摘 要:为了改善听小骨消声器的消声性能,并减轻质量,以消声器低频和宽频的平均传递损失作为优化目标,以消声器的结构参数(进出口管道宽度、封闭腔深度、封闭腔长度)作为优化变量,消声器的质量作为约束条件,对其结构参数进行优化. 建立了听小骨消声器的有限元模型,采用中心组合试验设计获得样本点,利用响应面法构造二次多项式响应面模型,并检验了响应面模型的拟合精度. 将响应面模型和NSGA-Ⅱ遗传算法相结合对消声器的结构参数进行了优化. 优化后消声器低频和宽频的消声性能得到改善,质量减轻,表明了响应面法和遗传算法相结合的消声器结构参数优化方法的有效性.
关键词:消声器;响应面法;遗传算法;试验设计
抗性消声器常用于排气管道和通风管道内噪声的抑制[1-2]. 通过管道截面的突然扩张(收缩)或旁接共振腔,使沿管道传播的某些频率的声波在突变处向声源方向反射回去,从而达到消声的目的. 抗性消声器主要用于抑制低中频噪声,对于常见的抗性消声器,例如扩张腔式消声器,要获得较好的低频消声性能,需要很大的扩张腔体积,这会导致消声器结构很不紧凑. 人的中耳如同一个紧凑且具有宽带阻抗的变换器,并且能够隔离外耳的空气运动和内耳的流体运动. 受中耳原理启发,Wang等[3]提出了一种新型抗性消声器模型——听小骨结构消声器模型,它的旁支腔中包含两块刚性薄板,用来模拟鼓膜和镫骨足板,两薄板之间由一根刚性杆相连,用来模拟听小骨,故取名为听小骨结构消声器(简称听小骨消声器). 他发现听小骨消声器具有较宽的阻带,能有效抑制低中频噪声,并且腔体的体积并不是影响其消声效果的关键因素,通过减小腔体的体积,可以使消声器的结构更加紧凑. Wang等[3]基于平面波理论分析了该模型的共振原理,建立了听小骨消声器的二维有限元模型,采用控制变量法对消声器的相关参数进行了研究. 但是,他主要研究的是阻带宽度与各设计参数之间的关系,并没有对消声器的传递损失进行研究和优化. 本文建立了听小骨消声器的三维有限元模型,为了提高消声器低频和宽频的消声性能,减轻消声器的质量,对消声器的结构参数进行了优化.
听小骨消声器结构参数的变化会改变消声器的消声性能和质量,为了改善消声效果,降低质量,本文采用了响应面法和NSGA-Ⅱ遗传算法相结合的思想对消声器的结构参数进行了优化. 首先利用中心组合试验设计方法,建立二次多项式的响应面模型,然后以消声器低频和宽频的平均传递损失作为优化目标,采用多目标遗传算法优化消声器的结构参数. 最后对优化前后的消声器模型进行对比,有效改善了消声器低频和宽频的消声性能,减轻了消声器的质量,验证了响应面法和遗传算法相结合的消声器结构参数优化方法的有效性.
1 听小骨消声器模型的建立
1.1 基于中耳原理的听小骨消声器模型
人的中耳主要由鼓膜和与之相连的听小骨组成,统称为听小骨链,听小骨又由3块小骨组成:锤骨、砧骨和镫骨[4]. 通过听小骨,可以将鼓膜处的振动传递到耳蜗. 听小骨位于中耳腔内,被骨壁包裹,由咽鼓管连接中耳和咽,以保持中耳内外的压力平衡,维持正常听力. Shera等[5]把中耳腔表述为有3个窗口的腔室:入口鼓膜窗(耳膜)、出口卵圆窗(连接着镫骨足板)和靠近卵圆窗的圆窗. 模拟电路模型[6]和有限元模型[7]都常被用于中耳原理的研究. 人的中耳实质上是一个宽频带声波接收器,可以看作是位于外耳和内耳之间的一个高效阻抗变换器,并且可以隔离外耳的空气运动和内耳的流体运动. 虽然中耳腔内的动态压力在一定程度上会抑制鼓膜的运动,但是鼓膜和耳蜗之间的振动主要是通过听小骨传递的.
受中耳原理的启发,本文建立了简化的听小骨消声器的几何模型,如图1所示. 整个消声器模型关于管道中心平面对称,在图中用点画线标出. 在消声器中有一封闭腔(O1-A-B-O2),封闭腔两侧为两块完全相同的刚性薄板(O1-A,O2-B),用来模拟鼓膜和镫骨足板. 薄板上端分别与腔壁铰接于O1和O2,以使两薄板可以绕O1和O2转动;有一刚性杆(O3-O4,忽略质量)与两薄板铰接于O3和O4(薄板形心),用来模拟听小骨结构. 在O3处有一线弹性弹簧,用来提供薄板振动的恢复力. 这个“板—杆”结构类似于一个“弹簧—单摆”,绕O1和O2旋转振动. 假设封闭腔内无流体泄漏,封闭腔内的流体介质可以不同于主管道内的流体介质.
1.2 有限元模型的建立
图1中的消声器模型主要包括两块刚性薄板(O1-A,O2-B)和一根连接两薄板的刚性杆(O3-O4). 两薄板分别模拟鼓膜和镫骨足板的振动,刚性杆模拟听小骨的整体运动. 当有声波从消声器主管道的左端进入时,一部分声波将会进入消声器上游的旁支管中,使左端薄板O1-A产生旋转振动. 由于声波在固体结构中的传递速度通常大于在流体中的传递速度,作用在左端薄板O1-A上的空气振动将会通过刚性杆瞬间传递到右端薄板O2-B上,从而通过下游的旁支管返回到主管道中,在这里,刚性杆模拟了听小骨结构在振动传递过程中的作用. 声波通过刚性杆从一块薄板瞬间传递到另一块薄板,使声波传递速度比在主管道中的传递速度快,这会形成相位差,从而达到消声的效果,其原理类似于HQ管[8].
在听小骨消声器模型中,声波在主管道、旁支管和封闭腔内的传播与“板—杆”结构的振动相互耦合. 在声学域内,波动方程为:

