摘要:主要对数字压力计测量结果不确定度的来源及影响进行评定,给出数字压力计不确定评定的一般方法和步骤。
关键词:数字压力计;不确定度
引言
数字压力计是采用数字显示被测压力量值的压力计,被测压力经传压介质作用于压力传感器上,压力传感器输出相应的电信号或数字信号,由信号处理单元处理后在显示器上直接显示出被测压力的量值。由于数字压力计具有操作简易便、读数直观、性能稳定等优点,已越来越多地应用于实际计量检定中,作为检定一般压力表和压力变送器的标准器。为了保证数字压力计的测量结果的准确性和正确性,数字压力计须定期送检溯源[1]。
1 检定对象
数字压力计测量范围:0~60MPa。准确度等级:0.05级。检定标准:活塞式压力计测量范围为1~60MPa。准确度等级:0.02级。检定依据:JJG875—2005 数字压力计检定规程。测量条件:环境温度20.3℃;环境湿度69%RH,在实验室环境下放置24小时后进行测量。
2 测量方法
数字式压力计的测量是根据液体静力学平衡原理,应用比较法,因为活塞式压力计活塞下端面的标准压力与数字式压力计所受到的压力相等,标准压力与被测数字压力计示值比较,求出示值误差,因此有δ=P-P0。
3 数学模型
P=P0+δ
式中:P为数字压力计压力示值;P0为标准器上的压力示值;δ为示值误差。
求灵敏系数c:
,
在测量过程中,按照JJG 875—2005数字式压力计计量检定规程进行操作,因此活塞垂直度,热膨胀变形带来的误差很小,故忽略不计。
4 标准不确定度的评定方法(以16MPa处做举例分析)
4.1 0.02级标准活塞压力计传递误差引起的不确定度u1
0.02 级活塞式压力计标准装置的最大允许误差,由上级检定部门出具的检定证书给出的最大允许误差来评定,0.02级标准活塞压力计不确定度为0.02%,属正态分布,包含因子为k=
,其误差限为:0.02%×16MPa=0.0032 u1= a1/ k=0.00182。
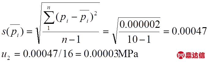
4.2 示值重复性测量引起的不确定度u2
数字压力计测量结果的不确定度主要来源于示值测量的重复性,为了获得重复性测量的不确定度,可以通过连续测量得到测量数列,采用A 类方法进行评定在16MPa处测得正,反5次测量数据Pi如表1。
MPa ,按照贝塞尔公式求标准差:
MPa.
表1 反5次测量数据Pi

4.3 温度引起的不确定度u3
对于CST2005数字压力计在工作温度范围内都做了温度补偿,一般为0~40℃,因此在实验室环境温度下20.3℃温度带来的影响可忽略不计,因此u3=0。
4.4 0.02级活塞压力计活塞下端面与传感器参考位置位置差引起的不确定度u4
在实际测量中,0.02标准活塞压力计下端面与数字压力计参考平面存在了一定高度差,因此两个参考平面之间的癸二酸二异辛脂液柱会造成压力差:
。经测量,活塞下端面与参考平面之间高度小于5cm,癸二酸二异辛脂密度为:
。
因此
,其误差概率遵从两点分布,为B类不确定度,
MPa.
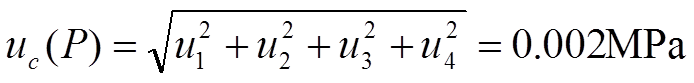
5 合成不确定度u
(1)标准不确定度见表2。
表2 标准不确定度一览表

(2)合成不确定度。
上述各不确定度分量独立不相关,合成不确定度为:
.6 扩展不确定度
由于是量传检定,计算扩展不确定度。取扩展因子k=3,
,依此类推,其他量程模块的不确定度也可以计算得出。



