摘 要: 针对某A型纯电动客车的常流式电液动力助力转向(Elecho Hydraulic Power Steering,EHPS)系统,为了克服非转向工况下系统能量浪费较大的问题,提出了一种辅助蓄能器式EHPS系统的技术方案。阐述该系统的工作原理、工作特点和优势;基于MATLAB/Simulink和AMESim建立系统仿真模型,研究蓄能器预充压力和容积对系统助力响应特性的影响,确定不同工况下蓄能器的预充压力,并分析计算系统能耗。仿真表明:提出的技术方案不仅满足转向系统在助力电机及液压泵建立回路压力过程中的助力需求,还满足系统助力平顺性的要求,并且系统能耗降低。
关键词: 电液动力助力转向系统;蓄能器;助力电机;系统能耗
引言
为解决车辆转向系统中转向的灵敏度与轻便性两者之间的矛盾,汽车普遍采用动力转向系统。随着电机技术及其控制的迅速发展,电动助力转向在汽车行业得到广泛应用。目前,采用传统常流式液压助力转向的中大型汽车,通常使用常流式电动液压助力转向(EHPS)系统,这一情况在纯电动汽车上尤为普遍。为了防止助力电机以及液压泵的响应迟滞引起驾驶人员感觉助力滞后,提升系统助力响应速度,目前EHPS系统在车辆处于非转向工况时,助力电机及液压泵仍以一定速度持续运转,势必造成能量消耗过大[1]。常压式EHPS系统虽然可以解决汽车非转向工况下能量浪费的问题,但系统中的高压蓄能器会导致液压油路长期处于高压的状态,容易大幅度缩短系统中液压元件的使用寿命,并且系统内部泄漏问题极为严重[2]。

图1 系统结构示意图
在常流式EHPS系统助力响应性能和能耗方面,国内外学者做了许多相关研究,PETER等[3]采用建立模型和台架试验相结合的方法分析了EHPS系统中存在的能源浪费问题,由仿真和试验的结果可看出能量损耗主要来自转向系统中的助力电机和转向阀位置;KEMMETMULLER W等[4]通过对转向系统当中转向控制阀的结构参数进行优化,提高了EHPS系统的助力响应特性;ZHAO W等[5]为了减少车辆转向能耗并改善转向路感,设计了一种电动液压复合转向系统,与原始EHPS相比,改进的系统在转向条件下的能耗显著降低,并可满足转向辅助和驾驶员路感要求;尹晨辉等[6]提出了一种带有助力矩耦合装置的混合动力电控转向系统,分析了汽车在原地转向、转向盘中心区转向工况下系统的助力特性和能耗问题,提高了助力响应特性;但上述研究在非转向工况下,电机仍持续运转,能源损耗的问题仍未解决。
基于此,本研究针对某A型纯电动客车常流式EHPS系统存在的问题,在文献[7]研究成果的基础上,提出了辅助蓄能器式EHPS系统的技术改进方案,通过增加皮囊式蓄能器、电磁减压阀等元件使车辆在非转向工况下,助力电机不持续处于运转状态,在助力电机转速响应阶段,蓄能器和电机驱动的液压泵一起向整体循环球式转向器中的转阀通入油液,从而改善整个系统的助力性能,采用建立系统仿真模型的方法,分析验证了改进后的技术方案不仅能满足助力需求,而且可以降低系统的能源消耗。
1 辅助蓄能器式EHPS系统技术方案
1.1 系统结构方案
本研究构建的EHPS系统的改进方案,如图1所示,系统由机械液压部分和电器部分组成,机械液压部分包括:方向盘、转向轴、整体循环球式动力转向器、储油罐、液压泵、皮囊式蓄能器、单向阀及相应液压管;电器部分包括:助力电机、电磁减压阀、EHPS系统控制器、转向盘转矩转角传感器、电机控制器、蓄能器压力传感器、第一电磁开关阀以及第二电磁开关阀。
1.2 系统工作原理
当车辆行驶时,EHPS系统控制器根据转向盘转矩转角信号判别车辆是否处于转向工况。若控制器检测到方向盘的转角小于或等于方向盘的自由行程,则判定车辆处于非转向工况;当方向盘的转角大于其自由行程时,则判定车辆处于转向工况。
当汽车在非转向工况时,EHPS系统控制器检测皮囊式蓄能器内部压力,当皮囊式蓄能器内部压力在设定值的上下限之间时,系统维持原状不变;若蓄能器储存油液的压力低于下限值,EHPS系统控制器打开第二电磁开关阀,发送蓄能器补油转速信号给电机控制器,电机控制器启动助力电机,驱动液压泵向皮囊式蓄能器内补充油液,达到设定的压力上限值时,系统控制器关闭第二电磁开关阀,助力电机停止运转;若蓄能器储存油液的压力高于设定的下限值,系统状态不变,助力电机不运转。
当车辆在转向工况时,系统控制器打开第一电磁开关阀,根据转向盘转矩、转角信号和车速信号确定当前工况下助力电机的目标转速,电机控制器将按照确定的目标转速控制电机的运转,实现转向助力控制;在助力电机转速处于上升的阶段,EHPS系统控制器根据助力电机的目标转速确定电磁减压阀的输出油液目标压力,给电磁减压阀输入一定的励磁电流使电磁减压阀输出目标压力的油液,蓄能器与液压泵一起向转向器中的转向控制阀输入液压油,提高整个系统的助力响应速度;当EHPS系统控制器检测到蓄能器压力回升时,系统控制器关闭电磁减压阀,蓄能器不再提供助力,由液压泵单独向整体循环球式转向器中的转向控制阀提供油液,为转向提供助力。
所构建的系统可以保证车辆在非转向工况下助力电机停止转动,系统能耗得以降低。蓄能器属于辅助的动力源,只在助力电机的转速未达到目标转速时提供助力,提高车辆进入转向状态时系统助力响应速度,并且蓄能器内压力远小于常压式。蓄能器出口设有电磁减压阀,便于非转向工况下蓄能器储存油液压力的设定和控制,避免因蓄能器储存油液压力随着车辆行驶速度上升而调低导致的蓄能器中油液无谓释放,进一步节能。
2 辅助蓄能器式EHPS系统模型建立
为了分析蓄能器的主要参数对系统助力特性的影响,建立了辅助蓄能器式EHPS系统各模块的数学模型。
2.1 系统转向阻力分析
汽车行驶时受到侧向力的作用会产生侧向力回正力矩和轮胎自回正力矩,汽车轮胎和路面之间存在的摩擦形成阻力矩,而汽车轮胎的垂直载荷会产生重力回正力矩,这些力矩组成汽车转向阻力矩,所以转向阻力矩M可用式(1)表示:
M=Fyξccosτcosσ+Fz μd sinδ+
Fzqσsin(2σ)cosτsinδ
(1)
式中,Fy —— 汽车轮胎受到的侧向力
Fz —— 汽车驾驶时轮胎的垂直载荷
τ,δ —— 汽车转向车轮的主销后倾角和主销内倾角
ξc —— 主销后倾拖距
μ —— 车轮与路面间的摩擦系数
σ —— 转向车轮的转角
d —— 轮胎接触点面中心到转向节的距离
根据车辆三自由度模型可构建转向阻力矩模型[8],结合纯电动客车各车速下驾驶员理想的转向手力矩[7],可得到车辆满载状态下转向时汽车车速、方向盘转角与系统转向阻力矩之间的关系,如图2所示。