图1 听小骨消声器的几何模型图
Fig.1 The geometric model of the ossicular silencer
(1)
u=
![]()
(2)
式中:c0和ρ0分别为主管道和旁支管中的声速和流体密度;p和φ分别为声压和速度势;u为质点振速. 声波在封闭腔内的波动方程与式(1)和式(2)形式一致,只需用cc和ρc分别代替c0和ρ0即可.
在声波激励下,封闭腔中的“板—杆”结构会产生旋转振动,其耦合动力学方程可表示为:
(3)
(4)
式中:J为薄板的转动惯量;mp为每块薄板的质量;K为线弹性弹簧的弹性系数;γ为薄板发生转动的角位移,取逆时针方向为正. ΔpL和ΔpR分别表示两薄板左右两边的声压差,以右向为正.
采用LMS Virtual.Lab建立此听小骨消声器的有限元模型,如图2所示,消声器的传递损失(TL)可由式(5)计算,式中“in”和“out”分别代表消声器的进出口截面积.

(5)
消声器进出口管的截面为边长h的正方形,封闭腔的截面为h×hc的矩形. 在以下分析中,消声器进出口管长Lu=Ld= 78 mm,旁支管宽度La= 50 mm,消声器各壁面厚度为1 mm,密度为7 800 kg/m3,封闭腔两侧的薄板厚度为0.1 mm,密度为580 kg/m3. 管道中的流体介质为空气,声速c0= 340 m/s,密度ρ0= 1.225 kg/m3,封闭腔中的流体介质近似为氦气,声速cc=3c0,密度ρc=0.13ρ0.

图2 听小骨消声器的有限元模型
Fig.2 Finite element model of the ossicular silencer
2 听小骨消声器的优化设计
为了提升听小骨消声器的宽频(1~1 300 Hz)消声性能,并且更加注重低频部分(1~800 Hz)的改善,同时实现消声器结构的轻量化,本文以消声器进出口管道宽度h、封闭腔深度hc以及封闭腔长度Lc作为设计变量,取频率范围1~800 Hz和1~1 300 Hz内的平均传递损失TL1和TL2作为目标函数,消声器的质量m作为约束函数. 利用中心组合试验设计方法,建立关于设计变量和目标函数之间的响应面模型,并验证响应面模型的拟合精度,最后采用多目标遗传算法对消声器的结构参数进行优化和验证.
2.1 中心组合试验设计
为减少有限元模型的计算量,保证响应面模型的精度,本文采用中心组合试验设计方法,其试验次数k表示为:
k=mc+mr+m0
(6)
式中:mc=2n为设计因素取最大和最小水平的全因子试验点数;n为设计因子个数;mr=2n为分布在n个坐标轴上的试验点数;m0为中心点数. 图3给出了两因数(n = 2)和三因数(n = 3)的中心组合试验设计样本点的分布图. 表1为听小骨消声器进行中心组合试验的试验结果.

