摘要: 测量时间是人工井液电阻率测井的关键参数,长期依靠施工经验来确定,尚缺少该参数的计算模型和计算方法。为解决这一问题,从影响测量时间的地层富水性、渗透率、地层水的视电阻率、示踪剂溶解速度等多种因素入手,应用质量衡算定律建立测井最佳测量时间计算模型,推导出最佳测量时间计算公式,并通过现场钻孔对比实验验证。结果表明,模型建立的最佳测量时间计算公式可以为盐化测井测量时间的选取提供可靠的依据,可为人工井液电阻率测井获取含(隔)水层水文地质参数提供技术支持,更好地指导现场水文测井工作。
关 键 词:质量衡算定律;影响因素;最佳测量时间;盐化测井;人工井液电阻率测井
人工井液电阻率法测井技术是划分含(隔)水层、分析含水层之间补给关系以及研究地下水动力学特征的关键技术。该技术已经被广泛应用于煤矿区含(隔)水层划分,含水层涌(吸)水量计算,地下水流速以及地下水污染物迁移监测等领域。近年来国内外研究人员在对井液电阻率法测井施工中示踪剂类型的选择、投放方式的选择、最佳投放量的计算[1-2]、曲线的解释[3]、含水层单层涌水量的计算[4-7]、地下污染物的迁移[5]、淡盐水界面的划分[8]、地下水矿化度的计算[9-12]、地层水含水饱和度计算[13-14]等方面进行了深入地研究并取得了理想的效果,为该技术的成功应用奠定了基础。但是,测量时间作为人工井液电阻率法测井最关键的参数,尤其是盐化后每一次测量的测量时间参数的选择和计算,目前主要依靠测井技术人员的施工经验,尚缺少该参数的计算模型和计算方法,且未见这方面的报道。
笔者从影响最佳测量时间的因素入手,通过对投药量的计算和校正,利用质量衡算定律、溶质稀释定律,结合地质钻探、常规测井以及抽水试验获取含水层的水文参数,建立扩散法测井盐溶液溶解模型,计算并推导出测量时间参数的计算公式,并通过工程实例进行现场验证,以期解决这一问题,从而指导测井技术人员进行现场施测。
1 井液电阻率测井原理
井液电阻率法测井是用来观测井液电阻率随着时间的变化在钻孔井深横纵向上的变化规律,从而解释相关的流体及储存参数[1]。解决水文地质问题的井液电阻率测井按照人工干预的方式可以划分为无人工干预的自然井液电阻率和有人工干预的人工井液电阻率两种类型。前者主要应用于定性分析,如岩性剖面、含(隔)水层的划分等,而后者的应用范围则更广。
人工井液电阻率法主要是人工将盐(NaCl、NH4Cl等)或者低矿化度的水通过各种方法投入到钻孔之中,进行人工盐化或淡化井液,使钻孔中井液与含水层中的地下水之间产生一个明显的井液浓度差。在地下水的自然渗透作用和盐溶液浓度差扩散作用下,盐化后的井液浓度随着时间的推移逐步被地下水稀释淡化。通过井液电阻率仪按照测量视电阻率曲线的原理和方法,测量和记录井液在不同深度随着时间的变化情况。根据施工工艺不同将扩散法分为:提捞法、注入法、静止水位法(井液盐化法)、简易提捞法等,在此不再赘述。
2 最佳测量时间的确定
2.1 扩散法水文测井
扩散法是井液电阻率测井中最有效、最常用的一种方法,要求在对钻孔进行清洗后的清水井液中进行测量。
2.2 测量技术要求
a.方法选择在施测之前应对含水层地下水矿化度通过电阻率测井、周边钻孔以及相应含水层水质化验资料等,分析评价试验段含水层矿化度。若为高矿化度地下水则可选择淡化测井。
b. 施测时间应在钻孔其他测井任务完成后进行,若钻孔井壁完整性差,应在钻孔洗井结束后进行,若井壁完整性好或抽水试验段下入过滤筛管时,须待抽水试验结束、水位基本稳定后进行测量;盐化测井持续时间不应超过36 h,定量估算水量所需记录的时间精确到秒。