图2 汽车车速和方向盘转角与转向阻力矩的关系
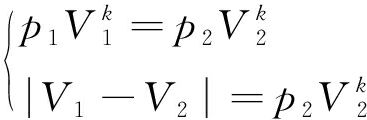
2.2 蓄能器蓄能和放能模型
本研究中蓄能器提供助力的时间取决于助力电机及液压泵的响应速度,蓄能器在提供助力时,其内部气体变化的规律可当作绝热过程,则蓄能器蓄能和放能模型可由式(2)表示:
(2)
式中, p1,p2 —— 分别为蓄能器内部气体最初的压力值和助力后压力值
V1,V2 —— 分别为蓄能器内气体初始体积和最终体积
k —— 蓄能器绝热系数[9]
2.3 转向控制阀模型
辅助蓄能器式EHPS系统中转向阀的类型为中位开式转向阀,结合转向阀的结构和工作原理对其进行数学建模,转向阀结构等效模型[10],如图3所示。
根据油液流量平衡的原则,转向阀内部的阀芯转动一定角度时,对应的流量方程可用式(3)表示:

(3)
式中, Qin —— 通入转向阀内油液的流量
Q0,Q1,Q2,Q3 —— 转向阀各间隙的油液流量
QA,QB —— 分别为液压缸右侧和左侧出口的流量
Qt —— 转向阀出口油液的流量

图3 中位开式转向控制阀结构等效模型
液压助力缸两侧的压力差为:
Δp= K(Qin/S)2
(4)
式中, S —— 转向阀左右两侧间隙面积最小一侧的间隙面积
K —— 系统的转向压力系数,通常K可用
ρ/
表示
2.4 电机目标转速模型
车辆转向时,助力矩Mp、液压缸有效工作面积A与液压缸两侧的压力差Δp之间的关系为:
Mp=ΔpALη
(5)
式中, L —— 轮胎节臂受转向横拉杆作用的长度
η —— 转向系统的传动效率
根据液压助力缸两侧的压力差与助力矩的关系可得到进入转阀的流量与转向助力系统提供的助力矩的关系,如式(6):
Qin=S(Mp/KALη)0.5
(6)
助力电机转速与转向助力矩的关系为:
n=1.5S(Mp/KALη)0.5/q
(7)
3 系统仿真及能耗分析
3.1 辅助蓄能器式EHPS系统仿真模型
基于MATLAB/Simulink根据上述各模块数学模型构建系统控制器模型、助力电机模型,在AMESim中构建机械液压部分的模型。图4为辅助蓄能器式EHPS系统仿真模型,系统仿真的主要参数如表1所示。

