摘 要:建立无刚性反射面和有刚性反射面两种情况下无限大柔性板的插入损失数学模型,编写MATLAB程序,通过数值计算,比较两种情况下无限大柔性板插入损失的区别,同时计算当入射声场为扩散场时板的隔声量,最后研究有刚性反射面情况下无限大柔性板的厚度、平面波入射角度、无限大柔性板的内损耗因子和无限大柔性板与刚性反射面之间的距离等因素对插入损失的影响。结果表明,在刚性反射条件下,对于平面入射波,隔声量除了在经典的吻合频率处有低谷,在柔性板与反射面之间的空气层的共振频率上也有低谷;除吻合谷与共振谷以外无限大柔性板的插入损失随着频率的增大而增大;增大柔性板-刚性反射面距离,其计权插入损失围绕无刚性面条件下板的计权插入损失波动,而在扩散场情况下无刚性面时板的计权隔声量较有刚性面时更高;随着板厚度增加或板内损耗因子的增加,板的计权插入损失增大,且相对于无刚性反射条件下板的计权插入损失有所提高;而增大平面波入射角度时,无限大柔性板的计权插入损失逐渐降低,忽略刚性反射面会高估或低估无限大柔性板的计权插入损失。
关键词:声学;无限大柔性板;刚性反射面;插入损失
近年来随着交通运输业的快速发展,交通工具不断地更新换代,在满足了人们安全和高速的要求后,人们对乘坐的舒适性要求也越来越高,而噪声为影响舒适性的主要因素。利用板的隔声性能来控制噪声是一种最常见的噪声控制方法。国内外针对板材隔声已经有了相当多的研究。最早的板的隔声理论是基于半无限空间-无限大柔性板-半无限空间这样一个理想模型,引进了吻合频率、临界频率和平均隔声量等概念。随着计算和测试手段的进步,研究对象重点放在工程上更为常见的有限尺寸板。1997年,Osipov 等[1]通过仿真建模,对比研究了3种单板隔声量模型在测试房间尺寸不同条件下的低频隔声量结果。Prasetiyo等和Thompson等[2]建立了半无限单板的波导隔声量模型,并调查了不同入射角度对隔声量的影响。Reynder 等[3]基于有限元-统计能量混合法建立了空腔-板-空腔结构的单板隔声量模型。London[4]在考虑空腔共振时,计算出了结构吻合频率下的平面隔声量。Beranek[5]也在模型中考虑了板-空腔-板共振。目前针对板的插入损失,罗文俊等[6]在半消声室中建立直立型吸声声屏障缩尺模型,针对不同吸声材料厚度、密度及不同声屏障面板开孔率测试声屏障的降噪效果,但未用理论对测试结果分析与解释。而陈林等[7]通过建立无限大单向加筋层合板在平面声波激励下的声透射理论模型,系统研究特征参数对加筋层合板结构隔声性能影响。
虽然采用现代分析和测试方法完全可以分析有限板的隔声性能,但上面的基于无限大板的经典理论常常被用来分析和解释测试结果。然而实际工程中往往存在反射面,在有反射面时,经典理论不再适用,因为没有隔声板时的声压是入射和反射的叠加,有隔声板时隔声板与反射面形成一层无限大空气层,有波动和模态效应,会具有不同意义的吻合频率、临界频率,还会引入共振频率。且反射面存在时,板的隔声与板特性之间的关系也会发生变化,此时若继续用经典理论去进行计算,其计算结果会与实际测试结果有差异,无法准确分析与解释测试结果。所以对于有反射面时无限大柔性板的理论研究目前并不完善。
本文从插入损失的角度研究刚性反射条件下无限大柔性板的声传递特性。首先,针对刚性反射条件存在与否这两种情况分别建立了无限大柔性板的插入损失数学模型;其次,通过MATLAB 编程实现了插入损失的数值计算,对比了有无刚性反射条件下无限大柔性板的插入损失并且计算了入射声场为扩散场时无限大柔性板的隔声量;最后,通过控制变量法调查了刚性反射条件下无限大柔性板的厚度、声波的入射角度、无限大柔性板的内损耗因子、无限大柔性板与刚性反射面间的距离等参数对无限大柔性板的插入损失的影响,并且在给定参数值条件下研究刚性反射条件下无限大柔性板的计权插入损失相对无刚性反射面时的变化。
1 理论模型
1.1 无刚性反射条件下无限大柔性板的插入损失
如图1所示,无限大柔性板两侧均为半无限流体,假设平面声波pi以角度θ斜入射到板上,引起板的振动从而向两侧辐射声压,反射声压和透射声压为pr和pt。

