摘 要:基于流场与声场之间的单向耦合方法,研究了低马赫数非均匀流对穿孔管消声器声学特性的影响.首先使用CFD方法获取速度场分布,然后通过声学有限元计算得到声压场分布,最后利用基于非线性最小二乘法的曲线拟合进行平面波分解计算得到消声器的传递损失.对于直通和横流穿孔管消声器,传递损失数值计算结果和实验测量结果吻合良好.计算结果表明,在入口马赫数低于0.2的条件下,气流对于直通穿孔管消声器在平面波范围内的声学性能影响较小,而在高频范围内气流的影响作用应当引起重视;横流穿孔管消声器的声学性能对于气流速度的变化更加敏感.
关键词:穿孔管消声器;单向耦合;有限元法;低马赫数;非均匀流
在内燃机排气系统中普遍使用穿孔声学单元来降低排气噪声,其内部流体按气流的通过方式可以分为通过流和掠过流两种.直通穿孔管消声器的流动为掠过流,流体主要从穿孔的一侧掠过且孔中的流速较低.横流穿孔管消声器的流动为通过流,流体从入口管经上游穿孔进入消声器腔体,然后经下游穿孔流回到出口管.另外由于内部截面的突变或者流向的转变,必然会导致整个消声器的内部流场存在非均匀的流动.为准确预测非均匀流对穿孔管消声器声学特性的影响,需要一种准确的计算方法和穿孔阻抗模型.一些学者[1-2]提出了采用频域方法并使用气流作用下的穿孔阻抗模型来获取消声器声学特性,他们虽然考虑了平均流对穿孔阻抗的影响,但忽略了流体流动对声传播和衰减的影响,从而导致在部分频率上测量结果与计算结果存在较大的差异.徐贝贝等[3-4]考虑了流体的运流效应对声传播的影响,但是将流动简化为均匀流动或者分段均匀流动来处理;将有限元法应用于预测有三维势流时管道和消声器的声学特性,然而其使用的拉普拉斯方程不能模拟内场的有旋流动,这种处理方法不能获取流场的准确信息.
近年来,基于计算流体动力学的时域方法也被应用于计算和分析消声器的消声性能.Broatch等[5]提出了一种基于模拟脉冲测试技术的三维时域方法,计算了有流时简单膨胀腔的传递损失.徐航手等[6]使用三维时域方法计算了马赫数为0.2时直通穿孔管消声器的传递损失,其计算结果与实验测量结果在所考虑的频率范围内总体吻合较好.Ji等[7]、石岩等[8]、刘晨等[9]使用三维时域方法计算无流和有流条件下消声器的声学特性,其计算结果与测量结果吻合良好.时域方法的缺点是为了获得准确的预测值,需要较小的网格尺寸和时间步长,从而导致计算量庞大、计算时间过长,目前还不适于工程设计与分析.
由于过高的马赫数会产生强烈的流噪声,通常限制穿孔管消声器在低马赫数下使用.为此,本文研究的穿孔管消声器内部马赫数控制在0.2以内.为了快速而准确地计算消声器声学性能,本文研究了一种基于频域方法的流场与声场之间的耦合计算方法.鉴于该方法只考虑流场对声场的影响,所以称之为单向耦合计算方法.具体计算过程为:首先使用CFD方法获取穿孔管消声器内部气流的速度场分布,然后建立使用速度势的声场控制方程和声学有限元方程,通过有限元计算获得声场信息,最后利用基于非线性最小二乘法的曲线拟合进行平面波分解来计算消声器的传递损失.通过数值计算结果和实验测量结果的比较验证本文方法的正确性,进而考察掠过流和通过流对穿孔管消声器声学性能的影响.
1 声学控制方程
为了考虑流场对声场的影响,假设消声器内的介质为无黏、无旋流动的气体,则控制方程[10]可表述为
式中:
为速度;
为密度;
为压力;
为声速;
为比热比;
为时间.
引入速度势
(速度
),流体状态参数表示为稳态量和声学扰动量之和,其中扰动量随时间做简谐波动,即
式中:
;
为角频率;
为对应物理量的稳态量;
为对应物理量的扰动量.将各变量代入式(1)~式(4)并做线性化处理后,得到
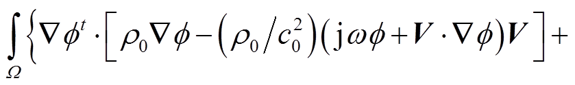
结合上述方程,消除声压和密度变化量后得到声场控制方程为

2 有限元方程及边界条件
2.1 声学有限元方程
考虑势流影响的消声器内部声场可通过有限元方法建立数值计算模型.对式(13)两边乘以试函数
并在整个声学域
内进行积分,得到势流声学方程的弱形式,即

利用斯托克斯散度理论,积分公式的所有2阶项降为1阶,其中积分公式等号右侧包含了数值计算的边界条件
,即



式中
为边界的法向向量.
2.2 边界条件
在消声器声学性能计算中使用的边界条件可分为以下4种类型.
1)单位法向质量流入口
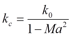
2)无反射出口[10-11]

