摘 要:由于波浪存在随机性和不稳定性,波浪能发电的重要环节是对其间歇发电的管控,而能量存储技术是减轻此影响的一种有效技术。基于蓄电池和超级电容构成的混合储能系统,提出了一种带混合储能的DC/DC变换器,以抑制发电机输出功率的振荡,平滑其电压波动,可直接为直流负载供电,或经逆变器向交流负载供电。并在Matlab/Simulink中进行了建模与仿真,仿真结果验证了所提方案的有效性,对波浪能发电系统的实际应用具有一定的参考价值。
关键词:DC/DC变换器;超级电容;混合储能
0 引言
发展可再生能源是应对化石燃料枯竭和全球变暖的重要手段。波浪能以机械能的形式存在,是一种品味较高的可再生能源,也是当前能源领域研究的热点之一,波浪能发电具有广阔的前景。文献[1]采用基于点吸收浮子式的波能转换器(Wave Energy Converter,WEC)直接驱动发电机发电,以实现经济、高效地波能转化。利用WEC产生的电能可用于电网或独立微网[2]。文献[3]给出了独立波浪能发电系统结构框图,如图1所示,连接WEC的永磁同步发电机(Permanent Magnet Synchronous Generator,PMSG)产生振荡功率,PMSG输出经AC/DC变换器整流,通过DC/DC变换器连接到电阻负载。储能系统(Energy Storage System,ESS)经双向DC/DC变换器与负载并联。

图1 独立波浪能发电系统框图
针对波浪随机性强,短时功率波动大,发电机输出无法直接带负载的问题,借鉴在太阳能发电、风力发电和电动汽车等装置中提出的混合储能等各类实现功率平滑的方式[4],采用ESS抑制其输出功率振荡。讨论了波浪能发电系统中DC/DC变换器的电路结构、建模与仿真及组合ESS的控制。
1 系统结构
本文所提出的混合储能DC/DC变换器电路结构如图2所示,系统由三相不可控整流、电容滤波、DC/DC变换,以及储能装置组成。为了保持功率恒定,需控制直流母线电压Vdc和PMSG/ESS的功率流动,直流母线电压由ESS侧的双向DC/DC变换器调节。当系统的输出阻抗等于其电源阻抗时输出最大功率[3]。因此,整个系统的控制通过控制变换器的占空比和ESS的电流来实现。

图2 系统电路结构
在任何情况下,ESS的控制方式都是使负载始终保持恒定功率。当发电机产生的功率高于负载额定功率时,ESS充电,此时Q1作为续流管,Q2断开,Q3高频斩波,Q4续流,ESS侧双向DC/DC变换器等效于Buck电路,充电时的电流方向如图3(a)所示,电流经Q3与L2向ESS充电;当发电机产生的功率低于负载额定功率时,ESS放电,此时Q1仍作为续流管,Q2闭合,Q3续流,Q4高频斩波,ESS侧双向DC/DC变换器等效于Boost电路,放电时的电流方向如图3(b)所示,电流经L2与Q3向负载放电,L1充电。

图3 ESS充放电电流方向示意图
在波浪能发电系统中,由于WEC的间歇性运动和发电,仅使用超级电容作为ESS并不是可行的解决办法。因为,当负载额定功率高于发电机输出功率时,超级电容不足以长期维持直流母线电压,此时直流母线将发生掉电,导致负载无法正常运行。反之,如果负载额定功率远低于发电机输出功率,此时发电机输出功率高于负载额定功率,超级电容将发生过充,超级电容两端电压上升至超过其所能承受的最大电压。
该问题可由超级电容与蓄电池的组合ESS来解决。超级电容与蓄电池的主要区别在于超级电容具有高功率密度,而蓄电池具有高能量密度[5]。也就是说,超级电容能够在短时间内提供较高功率,可以承受大量的充放电循环,并能提供较大的电流。与蓄电池不同的是,超级电容的损耗几乎可以忽略不计且寿命很长。但对于蓄电池而言,脉冲电流是产生瞬时电压、增加蓄电池损耗和减少蓄电池寿命的主要原因,同时也存在充电电流低的缺陷。因此,峰值功率由超级电容提供,平均功率由蓄电池提供。
带混合储能的系统电路如图4所示。其中,超级电容由理想电容SC带Rsc等效串联电阻替代,常见超级电容工作电压约为2.5~2.7 V,而等效串联电阻最大值约为300 mΩ,因此取Rsc=10 Ω。BAT为60 V串联蓄电池组,其内阻Rbat=1 mΩ。超级电容侧双向DC/DC变换器用于控制直流母线电压和提供峰值功率,而蓄电池在适当的控制下充放电以提供平均功率,并限制超级电容两端的电压。