图3 n= 2 和n= 3的中心组合试验设计
Fig.3 Central composite designs for n=2 and n=3
表1 基于中心组合试验的试验结果
Tab.1 Experiment results based on CCD

2.2 响应面模型构造
响应面模型是一种回归模型,关于设计变量的二次多项式响应面模型可表示为[9]:
(7)
式中:xi为第i个设计变量;n为设计变量的个数.利用最小二乘法对样本点及样本点所对应的响应值进行拟合,确定二次多项式表达式中多项式的系数β0,βi,βii和βij.
针对听小骨消声器,取频率范围1~800 Hz和1~1 300 Hz内的平均传递损失TL1和TL2作为目标函数,见式(8),分析步长为1 Hz.

(8)
式中:f1= 800 Hz;f2= 1 300 Hz.各设计变量的初始值和变化范围见表2. 与设计变量直接相关的消声器质量m(g)可表示为:
m={[8×78h+4hhc+4×50h+
4×50(h+2hc)+6Lch+4Lchc]×
7 800+4×0.1×580hhc}/(106)=
hc(3.12+0.031 2Lc)+
h(7.987 2+0.031 432hc+0.046 8Lc)
(9)
表2 设计变量的初始值和变化范围
Tab.2 The initial values and the range of the design variables mm

对设计变量及响应值用最小二乘法拟合,得到TL1和TL2关于设计变量的二次多项式响应面模型,具体表达式如下:
TL1=-98.553 01+0.589 83hc+
1.359 43h+0.522 75Lc-0.019 811hch-
2.024 1×10-3hcLc+5.298 75×
(10)
TL2=80.353 26-0.219 41hc-
1.800 58h-0.060 91Lc-
4.77×10-3hch+9.326×10-4hcLc+
(11)
2.3 响应面模型的误差分析
响应面模型的拟合精度受样本点数、响应面多项式次数和原函数的光滑程度影响较大. 在得到响应面模型之后,一般会通过统计学中的方差分析来检验响应面模型的有效性,可以采用决定系数R2和调整决定系数
来验证响应面对响应量的拟合情况[10],R2和
定义如下:
(12)
(13)
式中
i分别为第i个样本点上的响应值和近似响应值;
为M个采样点的响应均值;N为响应面模型基函数的个数. 对于二次多项式响应面模型,基函数个数N与设计变量个数n的关系见式(14). 在对响应面模型的方差分析中,若R2和
的值越接近于1,则响应面模型的拟合精度越高.
N=(n+2)×(n+1)/(2×1)
(14)
对听小骨消声器的响应面模型做误差分析,将响应面模型的响应值和有限元模型的计算值代入式(12)和式(13),得到决定系数R2和调整决定系数
如表3所示. 由表3可知,TL1和TL2的响应面模型的决定系数和调整决定系数都大于0.9,响应面模型能够很好地拟合响应量,可用于后续的优化设计.
表3 响应面模型的决定系数和调整决定系数
Tab.3 The coefficient and the adjusted coefficient of determination of the response surface model

