图9(c)所示,ucp中包含的大量高次谐波是易于被滤除的。实验结果与理论分析一致,经过输出滤波环节后,高频谐波成分被滤除,输出补偿电压uc总谐波畸变较低,输出电压总谐波畸变值为1.26%,如图10。

图10 输出电压谐波频谱分析
Fig.10 Harmonic spectrum analysis of the output voltage
尽管所提出方案产生的谐波污染十分有限,然而目前该方案仅能实现电压幅值波动的快速补偿,还未能实现输入电压发生畸变情况下的变频补偿功能。

图11 电网电压波动时,负载电压波形图
Fig.11 Waveforms of load voltage when voltage
swells or sags occur
当电网电压从1.15un突升至1.3un时,电网电压ui与负载电压uL实验波形如图11(a)。当电网电压从0.85un突降至0.7un时,实验结果如图11(b)。实验结果验证了所提动态电压恢复器及其预测控制的有效性。该控制方案能够有效抑制输入电压波动,5 ms内可控制负载电压稳定至额定电压,使负载电压不受电网电压波动影响,且电压恢复过程没有电压尖峰。
6 结 论
电网电压波动影响敏感负载的可靠稳定运行,为保证电能质量,提出一种无直流储能动态电压恢复器及其预测控制策略。首先,该设计通过无直流储能直接AC/AC功率变换器、固态继电器和隔离变压器,实现电压双向补偿。不需使用大容量电容、电感等直流储能元件,体积小,成本低,易于维护。其次,通过设计离散系统全维状态观测器,当前周期的占空比可经前一周期预测并执行控制算法后得到,不占用当前周期的时间,增大电压变换范围。
设计功能样机,实验结果表明:在电网电压突升、突降、过压、欠压情况下,所提无直流储能动态电压恢复器能有效控制负载电压稳定,使其不受电网电压波动的影响,提高电能质量,且响应速度快、谐波小,具有广阔的应用前景和实用价值。