c.仪器的标定在测量前应对所有仪器进行刻度标定和检测,要求各项指标的误差和精度满足规范要求,同时检测仪器的绝缘性以及电极系数,保证供电电流的准确、稳定和测量工作的顺利进行,在实测时应在供电线路中串5~30 kΩ的固定电阻,以保证供电电流的稳定。
d.施工条件要求盐化井液均匀,各条曲线的测量技术条件是一致的,且曲线测量时间把握适当,若含水层富水性很弱,可采用提筒法抽水,在抽水时边抽边测,直至异常反应清晰为止。
e.盐化程度的要求注入法形成的盐柱长度5~ 10 m,要求盐化后的井液电阻率是盐化前的3~4倍。
f.测量次数的要求在进行盐化或淡化之前首先测量一条自然状态下井液电阻率ρ0,供施测时间参数的选择和投盐量的计算以及钻孔井壁完整性分析参考。按照盐化前的ρ0测量技术条件,每间隔一段时间后分别测量盐化后的各条电阻率曲线ρ1、ρ2、ρ3、…、ρn,直至最后2条曲线的形态接近不变时才能停止施测工作,一般做5~8条曲线。
2.3 影响测量时间的因素
测量时间参数的选取是决定人工井液电阻率测井曲线质量的关键,测量时间受地层的富水性、渗透率、地层水的视电阻率、示踪剂溶解速度等多种因素的影响。
a. 地层的富水性
地层的富水性反映含水层的出水能力,在同等地质条件下地层的富水性越强,地下水的渗透、径流速度越大,溶液扩散速度越快,淡化的速度也越快。
b. 地层的渗透率
地层的渗透率反映试验段含水层地下水流的速度,渗透率越大地下水径流速度越快,因此,渗透率越大盐化溶液扩散的速度越快,淡化速度越快,反之则相反。
c. 地层水的视电阻率
研究表明,地下水的视电阻率与地层水的矿化度呈双曲线负相关关系[15-16](图1),因此,地下水的矿化度越高所需要投入的盐越多,淡化时间也越长。从图1不难看出当地下水矿化度超过4 g/L时,电阻率随矿化度变化不大,所以对高矿化度或超高矿化度地层进行盐化测井时,淡化所需的时间较长[16]。因此,对于高矿化度含水层而言采取适当的注入法或者注入低矿化的水依靠高矿化度地层扩散产生盐化过程,效果更佳。

图1 电阻率与地下水矿化度之间的关系[12]
Fig.1 Relationship between the resistivity and the salinity
d. 示踪剂的类型
目前,在水文测井中应用的示踪剂主要为粉末状盐类(NaCl、KCl等)、工业盐(块状海盐)以及碳酸氢铵(NH4HCO3),其中前2种的应用范围最为广泛。
粉末状食盐适用于强–极强富水性含水层,由于其颗粒呈粉末状,在盐化时与水接触的表面积较大,因此,溶解的速度较快,可以在较短的时间内完成大量盐的投放溶解,同时由于快速大量的溶解可以使钻孔能溶解液体柱与地层地下水之间产生密度差,因此,产生浓度压力的扩散,盐分进入地层从而降低地层淡化的速度。当水量大、地下水流速快、承压水头较高时,投入盐量一旦偏小就很难获得理想的曲线,导致盐化工作刚完成后,井液已经被快速地淡化,表现为第1条曲线与后续曲线幅度相差不大,出现第1条曲线就是最终曲线的现象。因此,投入大量的盐可以延缓淡化过程从而获得良好的含水层动力学特征曲线。而当地下含水层富水性弱、含水量较小、径流速度慢时,大盐量投入将延缓淡化并加剧地层的慢速渗透。
工业盐适用于富水性中等的含水层,钻孔较深时,由于颗粒较大时,颗粒表面积与水没有完全接触,因此,溶解速度较慢,可实现少量盐较深孔的均匀盐化。
碳酸氢铵适用于浅孔、富水性弱–极弱的含水层,由于碳酸氢铵溶解速度较快,且密度较小,对地层产生的浓度压力差较小,因此,在含水层中的侵入深度较小,颗粒重力沉降作用影响较小。此外,由于碳酸氢铵的溶解度与温度呈正相关性,随着地层深度的增加地温逐渐增加这种作用恰可抵消由于钻孔深度增加而引起的溶解量减小,有利于均匀盐化,提高盐化质量。因此,碳酸氢铵是浅孔、小水量扩散法测井的良好示踪剂。