2.4 基于遗传算法的多目标优化
在建立了听小骨消声器响应面模型的基础上,为了求得目标函数的最优解,需要选择合适的优化算法对优化目标进行优化.遗传算法就是一种将适者生存规则与群体内部染色体的随机信息交换机制相结合的高效全局寻优算法[11]. 随着时间的推移,遗传算法也在不断地改进和进化. 由Deb等[12]提出的非支配排序遗传算法(NSGA-Ⅱ)是对NSGA算法的改进,是一种带有精英策略的非支配排序遗传算法,解决了NSGA算法参数选取较难和运行效率低等缺点.
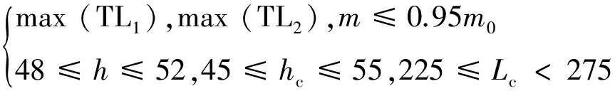
为了提升听小骨消声器的宽频(1~1 300 Hz)消声性能,并且更加注重低频部分(1~800 Hz)的改善,本文以1~800 Hz内的平均传递损失TL1和1~1 300 Hz内的平均传递损失TL2作为优化目标. 此优化问题属于多目标优化问题,以消声器优化后的质量不高于初始质量的95%作为约束条件,采用NSGA-Ⅱ遗传算法对目标函数寻优,优化设计的数学模型可表示为以下形式:
(15)
式中:m0为消声器的初始质量. 取遗传算法的交叉概率为0.6,变异概率为0.01.优化前后设计变量的值见表4,优化前后目标函数和约束函数的值见表5.
从表5中可知,TL1从13.397 0 dB升高到了15.286 2 dB,并且TL2从13.343 6 dB升高到了14.619 1 dB,同时消声器的质量由1 684.3 g降低到了1 593.2 g. 在满足约束条件的情况下,采用NSGA-Ⅱ遗传算法得到的优化结果提高了消声器的低频和宽频消声性能,并且减轻了消声器的质量.
表4 设计变量的初始值及优化值
Tab.4 The initial and optimal values of the design variables mm

表5 优化前后目标函数和约束函数的值
Tab.5 The initial and optimal values of the objective function and the constraint function

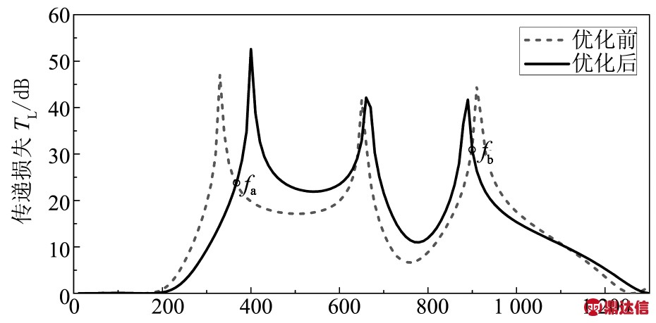
优化前后消声器的传递损失曲线如图4所示.fa和fb为优化前后两曲线的交点. 从图中可以看出,优化后传递损失曲线的第1个峰值和第2个峰值之间的部分以及第2个峰值和第3个峰之间的部分得到了提高;第1个峰值和第3个峰值向中间频率移动,而第2个峰值的位置几乎没有变化. 这使得优化后的消声性能在[fa,fb]区间得到提高,而当频率小于fa或者大于fb时,消声效果却有所下降. 综合起来,优化后的消声器在1~800 Hz和1~1 300 Hz的平均传递损失都得到了提高.具体值见表5.

频率f/Hz
图4 优化前后消声器的传递损失
Fig.4 The transmission loss of the silencer before and after optimization
为了验证响应面模型优化结果的准确性,将优化后的设计变量值代入有限元模型中,对比采用响应面模型和有限元模型计算的目标函数值,见表6. 从表6可以看出,用响应面模型得到的近似值误差仅为0.90%和1.28%,这表明通过响应面模型和遗传算法得到的优化值具有较高精度.
表6 目标函数值对比
Tab.6 Value comparison of the objective functions

3 结 论
1)本文采用中心组合试验设计获得样本点,构造二次多项式响应面模型,用最小二乘法确定二次多项式的系数. 根据统计学原理,利用响应面模型建立设计变量和目标函数的近似显式表达式,避免了多次调用有限元程序,易于与优化算法相结合,提高了优化效率.
2)以听小骨消声器1~800 Hz和1~1 300 Hz的平均传递损失作为优化目标,消声器的质量作为约束,采用响应面法和NSGA-Ⅱ遗传算法相结合的思想对目标函数进行了优化. 优化后的消声器在低频和宽频的消声性能都得到了提高,并且消声器的质量有所减轻,从而验证了响应面法和遗传算法相结合的消声器结构参数优化方法的有效性.