图1 无刚性反射条件下无限大柔性板的声传递
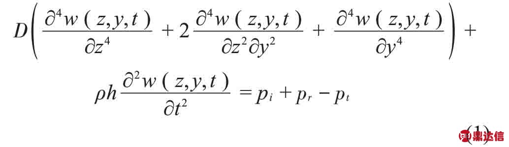
此时板的振动微分方程为

式中:D=E(1+iη)h3/(12(1-ν2))为板的弯曲刚度,E为板的弹性模量,h为板的厚度,ρ为板的密度,η为板的内损耗因子,ν为泊松比。![]()
分别为板的入射声压、反射声压和透射声压。kx =kcosθ,ky =ksinθ分别为沿x和y方向的声波数,k=ω/c,c为空气声速。
板两侧空气质点的速度ux和板的振动速度ẇ可分别表示为

利用板的速度连续条件为
将式(2)至式(4)代入式(1),可得:

式中:ρ0为空气密度,m为板的单位面积质量。
定义板的插入损失为板的右侧某点在无板时的声压级SPL1与有板时的声压级SPL2之差为

将式(6)代入式(7),可得无刚性反射条件下无限大柔性板的插入损失为
而传递系数τ定义为透射波声强与入射波声强之比(因为两边面积一样,故也是声功率之比)为

如果入射声场是扩散场,则认为入射的方向是等概率的,因此用平均传递系数为
得到的是一个混响场到一个半自由场的、无限大柔性板的平均传递系数,则在无刚性反射条件下,无限大柔性板的隔声量为
1.2 刚性反射条件下无限大柔性板的插入损失
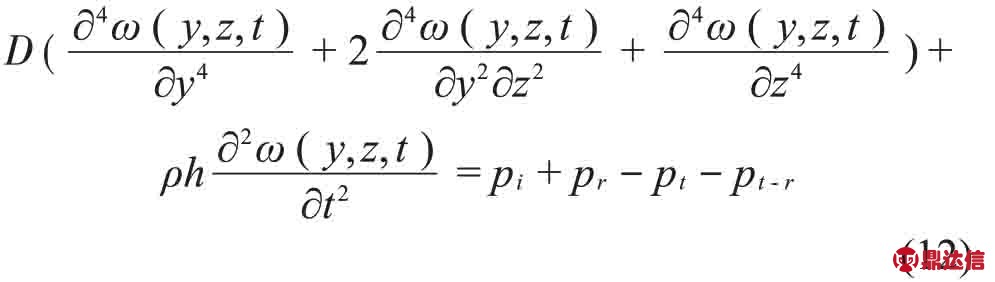
如图2所示,假设在无限大柔性板右侧距离板L处存在刚性反射面,此时,板的振动微分方程变为

式中
为刚性反射面的反射声压。

图2 刚性反射条件下无限大柔性板的声传递
参照1.1节中对插入损失的定义,存在刚性反射条件时无限大柔性板的插入损失可定义为板的右侧与刚性反射面的左侧间的某点在板插入前后的声压级之差。那么,无板时,在刚性反射面右侧半无限空间中存在入射波
与刚性反射面的反射波
利用刚性反射面的速度边界条件υx(L-,t)=0,可得:
有板时,板与刚性反射面之间存在板的透射波pt和刚性面反射波pt-r。利用板的速度连续条件和刚性反射面的速度边界条件,可得:


那么,刚性反射条件下无限大柔性板的插入损失为

将式(13)至(16)代入式(17),可得:

从上式可以看出,插入损失与坐标x、y无关。
针对所给出有无刚性反射条件下无限大柔性板的插入损失模型,将两者进行比较:

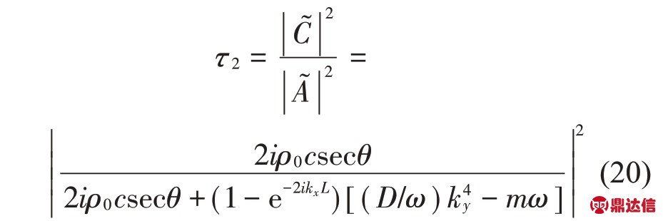
而在刚性反射条件下,参照1.1节对传递系数的定义,无限大柔性板的传递系数为

针对扩散场,无限大柔性板的平均传递系数为
则刚性条件下,无限大柔性板的隔声量为
2 数值计算与结果讨论
根据所建立无刚性反射面和有刚性反射面两种情况下无限大柔性板的插入损失数学模型,通过MATLAB进行数值计算,分析比较两种情况下无限大柔性板插入损失的区别。再通过控制变量法讨论在刚性反射条件存在的情况下无限大柔性板的厚度、平面波入射角度、无限大柔性板的内损耗因子和无限大柔性板与刚性反射面的距离对无限大柔性板插入损失的影响。
2.1 有无刚性反射条件下无限大柔性板的插入损失对比
式(8)和式(18)分别给出了单一角度入射时有无刚性反射条件下无限大柔性板的插入损失公式。假设板与刚性反射面的距离为L=2 m,声波的入射角度θ=45°,板的内损耗因子η=0.01,板的厚度为h=0.02 m。图3(a)为两种情况下板的插入损失对比,可以看出,两者的插入损失大体趋势相同,且均在1 202 Hz处出现了低谷,该频率为板的吻合频率:
在该频率下板的结构波波长等于声波波长。但有刚性反射条件下的插入损失较无刚性反射条件下的插入损失出现了很多谷值。对比式(8)和式(18)可以看出,当式(18)中的1-e-2ikxL =0时,插入损失达到最小值(0 dB),此时f =cn/(2Lcosθ)(n=0,1,2…,n),对应于另一种物理现象,即声波在无限大柔性板与刚性反射面之间发生了驻波共振[8],此时空气层的厚度恰好为声波半波长的整数倍,这些频率刚好对应图中的谷值。并且当
时,无限大柔性板的第n个驻波共振谷刚好与吻合谷吻合。
式(11)和式(22)分别给出了入射声场为扩散场时有无刚性反射条件下无限大柔性板的隔声量公式。假设除角度外的其他参数取值与单一角度入射时取值一样。图3(b)为扩散场时两种情况下板的隔声量对比(针对无限大柔性板,其隔声量与插入损失值一致),可以发现,无刚性墙时曲线出现低谷,通过公式
反推入射角度,发现该低谷频率对应于入射角度θ=80.7°时板的吻合频率。而刚性反射条件下,曲线除吻合谷以外,还有各角度下无限大柔性板的驻波共振谷,即每一个低谷频率值都对应某一角度下板的某一个驻波共振频率值。在入射声场为扩散声场时,无刚性反射条件下板的隔声量相对于无刚性反射条件时更高,若不考虑刚性反射条件会高估板的隔声量。
2.2 无限大柔性板与刚性反射面之间的距离对插入损失的影响
图4给出了无限大柔性板与刚性反射面之间的距离L分别为2 m、5 m、10 m时无限大柔性板插入损失的对比情况和不同距离工况下(从1 m到10 m,每0.5 m一个间隔)无限大柔性板的计权插入损失。声波的入射角度θ=45°,板的内损耗因子η=0.01,板的厚度为h=0.02 m。
对于平面入射波,从图4(a)中可以看出无限大柔性板与刚性反射面之间的距离L改变时,在3种情况下无限大柔性板的插入损失与无刚性反射面时无限大柔性板的插入损失大体趋势相同,并且吻合谷也一致。但随着距离的增大,声波驻波共振低谷相应增多。
根据计权隔声量的计算方法,采用相同方法计算板的插入损失,定义为计权插入损失。在该频段内,无限大柔性板与刚性面距离的改变造成声腔的动态特性改变,导致无限大柔性板的插入损失数值变化较大。在给定的参数值条件下,图4(b)表明在给定的距离范围1 m~10 m 内,随着无限大柔性板与刚性面距离L 不断增大,无限大柔性板的计权插入损失绕无刚性反射面时无限大柔性板的计权插入损失数值上下波动,波动值最高为2.2 dB。
2.3 无限大柔性板的厚度对插入损失的影响
图5给出了有无刚性反射条件下,无限大柔性板的厚度分别为0.005 m和0.02 m时无限大柔性板的插入损失和不同厚度无限大柔性板(从0 m 到0.04 m,每0.002 m 一个间隔)的计权插入损失。声波的入射角度θ=45°,板的内损耗因子η=0.01,无限大柔性板与刚性反射面之间的距离L=2 m。由式(19)可以看出在其他参数一定时,若厚度h 趋近于无穷,即
趋近于无穷,则取极限
取不同值,IL2 -IL1是一个不同定值。
针对平面入射波,对于给定的柔性板-刚性反射面距离和其他参数值,由图5(a)可以看出,除在吻合频率处,随着厚度的变大,无限大柔性板的插入损失越大,且吻合谷逐渐向低频移动,而驻波共振所产生的低谷值改变,其位置未改变。

