摘 要:以柔性桩支护的黏性土基坑边坡为研究对象,考虑桩后土拱效应、非极限状态下桩土内摩擦角和黏聚力发挥值、桩后土体内摩擦角和黏聚力发挥值的影响,从黏性土应力莫尔圆出发,采用微层分析法建立静力平衡,搜索桩后土体潜在滑动面,推导柔性桩黏性土的非极限主动土压力计算式。通过实例计算对比分析了本文计算理论与经典Rankine计算理论,本文计算方法计算得到的主动土压力大于Rankine计算值,合力作用位置高于Rankine计算值,潜在滑动面范围小于Rankine极限状态滑动面。
关键词:应力莫尔圆;非极限状态;主动土压力;微层分析法;土拱效应
主动土压力产生的根源在于土体中的侧向应力,经典的Rankine和Coulomb计算理论计算的是墙的位移达到极限状态时,土体对墙的作用力,理论简单实用,应用广泛[1-3]。但不适用于位移需要严格控制、支护形式为柔性桩的基坑边坡。
在目前的研究中,一方面,徐日庆等[4]总结了非极限状态土压力计算通常采用的两种方法:一是拟合土压力随位移变化的关系曲线;二是推导非极限状态下的强度参数发挥值,替换经典土压力理论的极限强度参数。由于土压力和位移的关系并不具有唯一性,方法一具有一定的局限性[5];方法二能够反映边坡位移变化后墙后土应力的变化,因此,研究较多。Chang[6]假设内摩擦角发挥值随位移线性增加,提出了非极限状态下土压力的计算方法;卢坤林等[7]、张永兴等[8]、胡俊强等[9]、朱建明等[10]、王仕传等[11]假设墙后滑动面为一水平倾角不变的直线,采用水平层析法、应力莫尔圆和静力平衡条件推导了挡土墙砂性土非极限状态下的主动土压力计算方程;徐日庆等[4]、涂兵雄等[12]、娄培杰[13]考虑黏聚力的影响给出了挡土墙黏性土非极限主动土压力的计算公式。另一方面,对具有柔性变形支护桩基坑边坡的主动土压力的研究文献较少,大多非极限主动土压力研究建立在刚性挡墙基础上。Milligan[14]采用模型试验研究了砂性土内撑式柔性挡土墙滑裂面的发展。陈页开[15]概述了柔性挡墙涉及到的土拱、土压力沿桩身分布的研究状况,采用数值分析方法,探讨了柔性挡墙的土压力问题。陆培毅等[16]通过室内试验对柔性挡土墙土压力分布进行了测试。应宏伟等[17]采用中间状态系数研究了任意位移下柔性挡墙主动土压力合力及其分布的计算方法。
综上所述,目前针对柔性桩黏性土的非极限主动土压力的理论研究和推导较少,基坑支护设计仍然采用经典的土力学理论,并没有学者提出一个针对柔性桩的土压力计算改进公式。章瑞文[18] 认为,墙后土拱效应引起的滑动面土体主应力偏角沿墙高变化,滑动面应是一条水平倾角由上向下逐渐减小的曲面,研究了在主应力偏转、水平土层剪应力作用和滑动面倾角变化,刚性挡土墙平移、转动等条件下,砂性土的主动土压力理论,简化考虑强度参数与墙高线性相关,研究成果并非完全适用于柔性变形条件下黏性土的非极限土压力理论。在章瑞文[18]的基础上,本文考虑非极限位移状态下内摩擦角、黏聚力的发挥值与桩身位移的关系,应用微层分析法、应力莫尔圆分析桩后土体应力状态,迭代计算搜索桩后潜在滑动面,推导研究在柔性变形模式下,黏性土非极限主动土压力计算式。
1 非极限状态下强度参数的发挥值
当柔性桩背离土体移动而处于中间主动状态时,土的内摩擦角没有全部发挥,而是处于初始值和极限值之间的某个值。徐日庆等[4]利用黏性土应力莫尔圆以及卸荷应力路径的三轴试验类比墙后土体的侧向变形过程,建立了非极限状态下土体内摩擦角发挥值φm与位移比η的关系。

