摘要:采用直接平衡法对高压气体活塞式压力计的活塞有效面积进行比对,以其中一台为标准,得出另一台活塞的活塞有效面积。并介绍了高压气体活塞式压力计比对试验的的检定方法和手段等专业问题。
关键词:高压气体活塞式压力计;活塞有效面积;比对
0 引言
法国DH5203型高压气体活塞式压力计,压力测量范围为0.2~100 MPa,准确度等级达0.002级。该装置在国防军工中使用的压力传感器、变送器、数字压力计等设备压力量值传递中发挥着不可替代的作用,解决了诸如高压配气系统,增压系统,火箭发动机测试等型号研制过程中高压气体压力校准的需求。为保证高压气体活塞式压力计测量数据的准确性和可靠性,就需要评定其计量性能。方法之一是将该压力计送至法国国家实验室(LNE)或者德国PTB等实验室进行校准,但费时费力,费用昂贵。另一种方便可行的方法就是将两台同型号的高压气体活塞式压力计的活塞有效面积进行比对。本文以一台测量范围、等级与北京航天计量测试技术研究所引进的气体活塞式压力计相同的活塞式压力计为标准器,开展活塞有效面积的比对实验。该活塞附有LNE出厂的校准证书,数据实时性强,真实可靠,为进行实验室比对提供了实物基础和数据支撑。
1 比对原理
1.1 活塞有效面积对比基本原理
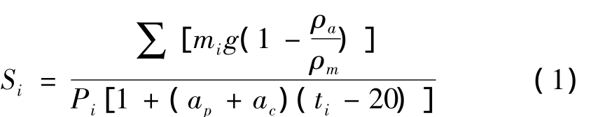
比对以一台同量程同等级的高压气体活塞式压力计(记为A活塞)为标准,以北京航天计量测试技术研究所的高压气体活塞式压力计为被检器(记为B活塞)。以A活塞的LNE证书为数据依据,采用直接平衡法校准B活塞压力计的活塞有效面积,则B活塞压力计的活塞有效面积按公式(1)计算。

式中:Si为在零压力和参考温度下,在第i个平衡点时,B活塞有效面积,m2;mi为在第i个平衡点时,标准活塞式压力计和被检活塞式压力计的活塞和砝码承重盘质量之和,kg;ρa为活塞压力计周围空气密度,kg/m3(取空气密度1.2×10-3kg/m3);ρm为活塞压力计周围空气密度,kg/m3(依据LNE证书,活塞密度取8082 kg/m3,砝码密度取7920 kg/m3);Pi为活塞压力计上的作用压力,Pa;ap+ac为温度变形系数,℃;ti为活塞工作温度,℃。
活塞有效面积与作用压力存在线性关系,其线性关系见按公式(2)计算。
式中:S0为被校准气体活塞式压力计在零压20℃环境下的活塞有效面积,m2;λ为压力变形系数,MPa-1;P为作用压力,MPa。
1.2 比对试验所用仪器设备
比对试验所用仪器设备如表1所示。
表1 比对所用仪器设备表

1.3 数据处理算法
通过公式(2)的对应关系,拟采用最小二乘法对获取的数据进行处理,得到常温环境下B活塞的有效面积。Si与压力P符合SISO离散系统,适用线性离散系统的表达形式,可以采用线性离散系统的模型进行数据处理。时不变SISO系统的数学模型为

最小二乘算法流程,如图1所示。程序采用MATLAB来实现,MATLAB以其独特的数据处理功能,尤其在矩阵方面的强大处理能力,使得实现该算法变得非常方便。
2 活塞有效面积比对实验方法
试验过程中将A活塞与B活塞通过管路直接连接起来,采用高纯氮气为工作介质,可有效保证介质的清洁,避免介质对试验结果的影响。通电使活塞在皮带轮的带动下均匀转动,采用5000终端系统测量活塞的工作位置,检测温湿度等环境参数。测量原理如图2所示。

图1 最小二乘算法流程图

图2 测量原理图
试验以JJG 59-2007《活塞压力计检定规程》为技术依据,根据该规程规定,试验过程按照如下步骤进行:①将两活塞相连,并放置2h以上,使活塞温湿度与实验室环境平衡;②在测量范围内,选取10,20,30,40,60,80,100 MPa共7个测量点,试验进行正行程和反行程一个循环的测量;③在每一个压力测量点,按照直接平衡法的测量原理,进行活塞有效面积的测量;④数据处理,得到B活塞常温环境下的有效面积。
3 实验结果
3.1 LNE证书结果
LNE证书结果如表2所示。
表2 LNE证书结果

3.2 试验数据
A活塞工作压力Pi的值由5000终端系统计算获取,A活塞试验所示数据如表3所示。
表3 A活塞试验所示数据表

则B活塞的有效面积按照公式(1)计算,所得数据如表4。
表4 B活塞试验所示数据表

经过数据处理得到B活塞在各测量点上的活塞有效面积见表5。
表5 B活塞在各测量点上有效面积表

利用最小二乘法得到作用压力P与有效面积S的直线方程为
S=4.64766×10-12×P+9.80538×10-06
由以上可知:B活塞在零压20℃环境下的活塞有效面积为S0=9.80538 mm2;B活塞LNE出具的校准证书中给出的零压20℃环境下的活塞有效面积为S0=9.805331 mm2;周期变化率为0.0005%。
4 结束语
本次高压气体活塞式压力计比对试验取得了非常好的结果。自2007年至今,B活塞式压力计活塞有效面积的变化为0.0005%。试验证明,该活塞的稳定性非常好,完全满足作为0.002级标准使用的要求,试验结果令人满意。利用此方法很好的解决了目前高精度测量仪器的溯源以及期间核查等工作面临的问题,其特点是方法简便,准确,可以作为高压气体活塞式压力计试验比对的一种行之有效的新方法。