e. 示踪剂的投放方式
目前示踪剂投放的方式主要分为2种。其中,广泛应用的方式为在电缆上捆绑装有示踪剂的布袋,然后使电缆在井液中往复运动,使其均匀溶解。该方法具有溶解速度快的优点,但存在溶解速度难以控制,容易造成上部溶液浓度高下部低,不易均匀盐化的缺点。尤其是在地层富水性强、地下水径流速度快、承压含水层水头高的地区,往往在示踪剂还未进入含水层的盐化段时大部分的盐量已经被溶解掉了,造成顶底部浓度差较大,形成向下扩散的曲线产生纵向水流的假象。
另一种方式为采用盐化罐投放示踪剂,由于其在专用盐化管内进行装盐,在其到达盐化层位后打开盐化罐,接触面积小、盐化速度慢,地下水流速对示踪剂的溶解速度影响较小。因此,可以通过控制电缆的下放和上提速度来控制示踪剂的溶解,使其更均匀地被盐化,而且可通过盐化罐上部连接的电阻率探管适时监测盐化后的井液电阻率变化,根据监测结果分析盐化是否均匀,适时控制盐化速度,从而实现试验段的均匀盐化。因此,该方法具有盐化均匀、实现适时控制、地下水的流速和水头高度等因素对其盐化效果影响较小的优点。其他方法大同小异在此不再赘述。
f. 投盐量的计算
示踪剂的投放量与盐化段的厚度、钻孔直径、地层水的电阻率等因素相关。研究表明[16-17],在溶液质量浓度小于2 g/L时,电阻率随着溶液浓度变化剧烈变化;在2~4 g/L间的变化相对较小;而当质量浓度大于4 g/L时,电阻率随着溶液质量浓度的变化基本保持不变(图1)。因此,当地层为高矿化度含水层富水性弱时,淡化效果不明显,只有水量特别大时,才需要大浓度盐化。所以,2 g/L可作为富水性弱含水层盐化的最佳溶液浓度。
(1)式中 m为钻孔的最佳投盐量,kg;D=2R为钻孔的直径,m;H为计划盐化段的长度(盐化段水柱高度),m;C为预计盐化后井液要达到的质量浓度,g/L。
富水性弱、低渗透的孔隙及裂隙型含水层可以直接利用式(1)进行计算,地下水的径流对钻孔盐化浓度的影响可以忽略;而对于裂隙型或岩溶型富水性强、涌水量大的含水层时,这种影响就不能忽略,需要对式(1)进行修正,修正后的投盐量计算公式为
(2)式中R为钻孔的半径,m;K为含水层的渗透系数,m/d;M为含水层的厚度,m;t为从盐化开始到盐化结束持续的时间,d;mamend为修改后的投盐量,kg。
2.4 最佳测量时间确定方法
在对含水层的水文地质参数有初步认识后,最佳的投药量是盐化测井能否成功的基础,但对测量时间的把握是能否获得理想测井曲线的关键技术。
2.4.1 模型的建立
根据钻孔扩散法水文测井的原理,将其简化为一个体积为V=πR2H的开放系统内加入一定质量m的盐,瞬间达到完全溶解,在溶解过程中没有稀释或流出,溶解后溶液的质量浓度为C,在单位时间内一侧供给体积为Vs的清水溶液稀释溶液系统,另一侧排出体积为Ve的稀释后的溶液,同时假设清水进入系统后瞬间溶解,其稀释溶解时间忽略不计(图2)。

图2 井液电阻率测井模型图
Fig.2 Model diagram of well fluid resistivity logging
2.4.2 最佳测量时间公式推导及计算
在此模型下,根据质量衡算定律,总物料衡算可以反映过程中各种物料之间的关系,当发生化学反应时物质既没有产生也没有消失。按照盐化测井的原理分析,该系统中物质的质量和浓度随着时间变化,因此,需要采用微分衡算式[17],通过在初始状态和最终状态下对溶解时间t进行积分。