图3 有无刚性反射条件下无限大柔性板的插入损失
从图5(b)可以发现:当无限大柔性板的厚度在0.002 m~0.02 m时,刚性反射条件下板的计权插入损失相对于无刚性反射条件最高提高3 dB;而当厚度超过0.02 m时,其计权插入损失逐渐与无刚性反射条件下板的计权插入损失趋于平行,趋势与式(19)结果符合。所以无限大柔性板的厚度在给定的区间中,不考虑刚性反射条件会低估板的插入损失。
2.4 平面波入射角度对插入损失的影响
在刚性反射条件下无限大柔性板的声传递模型中,当1-e-2ikxL =0时,f =cn/(2Lcosθ),角度θ的改变会影响低谷的位置。为了进一步了解板隔声机理,图6给出了无限大柔性板在平面波入射角度θ分别为30°、45°、60°时插入损失的对比情况和无限大柔性板在不同入射角度下(从0°到90°,每5°一个间隔)的计权插入损失。无限大柔性板的厚度h=0.02 m,板的内损耗因子η=0.01,无限大柔性板与刚性反射面之间的距离L=2 m。
针对平面入射波,对于给定的柔性板-刚性反射面距离和其他参数值,从图6(a)可以看出,入射角度的改变会改变吻合频率,吻合谷随角度增大向低频移动;在刚性反射面存在的情况下也会改变插入损失的驻波共振谷值,共振谷随角度增大向高频移动。不考虑吻合谷与共振谷的影响,当频率低于一定值时,平面波入射角度的增大使无限大柔性板的插入损失减小,而当频率足够高时,平面波入射角度越大,无限大柔性板的插入损失也越大。
图6(b)表示不同入射角度下有无刚性反射面的情况下板的计权插入损失。可以看出,当入射角度小于30°时,刚性反射条件下的板的插入损失较无刚性反射条件下高约4 dB,即不考虑刚性反射条件会低估板件的插入损失。当入射角度大于30°后,两者的计权插入损失差距较小。此外,当入射角度大于60°后,板的计权插入损失开始下降,且刚性反射条件下的插入损失低于无刚性反射条件的插入损失,换句话说,当入射角度大于60°后,不考虑刚性反射条件会高估板件的插入损失。
2.5 无限大柔性板的内损耗因子对插入损失的影响
图7给出了无限大柔性板的内损耗因子η 分别为0.001、0.01、0.1时插入损失的对比情况和无限大柔性板在不同内损耗因子下(从0 到0.1 m,每0.005一个间隔)的计权插入损失。无限大柔性板的厚度h=0.02 m,平面波入射角度θ=45°,无限大柔性板与刚性反射面之间的距离L=2 m。

图4 无限大柔性板与刚性反射面距离不同时的插入损失

图5 有无刚性反射条件下不同厚度板的插入损失

图6 无限大柔性板在不同平面波入射角度下的插入损失

图7 无限大柔性板在内损耗因子不同时的插入损失
针对平面入射波,对于给定的柔性板-刚性反射面距离和其他参数值,从图7(a)可以看出,板的内损耗因子改变只会影响板吻合频率附近处的插入损失,随着板的内损耗因子增大,其插入损失增大。在刚性反射面存在的情况下不会改变插入损失的驻波共振谷值。
图7(b)表示内损耗因子不同时有无刚性反射面的情况下板的计权插入损失对比。可以看出,刚性反射条件下的计权插入损失相比于无刚性反射面的计权插入损失高约2 dB,即不考虑刚性反射面会低估板件的插入损失。
3 结语
利用声学插入损失定义计算了无刚性面和有刚性面2种情况下无限大柔性板的插入损失,比较两种条件下无限大柔性板插入损失的区别,同时计算扩散场下无限大柔性板的隔声量,最后研究有刚性面条件下无限大柔性板的厚度、平面波入射角度、板内损耗因子和板与刚性反射面之间的距离对插入损失的影响与相对于无刚性条件下无限大柔性板的计权插入损失有何改变,为后续针对实际应用中有限大柔性板在有限大刚墙条件下的隔声研究提供较好的参考,并且当波长远小于有限板的尺寸时,本文的结果可直接应用。在各参数给定的条件下,应用控制变量法对于平面入射波开展研究,结果表明:
(1)除吻合谷与共振谷处以外,无限大柔性板的插入损失随着频率的增大而增大。对于给定的柔性板-刚性反射面距离,具有刚性反射面情况下无限大柔性板的插入损失比没有刚性反射面时要大。若考虑入射声场为扩散场,具有刚性反射面情况下无限大柔性板的隔声量比没有刚性反射面时要小。
(2)在给定的距离范围1 m~10 m内,随着无限大柔性板与刚性面距离L 不断增大,无限大柔性板的计权插入损失绕无刚性反射面时无限大柔性板的计权插入损失数值上下波动,波动值最高为2.2 dB。单一入射角度下若不考虑刚性反射条件可能会低估或高估板的插入损失。扩散场下若不考虑刚性反射条件可能会高估板的隔声量。
(3)刚性反射条件下,随着板的厚度和内损耗因子的增大,无限大柔性板的插入损失逐渐增大,且相对于无刚性反射条件下板的计权插入损失最高提升2 dB~3 dB。
(4)刚性反射条件下,当频率低于一定值时,平面波入射角度的增大使无限大柔性板的插入损失减小,而当频率足够高时,平面波入射角度越大无限大柔性板的插入损失也越大。随着入射角度的增大,板的计权插入损失逐渐降低,且相对于无刚性反射条件下板的计权插入损失上下波动,波动值最高约4 dB。



