摘 要: 根据电机端盖结构特点,将端盖抽象为薄圆环板,应用卡门方程和伽辽金法,建立结构轴对称的电机端盖在不对称载荷作用下的强非线性动力学方程.应用MLP法得到主共振的近似解.分析了系统一次近似解析解及端盖系统的阻尼、外激励力和结构参数(板厚、半径)对振动响应曲线的影响.
关键词: 电机端盖; 圆环板; 强非线性; MLP法; 主共振
0 引言
电机作为机械动力之源,电机的振动直接影响设备的运行安全、产品的精度及噪声的产生等. 因此电机振动问题受到了广泛关注. 电机的结构部件转子和定子的弱非线性振动研究已有许多成果,其中关于对转子、定子系统振动影响因素研究较多[1-4],关于电机端盖结构的振动研究文献很少.电机端盖作为电机主要结构之一,其振动将对电机的使用性能造成直接影响.熊焕国等将电机端盖离散为若干有限的单元进行分析,并将理论一阶频率与实验数据进行了对比,得出转子临界转速受端盖低阶固有频率影响[5]; 侯朝胜根据电机端盖的结构特点将其简化为薄板圆环,建立其多种约束条件作用下的振动微分方程,并对其超谐共振进行分析,但其未考虑强非线性对系统的影响[6]. 文[7]建立载荷对称端盖的动力学方程,考虑强非线性参数对系统振动的影响,并进行了数值分析.
基于上述原因,本文在文[7]的基础建立结构对称的电机端盖在受载不对称情况下的振动模型,考虑强非线性参数对定子、转子与端盖耦合振动的影响,通过改进的MLP法[7]得到定常解,分析系统的一次解析解,并通过不同相关参数分析对电机端盖的振动影响. 研究结果对电机的减振、避振设计具有实际意义.
1 电机端盖动力学方程建立

图1 电机端盖结构简图
图1为结构对称的电机端盖结构简图,将其简化为圆环薄板,其振动基本方程为动态卡门偏微分方程[8],即:
![]()
(1)
(2)
式中:r1为内半径;r2为外半径;h为厚度;c为阻尼系数;ρ为面密度;qcosωt为横向对称荷载;W(ξ,t)为挠度函数;φ(ξ,t)为应力函数;γ为泊松比;E为弹性模量;D为弯曲刚度,
为微分算子,
为任意参数,0.41=r1/r2≤ξ=r/r2≤1,(r1≤r≤r2).
电机端盖的约束特点为内、外边缘固定夹紧,因此边界条件为:
(3)
应用伽辽金(Galerkin)法,将振动方程的挠度函数进行空间和时间分离,即设定轴承端盖的瞬时挠度为:
W(ξ,t)=hu(t)w(ξ)
(4)
式中:h为板厚,u(t)是仅关于时间t的无量纲变量函数,由振动控制方程给出. 在qcosωt激励作用下,设振型试函数w(ξ)为无量纲的自然数项幂函数[8],即:
w(ξ)=c0+c2ξ+c2ξ2+c3ξ3+ξ4
(5)
将式(5)代入式(4),再进行求偏导运算得:

(6)
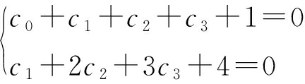
由电机端盖边缘固定夹紧的边界条件和端盖厚度h与关于时间t的无量纲函数u(t),两者不能恒为零,则在电机端盖外边缘固定夹紧时,即在(ξ=1)有[8]:
(7)
同理考虑轴承端盖内边缘夹紧固定(ξ=0.41)时边界条件:
(8)
联立以上两组边界条件方程解得:
c0=0.3247;c2=-2.8312;c4=5.6883;c6=-4.1818.
将解代回式(5)后再代入式(2)解得:
![]()
(9)
将式(9)式和(4)代入式(1)得:
(10)
式中:
B=![]()
(2c2+6c3ξ1+12ξ2)
应用伽辽金(Galerkin)法消除残余值[9]:
(11)
计算得电机端盖在结构对称受载不对称情况下的非线性振动控制方程:
(12)
式中:
为阻尼系数;
为固有频率,
为非线性刚度系数;
为外界激励力,N.
2 强非线性主共振分析
根据电机端盖系统振动方程非线性项可知该系统为强非线性系统,采用处理强非线性方程的改进MLP法对系统进行分析,同时考虑频率和相位变化关系令τ=ωt-θ,并设K=Fcosθ,H=Fsinθ,则式(12)可化解为:
(13)
因微小的同频外激励就能使系统产生共振,所以可将激励小参数化进行分析:
(14)
令ω2有关于ε的展开的级数关系:
(15)
引入变换参数:
(16)
由式(15)可得:
(17)
将式(17)代入式(15)有:
(18)
利用泰勒公式对式(18)进行展开得:
(19)
设u(τ)可展开为关于α级数形式:
u(τ)=u0(τ)+αu1(τ)+α2u2(τ)+…
(20)
将式(15)~(20)代入是式(14)中得:
(21)
将式(21)展开并比较关于α的次幂得:
关于α0
(22)
关于α1
(23)
设关于方程α0的解的形式有:
u0(τ)=Acosτ+Bsinτ
(24)
将式(24)代入式(23)可得:
![]()
(25)
式(25)中的NST为不长期存在项,提取永年项并令其等于零有:
(26a)
(26b)
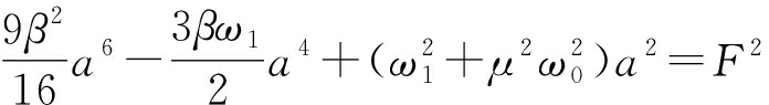
已知H2+K2=F2,再令A2+B2=a2,让式(26a)与(26b)平方相加并整理得:
(27)
式(27)为电机端盖系统的强非线性主共振响应方程.
3 电机端盖一次近似解析分析
式(24)是系统在周期力作用下的0阶近似解,电机端盖在应用时通过紧固螺钉固定在电机机身上,因此考虑其实际工作情况,将边界条件设置为:
(28)
式中的a取值范围0.001~0.005 m.
解得关于α0方程的解为:
u0(τ)=acosτ
(29)
将其代入式(23)解关于一次幂式得:
(30)
式中C1,C2是待定系数,u1(τ)是对u(τ)的修正的派生解,故令其初始条件都为零,即:
(31)
解u1(τ)得:
(32)
所以系统振动的一次近似解为:
(33)
电机端盖参数为: c=0.001;ρ=7 800 kg/m3;r2=0.11 m;h=0.008 m;ν=0.33;E=2.1×1011 Pa;q=5 N;k=1 373.1;λ=4.3191;D=Eh3/12(1-ν2)=10 056 Pa·m3.
当电机端盖在一定的振动幅值及其约束范围之内时,选取振幅a为0.002 m时,通过数值仿真软件计算得振动方程解析解的时间响应曲线如图2所示.由图2中电机端盖主共振系统0阶和1阶近似解曲线可以看出,振动幅值随阶次的增长有明显升高,同时1阶曲线有较明显的滞后性.

图2 振动方程解析解的时间响应曲线
4 数值分析
将参数代入式(27)并对其进行数值计算与分析,参数选取参考解析解时所给参数. 可以得到系统在不同外激励q、阻尼c、厚度h和外半径r2作用下的幅频响应曲线,如图3所示.通过分析明显可见在单一参数发生变化时,系统的共振区间和振幅都有较大变化.图3a为外激励在q=0.5 N和q=0.8 N作用下的幅频响应曲线,随着外激励力的增大,系统的共振区间也随之增宽,外界激励的改变对系统的共振影响主要体现在振动区域增大. 图3b为不同阻尼c作用下的系统幅频响应曲线,阻尼增大振幅减小,可有效缓解系统振动. 图3c为端盖结构参数厚度h变化的系统幅频响应曲线,端盖厚度的变化对系统振动响应曲线有明显影响,随着端盖厚度是增加,振动响应曲线向右偏置,同时振幅也有所降低. 图3d为结构参数外半径r2对系统幅频响应曲线影响曲线,当端盖的外半径r2越大时,在同等条件和激励下振动幅值越大,系统的非线性越显著.

图3 系统在不同外激励q、阻尼c、厚度h和外半径r2作用下的幅频响应曲线
5 结论
通过动态卡门方程和伽辽金法建立电机端盖的强非线性振动方程,应用改进的MLP法对系统进行理论分析,利用数值分析软件通过参数带入解出其周期幅频响应曲线,得出振动幅值随阶次的增长有明显升高,同时高阶曲线有较明显的滞后性. 同时通过对系统的振动方程进行分析,在不同结构参数的变化时系统幅频响应曲线有明显变化,结构参数变化得到的幅频响应曲线符合实际振动规律.因此,可以为优化电机端盖结构尺寸提供理论依据.