其中波数
3)壁面边界条件
假设消声器的壁面为声学硬边界条件以及壁面的法向速度等于零,那么
4)穿孔面阻抗边界条件
假设穿孔面sp两侧扰动振速连续,两侧压力差通过穿孔声阻抗zp联系起来,即
同时假设穿孔面的气流法向速度等于零,那么穿孔面阻抗边界条件可表示为

根据Myers[12]中的公式
将式(22)代入式(21)得到

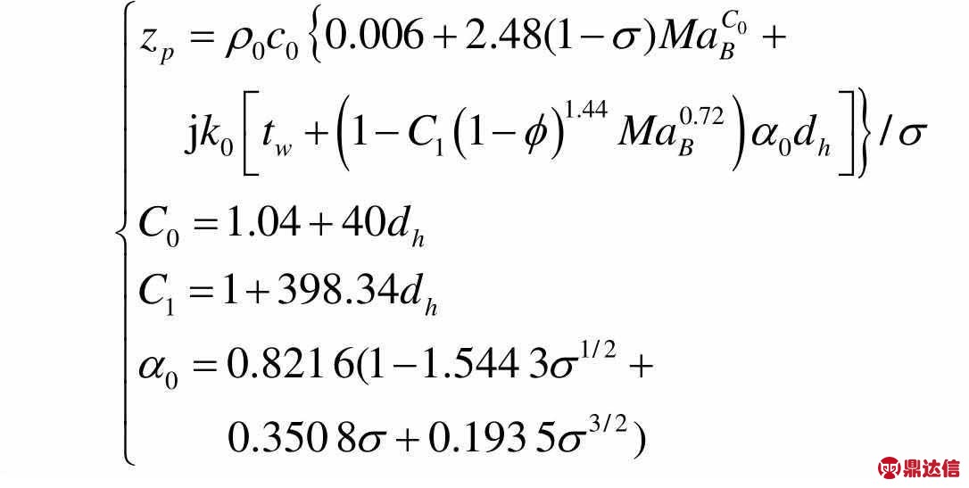
3 穿孔声阻抗
在声学计算中穿孔结构可按实际模型进行划分网格,也可使用穿孔声阻抗进行定义.由于声学有限元计算过程中不能考虑流体的黏性作用,所以为准确预测势流影响下穿孔管消声器的声学性能,本文选用穿孔声阻抗来模拟穿孔结构的声学特性.康钟绪[13]应用三维时域数值方法确定了两种流动作用下声阻抗,其计算结果与实验结果吻合较好,为此本文将采用如下公式.
1)掠过流作用下的穿孔声阻抗

2)通过流作用下的穿孔声阻抗
(25)掠过流模型中的马赫数指的是管道内的气流马赫数MaB,通过流模型中的马赫数指的是穿孔内的气流马赫数MaG.
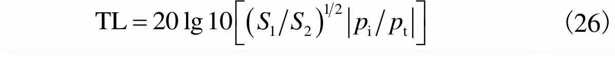
4 传递损失
传递损失定义为消声器进口处的入射声功率级与出口处的透射声功率级之差,当进出口管道内满足平面波条件时,可表示为
式中:S1和S2分别为消声器进、出口的横截面积;pi和pt分别为消声器进口处的入射声压和出口处的透射声压.
当出口为无反射边界条件时,只包含透射声压pt.当入口条件为单位法向质量流入口条件时,同时存在入射声压pi和反射声压pr.为了计算传递损失必须将入射声压和反射声压分离开来[14].本文通过在入口管内选取一段后处理区域,再对区域内提取的声压采用基于非线性最小二乘法的曲线拟合获得声压的导数,最后得到入射声压.下面是具体的推导 过程.
假定在后处理区域内声压只在x轴向有传播,则
式中:
为马赫数;
.
对式(27)求导数,得

结合式(27)和式(28),计算得到入射声压为

5 结果及讨论
图1展示了单向耦合计算方法的主要流程.首先计算CFD仿真结果,然后将流速信息传递到声学网格中,最后通过频域有限元方法预测消声器的声学性能.

图1 考虑流场与声场之间的单向耦合流程
Fig.1 Process of one-way coupling between flow field and sound field
5.1 直通穿孔管消声器
直通穿孔管消声器结构如图2所示,具体尺寸如下:膨胀腔直径D=100,mm,膨胀腔长度l=200,mm,穿孔管内径d=32,mm,穿孔管壁厚2,mm,S1结构消声器的穿孔直径4,mm、穿孔率4.7%,S2结构消声器的穿孔直径6,mm、穿孔率9.0%.气体温度288,K.
为了减少CFD模型的网格数量和计算时间,计算过程中使用了旋转周期边界条件.通过图3中k-ε模型的CFD计算结果可以看出大部分流体沿轴向通过穿孔管流出消声器,在膨胀腔内存在小部分的气体流动.同时CFD方法能够计算出边界层附近的速度分布,较传统的方法——将穿孔管按均匀流动来处理更为准确.
图4比较了入口马赫数Ma=0.1、气流温度T=288,K时两个直通穿孔管消声器传递损失的实验测量结果[8]和单向耦合方法计算结果.通过与实验结果对比分析可知,在感兴趣的频率范围本文方法在S1和S2结构消声器上的吻合较好.

