摘 要:针对矿用气动油泵的气动马达排气口噪声危害工人身体健康的问题,根据节流降压和小孔喷注原理,设计了复合式小孔消声器。经过在气动油泵上试验表明,该消声器将排气噪声从 110.00 dB 降到 79.30 dB,符合实际应用要求及环保设计标准。
关键词:复合式小孔消声器;节流降压;小孔喷注;气动马达
正常工作的气动马达排气时会产生很高的噪声,此噪声对工人和环境的危害很大,解决办法是在排气口安装消声器以达到降噪的目的。常用的消声器主要有微穿孔板消声器、阻性消声器、抗性消声器、阻抗复合式消声器、小孔消声器和有源消声器 6种。
目前,国内外学者在消声器方面进行了很多研究[1-4],其中主要包括飞机使用的高流速、高低温专用复合消声器,煤矿专用降低消声器阻力的抗性消声器,入口管、回流腔与回流板处增加插入管的单级三腔式消声器,根据流场速度、湍动能和压力分布设计的多孔管消声器,针对声波反射阻抗变化设计的二级抗性消声器。
现有矿用气动油泵的气动马达排气口截面面积小、噪声高,无法满足其使用要求。因此,笔者利用节流降压与小孔喷注相结合的原理设计了复合式小孔消声器,以供气动油泵的气动马达使用,达到合理降噪的目的。
1 复合式小孔消声器
1.1 设计原理
充分利用节流降压和小孔喷注原理,根据喷口直径和喷注噪声峰值频率成反比,实现复合式小孔消声器设计。小孔喷注利用其孔径较小时的移频效应特殊功能,将噪声频率转移到人耳不敏感的频率。节流降压不仅能降低小孔喷注前气体的压力,而且能提前消耗噪声能量。
1.1.1 小孔喷注
当小孔直径 ≤ 4 mm 时,喷注噪声能将噪声频率转移到人耳不敏感的频率 (>8 000 Hz),一般选择小孔的直径为 1~3 mm。但是,从实际应用的角度考虑,孔径太小时,不仅增加了加工难度和加工成本,而且小孔也容易被堵塞,影响排气。因此,小孔的直径设计为 2 mm。
1.1.2 节流降压
排气噪声功率与压力降的高次方成正比例[5]。通过串联多级节流孔板,实现多个小的压降代替排空的一次压降,排气压力由突变排空改为渐变排空。因此,节流降压后小孔喷注层的驻压变小,可以减小小孔喷注层的壁厚,同时也降低了加工小孔喷注层的难度和加工成本。
1.2 参数设计
1.2.1 节流降压
(1) 节流孔板级数确定 各种消声器入口处的压力通常是给定的,如果气体排放压力较高,则需要经过几次节流降压处理,以获得满意的消声值。通过几次合理的节流降压,消声器入口处压力按比例被降低,降压后的气体直接进入小孔喷注。
设计时选择各级压力按照等比级数下降原则,且各级节流孔板所承担的压降按临界比计算,第 n 级节流孔板后的压力
式中:p1为节流孔板前的压力,即消音器入口压力,MPa;q 为临界压力比。
(2) 节流降压流通截面积计算 根据计算得到的孔板级数 n,分别计算各级的节流降压流通截面积。第 1 级节流降压流通截面积
式中:A 为排放介质系数,对于空气,A=13,对于过热蒸汽,A=13.4,对于过热饱和蒸汽,A=14;μ 为保证排汽量截面的修正系数,取 μ=1.2~2.0;G为排放气体的质量流量,t/h;V1为节流前气体的比容,m3/kg。
在第 1 级节流降压流通截面积基础上,第 n 级节流降压流通截面积
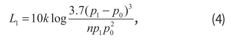
(3) 节流降压消声量