因此,存在以下关系式:
(3)
系统内总的液体体积:
(4)
(5)式中C1、C2分别为t1、t2时的井液质量浓度,g/L;Vs为含水层补给水的体积,m3;Ve为含水层排出水的体积,m3。
令
,lnC=A根据溶解平衡原理[17],存在以下关系:
(6)
(7)
,则
(8)
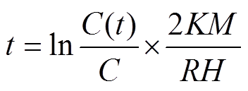
(9)
式中
的取值与测试次数相关,其中
,N为测试的次数(5≤N≤8);n为第n(1≤n≤N)条曲线。
最终,通过建立井液电阻率值与井液质量浓度之间的
关系式,计算最佳测量时间时对应的井液电阻率值。
(10)式中
为井液温度不变时的常数。
因此,通过建立的最佳测量时间计算模型和计算公式,首先根据施工区钻孔含水层抽水试验结果、富水性特征以及ρ0和ρ1曲线的测量结果综合选择合理的测量条数,之后根据确定的测量条数计算每一次测量的时间参数,按照计算的最佳测量参数进行现场测量施工,从而获取理想的测井曲线,进而为含水层划分、水质评价、含水层非均质评价以及矿井涌水量计算等提供可靠的测井资料。
3 工程应用实例
为了验证人工井液电阻率测井测量时间这一关键参数对测井曲线解释的影响,以鄂尔多斯盆地侏罗纪煤田陕蒙接壤地区施工的水文钻孔为例,采用3种方法:第1种为根据模型计算的测量时间参数进行施工,第2种为经验丰富的测井技术人员根据自身实践经验进行施工,第3种为经验一般的测井技术人员根据自身实践经验进行施工。在采集设备、投盐量等施工条件相同的情况下对同一个水文钻孔的同一抽水试验层段先后各进行一次测井,测井结束后根据3次测井获取的成果曲线结合岩心描述、抽水试验结果共同进行综合解释。从解释结果对比不难看出(图3):第1种方法获得了10条曲线,有效曲线10条,解释了4层含水层和4层隔水层(图3a);该方法不仅可以清晰地反应顶部含水层横纵扩散的特征,而且可以识别中部薄层隔水层以及顶部含水层向上和向下补给的特征。第2种方法获得了10条曲线,有效曲线10条;解释了3层含水层和3层隔水层(图3b);由于错过了最佳测量时间,导致顶部薄层隔水层的解释漏失,将上部2个含水层1个隔水层解释为1个含水层,且顶部含水层的扩散类型及其补给关系反应不明显,仅能反应向下补给关系。第3种方法获得了6条曲线,有效曲线5条;解释了2层含水层和2层隔水层(图3c);由于ρ3和ρ4测井曲线施测时间间隔太长,在施测ρ4曲线时井液已被完全溶解稀释,后续曲线变化不大,导致遗漏上部和中部的隔水层,将中上部整体解释为一个厚层含水层,顶部向上补给关系不明显。

图3 人工井液电阻率测井曲线效果对比图
Fig.3 Comparison of log results of artificial well fluid resistivity method
4 结论
a.影响井液电阻率测井因素很多,其中最佳投药量是盐化测井能否成功的基础,最佳测量时间的把握是获得高质量盐化测井曲线的关键。
b. 建立了人工井液电阻率测井最佳测量时间计算模型和计算公式,使施工经验变为理论计算公式,从而更好地指导现场测井工作,实现在最佳投药量和最短时间内获得最理想的测井曲线。
c. 通过应用计算公式可以获得井液电阻率现场施工过程中测量时间这一关键参数,进而解决因经验不足而不能获得较理想的井液电阻率曲线的问题。
d. 通过实践工程验证,取得了理想的效果。但由于该模型的验证是在洛河组强富水性砂岩孔隙型含水层内进行的,对于中等或弱富水性的孔隙型砂岩含水层或岩溶型、裂隙型含水层是否能够取得良好的效果,还需要在今后的工作过程中进一步验证,并逐步完善。