对于墙土之间的外摩擦角δqm,在考虑复杂位移模式下的土压力问题时,采用龚慈等[19]提出的公式

式中:η=S(z)/Sa;δ0=φ/2,δ为实测值,缺乏资料时,可取δ=2φ/3,极限状态所需位移值在《加拿大基坑工程手册》[20](第四版)中有相关取值建议。
同时,假设桩土之间黏聚力发挥值cqm和土的黏聚力发挥值cm随位移具有相同的变化规律。桩土之间的黏聚力 cq= 2c/3[21], 黏聚力发挥值可根据应力莫尔圆的几何关系得到。
从表2中可以看出,在所有影响因素中,学习者因素的平均值最高(M=2.34),说明大多数被试都将自身出现负动机现象的原因归结到自身原因方面。二语学习是一个长期持续且记忆任务相当繁重的习得过程,加之习得过程中还会出现程度不同的语言负迁移现象,因此对学习者的毅力、决心和自制力都有较高的标准和要求,而这些品质可能是当前大学生群体中严重欠缺的,极有可能半途而废,甚至还有者在初始阶段就已经放弃;另外,由于学习者之间显著的个体差异性因素的存在,不恰当的习得策略、过去多次的语言学习失败经历,来自于教师、周围同学、家庭及社会的压力,都会对学习者的耐心、毅力和决心产生巨大的负面影响,从而对其动机强度产生重创。


2 柔性桩桩后黏性土应力状态分析
根据静力平衡条件,有

图1 边坡计算模型
Fig.1 Calculation model of

图2 土条力学分析
Fig.2 Micro layer mechanics
1)对桩后土体E点进行应力状态分析,如图3所示,土体受竖向和水平正应力、剪应力作用,主应力发生偏转。

图3 滑裂面土体应力状态
Fig.3 The soil stress state near sliding surface
坐标转换:
τ′=τ
σ′=σ+cmicot φmi
取适量混合均匀的不同粒径麸皮和全麦粉,参考Wang的方法[11],使用激光粒度粒径分析仪测定粒径分布,D10、D50、D90分别表示小于或等于此粒径值的体积占测量样品全部体积的10%、50%、90%。
kai=tan2(45-φmi/2)

E点应力


τEi=Risin ψEi



当时,
海西州委常委、格尔木市委书记王勇说,格尔木依托柴达木盆地得天独厚的生态优势,积极发展有机枸杞产业,建成全省首个国家级生态原产地产品保护示范区,获颁我国首张有机枸杞认证证书,出口和创汇位居全省农产品之首,枸杞产业成为拉动农牧业经济持续增长的引擎。


当时,


土条表面各点的剪应力不同,但数值较小,可近似按平均值计算。
rxi=-Ricos φmisin αi
a.当δi<φi时
2)对桩后某一点土体D点进行应力状态分析,如图4、图5所示,土体受竖向和水平正应力、剪应力作用,主应力发生偏转。
ryi=Ricos φmicos αi
坐标转换
①做好施工前准备工作,组织专业技术人员对工程现场进行实地勘察,加强与相关管线、线路部门交流,及时掌握现场线路的实际敷设情况,并做好相关的记录工作。②需要挪移的线路,预先对需要挪移线路进行挪移操作,待线路成功挪移后在进行施工。③避让工程现场所有线路,尤其高压线路。相关作业人员必须严格执行相关技术标准进行作业,不得进行私自开挖,避免因擅自施工对地下管线造成损坏。④在实际的开挖过程当中,如若发现不明线路,则需要立即停止作业。并将现场的实际情况上报给上级部门,待上级部门判定无误时,方可进行施工。
τ′=τ
σ′=σ+cqmicot δqmi
σ″=σ+cmicot φmi
kai=tan2(45-φmi/2)


图4 δi<φi时,桩后土体应力状态
Fig.4 The soil stress state near the

图5 δi<φi时,桩后土体应力状态
Fig.5 The soil stress state near the
D点应力


τDi=Risin ψDi
ψDi=2βi-π+Ai-δqmi


当时,


当时,
从表2可以看出,奖学金对86.41%的大学生的学习动机有激励作用,且有46.74%的学生认为奖学金对激励其学习有很大作用,说明奖学金的设置很有必要,对大学生的学习和成长都有很大作用。