式中:k 为修正系数,取 k=0.9±0.2,当压力较高时k 取偏低值,压力较低时 k 取偏高值;p0为环境大气绝对压力,MPa。
1.2.2 小孔喷注
(1) 小孔直径及孔间距选择 根据经验选择小孔直径为 1~3 mm。孔间距一般为小孔直径的 5~10 倍。
(2) 小孔数量
式中:Q 为气体总排气流量,kg/h;qs为单个小孔流量,kg/h。
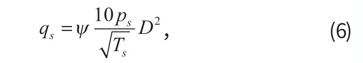
(3) 单个小孔流量
式中:ψ 为与小孔直径有关的试验系数,ψ=7.96;ps为驻压,MPa;Ts为消声器室温度,℃;D 为小孔直径,mm。
(4) 小孔喷注层消音量
2 实例验证
矿用气动油泵的气动马达相关工艺参数:排气口绝对压力 p1=0.6 MPa;排气口所排出的气体流速为 4 m3/min;排气管外径为 22 mm,内径为 18 mm,排气温度为 25 ℃。根据上述参数,得到压缩空气比容 V1=0.171 0 m3/kg,排气流量 G=1.4 t/h,噪声高达 110.00 dB。此排气口噪声较高,不符合国家环保要求。因此,添加消声器降噪,使得排出气体的噪声小于国家环保要求的 85.00 dB。取 q=0.45,将进入末级小孔前的驻压控制在 0.1 MPa。
根据式 (1) 得到节流孔板级数 n=2;根据经验取μ=1.6,使用式 (2) 得到节流降压第 1 级的流通截面积 S1=0.552 8 cm2。
选取第 1 级节流板穿孔直径 d1=5 mm。在流通截面积及节流板穿孔直径基础上,第 1 级节流板穿孔的小孔数
气流在消声器中高速流动,不会与外界发生热交换就可直接排出,因此经过各级降压后,气体的温度基本保持不变。于是,根据式 (1)~ (3) 计算得到消声器其他参数,如表 1 所列。
表1 消声器参数
Tab.1 Muffler parameters

当压力为 0.6 MPa,取 k=0.9,根据式 (4)~ (7)计算得,节流降压的消声量为 12.23 dB,小孔单孔流量为 0.018 t/h,喷注小孔数量为 78 个,小孔喷注层消声量为 18.50 dB,则消声器总消声量为 12.23 dB+18.50 dB=30.73 dB。
气动马达通过消声器后的排放噪声为 110.00 dB -30.73 dB=79.27 dB,符合环保标准 (<85.00 dB),满足气动马达排气设计要求,可以供矿用气动油泵使用。
3 实际应用
根据上述计算结果,结合气动马达的实际需要,使用 SolidWorks 构建复合式小孔消声器三维模型,如图 1 所示。安装了复合式小孔消声器的矿用气动油泵如图 2 所示。

图1 复合式小孔消声器
Fig.1 Composite small-hole muffler
1.节流板 2.气体进口 3.小孔喷注 4.排气口

图2 安装了复合式小孔消声器的矿用气动油泵
Fig.2 Mine pneumatic oil pump with compound small hole muffler installed
复合式小孔消声器安装前后,对气动马达不同频率下声压级对比发现,气动马达安装复合式小孔消声器前,在距离其排气口 5 m 处测得的最大声压级为110.00 dB;安装复合式小孔消声器后,在同等条件下测得的最大声压级为 79.30 dB。通过试验,测得安装复合式小孔消声器前后不同频率下的声压级,结果如表 2 所列。
表2 不同频率下复合式小孔消声器安装前后的声压级对比
Tab.2 Comparison of sound pressure levels at various frequencies before and after installing composite small-hole muffler

4 结语
针对矿用气动油泵的气动马达,利用小孔喷注和节流降压原理,设计了复合式小孔消声器。通过现场试验,该消声器有效地将气动马达的排气噪声从110.00 dB 降到了 79.30 dB,使气动马达的排放气体噪声达到环保标准,避免了对操作工人身体健康和周围环境的危害,符合实际要求。该消声器不仅适用于煤矿井下,也可以应用于化工、能源等其他行业。