图4 超级电容和蓄电池混合储能系统电路图
2 控制电路设计
2.1 控制电路
为实现较为稳定功率输出,设计了相应的控制系统,图5为系统控制电路图。该控制方式的基本原理为:经过三相不可控整流的平均电流Irref与实际整流电流Ir之差ΔIr经PI控制器后与对称三角载波进行比较,得出整流侧DC/DC变换器的占空比Dr;ESS侧双向DC/DC变换器采用PI控制器调节直流母线电压Vdc,产生等效的ESS基准电流Iessref,并与其实际电流Iess作差,得到ΔIess。再经PI运算后与对称三角载波进行比较,从而产生ESS侧变换器的占空比Dess。不同于一般采用锯齿形载波的方案,振荡器产生一个对称三角形载波,这提供了较慢的边沿,因此在高开关频率下,其电磁干扰更低[6]。

图5 系统控制电路
控制电路的目标是在保持直流母线电压恒定的情况下控制PMSG和ESS充放电中的功率流。另外,PMSG产生的电压取决于波幅,在本质上是从零到峰值的波动。根据图4中混合储能系统,ESS包含超级电容(提供峰值功率)和蓄电池(提供平均功率)两种储能器件,应分别对两个双向DC/DC变换器进行控制。因此,采用适当的低通滤波器(Low Pass Filter,LPF)将Iessref分解为高频分量Iessref_H和低频分量Iessref_L。将高频分量Iessref_H与超级电容充放电电流Isc之差ΔIsc,经PI控制器后与对称三角载波比较,得到超级电容侧双向DC/DC变换器的占空比Dsc;将低频分量Iessref_L与调节超级电容两端电压的基准电流Ivscref相加得到蓄电池基准电流Ibatref。而调节超级电容两端电压的基准电流Ivscref是从控制超级电容端电压Vsc的电压控制器中计算而来,这是为了避免超级电容发生过充或过放电而采取的预防措施。然后将蓄电池基准电流Ibatref与蓄电池实际电流Ibat作差,得到ΔIbat,再经PI运算后与对称三角载波进行比较,得到蓄电池侧双向DC/DC变换器的占空比Dbat。为此,对图5中控制电路进行相应调整,调整后的电路如图6所示。

图6 超级电容和蓄电池混合储能系统控制电路
2.2 参数设计
系统采用电流控制器,300 Hz带宽的控制效果较好,而开关频率要高于控制器目标带宽20倍以上,因此系统内各变换器的开关频率选择f=10 kHz。直流母线目标电压值Vdcref=60 V,因此最大直流母线电压取Vdcmax=100 V。给定电流纹波,则电感为
图中,对于ESS侧双向DC/DC变换器,储能系统的最大输入电压Vess=60 V,最大充放电电流Iess=10 A。为满足后级逆变器的输入要求,考虑5%的电流纹波,经过式(1)计算得Less=0.6 mH,因此取L2=1 mH;同理,对于整流侧DC/DC变换器,整流电压的最大输入电压Vr=500 V,电流最大值Ir=10 A。考虑5%的电流纹波,取L1=5 mH,而输出电容Cdc用来减小输出电压的纹波,经计算,选择常见电容 Cdc=470 μF。
根据图2,ESS侧电感L2可以得出:
式中,Vdc为输出直流电压,Dess为ESS侧DC/DC变换器的占空比,Vess为储能系统端电压,Iess为ESS侧DC/DC变换器的电感电流,其传递函数如下:
设计了PI控制器并选择Kp、Ki的值以实现电流iess的300 Hz带宽。
输出电容Cdc的电压为