当0时,
qxi=-Risin(Ai-δqmi)cos βi
qyi=Risin(Ai-δqmi)sin βi
b.当δi>φi时
滑裂面竖向反力
τ′=τ
σ′=σ+cmicot φmi
kai=tan2(45- φmi/2)
由图2所示,血清中,(0.3+0.08)、(0.3+0.12)g/kg组MDA水平分别为5.397、5.342 nmol/ml,显著低于对照组和(0.3+0.16)g/kg组(P<0.05);在肝脏中,(0.3+0.12)g/kg组的MDA水平显著低于对照组(P<0.05),其他组间差异不显著(P>0.05),MDA水平最低的(0.3+0.12)g/kg组含量为5.342 nmol/ml,添加胆汁酸能有效的降低MDA水平。MDA水平的高低反映自由基对机体的损伤情况,所以(0.3+0.12)g/kg组的凡纳滨对虾健康程度最好,为杜仲提取物与胆汁酸共同添加是较优的添加梯度。
约94%的学生对文化导入给予认可;课堂观察也发现学生参与教学活动热情高涨,出勤率和作业上交率都能保持在99%左右。

D点应力


不稳定型心绞痛为心血管内科常见病,病情重且发展快、死亡率高。有研究发现,炎症反应和动脉粥状硬化、斑块化破裂,和不稳定心绞痛都有重要关系[1] 。现阶段主要治疗方式为,抗血小板、抗冠状动脉血管痉挛、抗凝、阻止冠状动脉粥样硬化、稳定斑块。他汀类药物不仅可降脂同时也有抑制炎症和稳定粥样硬化斑块的作用。同时氯吡格雷作为血小板抑制剂,业有抗聚集作用,且被大量研究所证实。因此选取我院收治的79例不稳定型心绞痛患者。分析辛伐他汀联合氯吡格雷治疗不稳定型心绞痛的效果,研究结果报道如下。


当时,
由于采用RS-485的硬件协议,上位机为主机,而单片机作为下位机也就是从机,从机不会主动向主机发送信息,在接收到主机的信息后作出响应,因此从机在空闲状态时处于接收状态。


当时,


当时,
qxi=-Ricos φmisin αi
τDi=Risin ψDi
几名特务进入黄家后,不顾黄家人的阻拦、警告,耀武扬威,翻箱倒柜,弄得到处乱七八糟,却连敌伪人员的毛都没捞到一根。
qyi=Ricos φmicos αi
3 柔性桩非极限土压力计算公式推导
对作用在单元水平土条上的各个力进行分析,上述各式中σ1i为自重应力。
随后我看见一个留着清爽短发的男人走了进来,我的脚不方便,就没有起身,他个子高,脸上棱角分明,有细细的胡茬,肤色健康,眉毛稀薄。我忘记是谁说的眉毛稀薄的男人一般薄情,所以,对于黄玲的男朋友,我没有太多的好感。但好与不好,也是与我无关的。
当时

土条表面各点的竖向应力也是变化的,为简化计算,假定土条各点的竖向应力呈线性变化,取D、E两点的竖向应力平均值作为土层表面的竖向应力。
文明起源于水。人类文明的第一缕曙光,几乎都是被水浸亮的。于是,无论我们走到哪里,生命中都磨灭不了关于一条河,或一条江的印记。淘洗我灵与骨的那条滔滔大河叫——饮马河。

桩后水平向反力

桩后竖向反力

滑裂面水平向反力

坐标转换

土层自重

其中:

基坑边坡在变形过程中,桩后土体形成一条水平倾角由上向下逐渐减小的滑裂面,如图1所示的BC面。取桩后滑动土体某一层土条进行力学行为分析,如图2所示。土条受到下部土体和柔性桩的双重约束,下部土体阻止其水平移动,桩身阻止其竖向移动,在双重约束共同作用下,桩后土体产生土拱效应,出现剪应力和剪切变形,且两个方向的剪应力大小相等,方向相反。若桩面光滑,桩后土体便不会出现剪应力作用,与朗肯土压力理论一致。因此,考虑桩身摩擦作用,桩后滑动土体的水平土条间一定存在剪应力作用。
ΣX=0
Qxi+Fi+1-Rxi-Fi=0
ΣY=0
pyi+1Li+1+Qyi+Ryi=pyiLi+ΔGi
基于以上静力平衡等式关系,假定边坡顶面滑裂面长度L0以及滑裂角α0,进行逐层计算。通过逐层计算解得墙脚附近的土层长度Ln,若Ln不为零则需调整L0重行计算,直至Ln基本接近零为止,完成滑动面搜索。同时,求解柔性桩主动土压力计算公式。
某一水平土层i的桩土接触面正压力系数Ki计算式为