图4 系统整体模型示意图
表1 系统仿真模型主要参数

3.2 蓄能器容积对助力响应性能的影响
纯电动客车在路上行驶时大多数是以20~50 km/h 的车速运行[11],设置仿真汽车速度为35 km/h,汽车的方向盘在0.2 s内以300 (°)/s的起跃速度转过60°,皮囊式蓄能器的预充压力设定为2.5 MPa不变,在无蓄能器以及蓄能器容积分别为3.0,2.6,1.8 L的条件下,通过仿真分析系统的助力响应性能。
仿真结果如图5所示,在无蓄能器的系统当中助力响应存在显著滞后的问题,当蓄能器内的预充压力相同,蓄能器容积小于2.6 L时,容积越大,整个系统的助力响应越迅速;而当蓄能器容积大于2.6 L时,增大蓄能器的容积系统助力响应速度上升并不明显。所以本着够用且尽量小的原则,选取蓄能器容积为2.6 L,并且该蓄能器容积适用于后面的分析。

图5 v=35 km/h,不同蓄能器容积状态下系统
助力响应曲线
3.3 预充压力对系统助力响应特性的影响
汽车在行驶时,转向系统助力过大或过小都会影响汽车的安全性和驾驶人员的路感,所以液压缸活塞两侧存在理想压差既能够满足系统助力响应特性,并且可以协调汽车低速转向时的转向轻便性和高速转向时驾驶人员的路感[12]。因此,皮囊式蓄能器内预充压力的选取应当满足系统助力响应特性以及转向平顺性的要求,设置车速分别为20,50,80 km/h,汽车的方向盘在0.2 s内以300 (°)/s为起跃速度转动60°,蓄能器体积设定为2.6 L,仿真分析蓄能器预充压力对系统助力响应特性的影响。
根据图6~图8仿真的结果可知,随着转向盘转角的增大,所需的助力增大,液压缸活塞两侧压差也呈现不断上升的趋势。当车速一定时,随着皮囊式蓄能器预充压力的升高,系统助力响应时间在缩短,则表明汽车在转向时系统的助力响应速度不断加快;当蓄能器的预充压力上升至过高时,液压缸活塞两侧压差偏离理想压差,此时系统过度助力会导致驾驶员的路感受到影响;当车速由20 km/h不断上升时,汽车所受到的转向阻力矩减少,此时皮囊式蓄能器的预充压力应当调整降低;所以不同的车速,蓄能器预充压力是不同的。

图6 v=20 km/h,不同蓄能器预充压力下
系统助力响应曲线

图7 v=50 km/h,不同蓄能器预充压力下
系统助力响应曲线

图8 v=80 km/h,不同蓄能器预充压力下
系统助力响应曲线
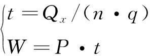
3.4 系统能耗分析
辅助蓄能器式EHPS系统与普通常流式EHPS系统在能耗方面的差异主要在于非转向工况下助力电机停止转动,由蓄能器在电机转速响应阶段暂时提供助力。由于大部分某A型纯电动客车在城市区域内驾驶,所以选择市区循环工况,对某A型纯电动客车行驶过程系统能耗进行分析计算,单个市区循环工况下车辆行驶情况如图9所示。

图9 单个市区循环工况车辆行驶情况
汽车处于转向工况的时间大约占整个过程20%~30%左右,并且单次转向一般维持10 s[13]。由此可假设汽车在道路上行驶时,汽车处于转向工况的时间大约为30%,所以A型纯电动客车在单个市区循环工况行驶时汽车大约需进行6次转向。
车辆转向时,辅助蓄能器式EHPS系统与文献[7]中系统电机的工作方式相同,所有转向工况下能耗相当约0.25 kW·h。假设每次转向操作后,系统需要重新检测皮囊式蓄能器内部压力,控制助力电机启动液压泵重新向蓄能器内通入油液供油,此时在非转向工况下,系统通过控制助力电机向蓄能器补充油液所消耗的能量可通过式(8)求出:
(8)
汽车非转向工况下,系统控制助力电机启动液压泵向蓄能器通入油液的时间约4.8 s,则汽车在市区循环工况下,助力系统所消耗的总能量约为0.08 kW·h。经计算可得,本研究设计的系统可以节省大约54.9%的能量,由此说明该系统有良好的节能性。
4 结论
本研究针对常流式EHPS系统中助力电机能耗较大的问题,提出了辅助蓄能器式EHPS系统的技术方案,使车辆处于非转向工况下助力电机基本停止运转。通过仿真分析得到最佳的蓄能器容积为2.6 L;车速一定时,蓄能器预充压力越高系统的助力响应速度越快;不同车速下蓄能器预充压力不同,并且随着车速的升高,预充压力应该相应的减小;经过能耗分析,本研究设计的技术方案具有良好的节能性。