其传递函数可由下式表示:
同理,设计了相应的PI控制器并选择Kp、Ki的值以实现电压vdc的45 Hz带宽。由于该控制方式为电流控制法,在此情况下,电压控制器的带宽需小于电流控制器的带宽。
类似于方程式(3)和式(4),整流侧电流控制器的控制与其传递函数为
式中,Ir为整流侧DC/DC变换器的电感电流,Dr为整流侧DC/DC变换器的占空比。设计了PI控制器并选择Kp、Ki的值以实现电流ir的300 Hz带宽。
同理,蓄电池侧电流控制器的控制装置和其传递函数为
式中,Ibat为蓄电池侧双向DC/DC变换器的电感电流,Dbat为蓄电池侧双向DC/DC变换器的占空比。设计了PI控制器并选择Kp、Ki的值使电流ibat达到600 Hz带宽,该控制器具有较高的带宽以获得快速响应。
根据超级电容两端电压和平均功率的要求得到蓄电池的基准电流,使用低通滤波器可得到蓄电池的平均功率,给出低通滤波器的传递函数:
由于要得到超级电容基准电流的平均值,取较大的时间段(100 s),使得截止频率为0.01 Hz。这是一个非常重要的因素,因为平均基准电流仅允许0.01 Hz的频率波动。
因此,基于平均功率的蓄电池基准电流为
超级电容Csc两端电压为
通过计算Ivscref,蓄电池将用来限制超级电容两端的电压,其传递函数如下:
设计了比例控制器并选择了Kp值,实现控制电压vsc的0.01 Hz带宽。
将Vsc控制器和低通滤波器获得的蓄电池基准电流相加,得到蓄电池的总基准电流:
3 系统建模与仿真
根据图4所示的混合储能系统电路在Matlab/Simulink中建模。利用三相可编程电压源模拟发电机的输出电压,用电力系统工具箱搭建二极管整流桥及单桥臂 IGBT模型,利用式(4),式(8),式(10)和式(12)中获得的Kp和Ki的值设计PI控制器,并对各控制器进行建模。
采用一个简单的低通滤波器使蓄电池提供平均电流。电压控制器产生的超级电容基准电流通过低通滤波器来获得平均电流。图5在Matlab/Simulink中进行建模及仿真,并对控制超级电容和蓄电池的混合控制电路进行了修改,如图6所示。如图7~图10所示仿真结果,其负载功率为180W,直流母线电压纹波为4.75%,负载电流纹波为4.80%。

图7 直流母线电压Vdc

图8 输出负载电流Iload

图9 整流电压Vr

图10 整流电流Ir
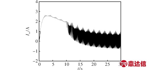
从图13中可以看出,当系统开始运行时,最初蓄电池不供电,因此超级电容用于满足功率要求。而后由于低通滤波器和超级电容端电压控制器的作用,蓄电池提供合适的电流来控制超级电容的电压,并且蓄电池开始提供平均功率。因此,先前在某平均电流附近振荡的超级电容电流开始下降,并开始在零附近振荡,如图11所示。由于采用混合控制,超级电容的电压由于交替地等量充放电循环而保持平衡,如图12所示。这意味着蓄电池成功地提供了平均功率,而超级电容提供了峰值功率。

图11 超级电容电流Isc

图12 超级电容电压Vsc

图13 蓄电池电流Ibat
4 结论
本文研究了混合储能技术在具有振荡输出功率的波浪能发电系统中的应用,为波浪能发电系统提供了较为稳定的直流输出。设计采用二极管整流桥和三对单桥臂IGBT电路实现了电路的低成本、高效率,采用超级电容和蓄电池实现了混合储能并利用PI控制设计了控制电路。通过Matlab/Simulink搭建模型和仿真,证明了带电阻性负载时输出功率平滑的可实现性,为下一步实现混合储能控制奠定了理论基础。