图2 直通穿孔管消声器结构
Fig.2 Structure of straight-through perforated tube silencer
流速对于直通穿孔管消声器声学性能的影响如图5所示.在平面波范围内气流对于消声器的声衰减性能影响较小;中频段内传递损失峰值对应的频率随着流速的增加而变大,其幅值也有所下降;在高频范围内传递损失曲线幅值随着流速的增加而降低.

(a)马赫数分布

(b)静压分布
图3 S1消声器的流场分布(入口马赫数0.1)
Fig.3 Flow field distribution of S1 silencer(inlet Mach number 0.1)

(a)S1结构消声器

(b)S2结构消声器
图4 各直通穿孔管消声器的传递损失
Fig.4 Transmission loss of the straight-through perfo-rated tube silencers

图5 马赫数对于S2结构直通穿孔管消声器传递损失的影响(T=288,K)
Fig.5 Effect of Mach number on the transmission loss of S2 straight-through perforated tube silencer(T=288 K)
5.2 横流穿孔管消声器
横流穿孔管消声器除了具有消声的作用,还可用于捕捉废气中的火星,常用于内燃机的排气系统.横流穿孔管消声器结构如图6所示,具体尺寸如下:腔体直径D=101.6,mm,左右两侧腔体长度l1=l2=128.6,mm,穿孔管内径d=49.3,mm,穿孔管壁厚0.81,mm,左右两侧穿孔管各均匀布置160个小孔,穿孔直径2.49,mm、穿孔率3.9%,气流温度347,K.
横流穿孔管消声器的CFD计算模型中也使用了旋转周期边界条件.对于通过流的情况,消声器内部的流体从入口穿孔管内进入消声器腔体然后又流入出口穿孔管.由图7可以看出,流速最大的区域位于各穿孔处.

图6 横流穿孔管消声器结构
Fig.6 Structure of cross-flow perforated tube silencer

(a)马赫数分布

(b)静压分布
图7 横流穿孔管消声器的流场分布(入口马赫数0.046)
Fig.7 Flow field distribution of the cross-flow perforated tube silencer(inlet Mach number 0.046)
图8为入口马赫数0.046、气流温度347,K时横流穿孔管消声器传递损失的实验测量结果[8]和单向耦合方法的计算结果.在所考虑的频率范围内,本文所提出的方法与实验结果存在偏差,主要体现为频率的偏移,其原因可以归结为:①测量误差;②实验测量中可能存在流体与壁面之间的热传导,这在计算中没有考虑;③实验中流速的测量可能存在误差;④拟合横流穿孔管消声器的穿孔阻抗经验公式时假设穿孔中的通过流处处相同.

图8 横流穿孔管消声器传递损失(Ma=0.046,T=347,K)
Fig.8 Transmission loss of the cross-flow perforated tube silencer(Ma=0.046,T=347,K)
图9比较了气流温度、不同马赫数时横流穿孔管消声器传递损失的计算结果.由图可知,随着流速的增加,在多数频率范围内消声器的传递损失会增大.这是因为随着流速的增加,穿孔的声阻增大和小孔的有效流通面积减小所致.

图9 不同流速对横流穿孔管消声器传递损失的影响(T=347,K)
Fig.9 Effect of flow velocity on the transmission loss of the cross-flow perforated tube silencer(T=347,K)
对比图5和图9可知,横流穿孔管消声器的声衰减性能对于气流速度的变化更加敏感,这是因为横流穿孔管消声器小孔的射流速度远高于直通穿孔管消声器,其对穿孔声阻的影响更大.通过以上分析可知,在有气体流动存在时横流穿孔管消声器具有较好的消声效果,然而较高的压力损失(图7)限制了它的应用范围.
6 结 语
本文研究了基于频域方法的一种流场与声场之间的单向耦合方法,既避免将流动简化为均匀流动或者分段均匀流动的传统做法又保留了频域方法对网格尺寸的较弱严格性以及计算时间短等优点.通过有限元数值计算结果和实验测量结果的比较验证了本文方法的正确性.
在入口马赫数低于0.2的条件下,通过计算的两个案例可以发现:随着掠过流的速度增加,直通穿孔管消声器在平面波范围内的声衰减性能影响较小,其共振频率发生了少许移动;对于通过流形式的横流穿孔管消声器,气流速度对于声学性能的影响在计算频率范围内都很明显.因此,在穿孔管消声器设计过程中,气流的影响应当引起重视.