(1)

(2)
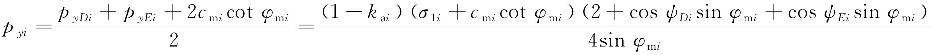
柔性桩桩后主动土压力即为正压力、正压力产生的摩擦力以及桩土之间的黏聚力的合力,主动土压力及作用角表达式为

(3)

(4)
经典Rankine计算理论假设墙背直立、光滑,土体达到极限平衡状态,即φm=φ,cm=c,δqm,cqm,β=90°,应力偏转角ψD=0,ψE=0。代入式(4)计算化简得到

(5)
与经典Rankine黏性土的主动土压力计算公式一致,说明以上推导过程正确。式(1)~(4)即为柔性桩黏性土的非极限主动土压力计算公式。
4 柔性桩主动土压力计算结果比较
成都某黏性土基坑边坡深6.0 m,长30.0 m,采用柔性桩支护,桩长11.0 m,桩径1.0 m,桩间距1.0 m。黏性土土性参数为:重度γ=22 kN/m3,强度c=25 kPa,φ=15°。桩土之间强度参数不明,可取cq=2c/3=16.67 kPa,δq=2φ/3=10°。柔性桩采用预埋测斜管进行变形测试,基坑开挖后柔性桩桩身变形测试结果如图6所示。

图6 桩身变形曲线
Fig.6 The deformation curve of pile
根据以上几何、土性参数以及边坡位移条件,采用本文的理论推导过程进行柔性桩黏性土非极限主动土压力求解,同时,与徐日庆等[4]计算理论、经典Rankine计算理论进行对比分析。本文计算理论潜在滑动面曲线和徐日庆等计算理论、经典Rankine计算理论滑动面曲线如图7所示。计算得到的潜在滑动面为一水平倾角逐渐减小的曲面,滑动面顶宽7 m,徐日庆法滑动面顶宽10 m,Rankine极限滑动面顶宽14.3 m,范围均大于本文计算潜在滑动面,且为一水平倾角不变的直线。

图7 桩后滑动面对比
Fig.7 Comparison of slope sliding
土压力计算结果如图8所示。本文计算的非极限主动土压力合力为529 kN/m,作用位置距桩底2.89 m;徐日庆法滑动面范围大于本文计算滑动面,滑动的土块作用在支护结构上的土压力更大,计算得到的非极限主动土压力合力为541 kN/m,比本文计算值大2%,作用位移距桩底2.91 m,比本文计算值大0.6%;Rankine理论滑动面范围最大,滑动的土块最大,但边坡在极限位移状态时作用在支护结构上的土压力以变形的形式进行了释放,计算的极限主动土压力合力为418 kN/m,比本文计算值小22%,作用位置距桩底2.68 m,比本文计算值小8%。
减淤效果明显。2013年实施了第15次调水调沙运用,小浪底水库下泄水量57.6亿m3,为历年调水调沙用水最大值,库水位从247.4m最低降至212.1m,为历年调水调沙运用最低水位。通过15次调水调沙运用,黄河下游河道由建库前的淤积抬高转变为冲刷下切,下游主河槽最大过洪能力从不足1800m3/s增大到4100m3/s。

图8 主动土压力分布对比
Fig.8 Comparison of active earth pressure
5 结论
1)分析研究了在柔性变形模式下桩后黏性土应力状态。分析过程考虑了非极限状态下强度参数的发挥值、主应力偏转、水平土层剪应力作用和柔性桩、滑动面倾角变化的影响。
2)通过微层力学分析、静力平衡、莫尔强度理论等方法搜索了非极限柔性变形模式下黏性土基坑边坡潜在滑动面,同时,推导了柔性桩黏性土非极限主动土压力的计算式。
3)本文计算理论与经典理论实例计算结果表明,本文计算理论得到的主动土压力大于经典理论计算值,合力作用位置高于经典理论值,计算得到的潜在滑动面为一水平倾角逐渐减小的曲面,范围明显小于极限条件下滑动面。