摘要:利用COMSOL软件模拟直通穿孔消声器内声波传播过程,发现模拟结果与实验测试结果较为吻合。为此,本文借助其系统地研究扩张比、扩张腔长度、穿孔孔径和穿孔率等参数对实际发动机排气消声器声学性能的影响规律,结果表明:消声器传递损失随着扩张比增大而增大,但增大的幅度不断缩小;扩张腔长度仅对大于250 Hz频段内消声器传递损失的影响较为显著,且其值越大消声器高频消声效果越好;穿孔孔径对小于500 Hz频段内消声器传递损失的影响较小,但在其它频段内消声器传递损失随穿孔孔径增大呈现先减小后增大的趋势;随着穿孔率不断增大消声器传递损失在小于250 Hz频段内呈先增大后减小的趋势,而在其它频段内呈不断减小的趋势,且减小的幅度不断缩小。
关键词:排气消声器;声学性能;几何结构;传递损失
发动机排气噪声在汽车整车噪声中尤为突出,控制其最有效的方式是安装消声器[1-2]。现有消声器按消声原理可分为阻性、抗性和阻抗复合型三类,其中前者较少单独使用,常与抗性消声器结合使用,即为阻抗复合型消声器。抗性与阻抗复合型消声器声学性能与其几何结构密切相关。因而,近年来学者们在探讨消声器几何结构参数对其声学性能的影响方面开展了大量的研究工作:Srinivasan和Munjal[3]利用有限元软件研究了内插管位置和扩张比的影响;Selamet和Ji[4]利用边界元法探讨了扩张腔长度的影响;王键和陈凌珊[5]利用COMSOL软件分析了扩张比、内插管长度和扩张腔个数的影响;边杰等[6]采用GT-Power软件研究了消声器容积和穿孔率的影响;郭瑞和申焱华[7]利用SIDLAB软件探讨了扩张比、穿孔率和内插管长度的影响;Pratap等[8]利用ANSYS软件研究了穿孔管几何结构的影响;陈长征等[9]应用三维解析算法分析了穿孔率和穿孔孔径的影响;白云和李宁[10]利用GT-Power软件研究了扩张比的影响;最近,陈志林等[11]利用GT-Power软件研究了扩张腔形状和长度的影响。综上所述,影响消声器声学性能的几何结构参数众多。为此,本文针对文献[12]中实际汽车发动机排气消声器 (如图1所示),借助COMSOL软件系统地研究扩张比、扩张腔长度、穿孔孔径和穿孔率等参数对消声器声学性能的影响规律,以期为实际消声器几何结构的设计与优化提供理论基础和技术支持。

图1 实际汽车发动机排气消声器[12]
Fig.1 Automobile engine exhaust muffler[12]
1 数学模型
1.1 赫姆霍兹(Helmholtz)方程
声波在汽车发动机排气消声器内的传播过程满足赫姆霍兹方程:
式中: t为时间,s;ρ为流体密度,kg/m3;c 为声速,m/s;q 为声偶极子源,N/m3;Q 为声磁单极子源,l/s2;p 为声压,Pa。模型中假定q,Q均为0,只存在入射声压p,则(1)式可简化为
声压随时间通常做简谐震动,即 p=p(x,t)=p(x)eiωt,其中声波振动角频率 ω=2πf,rad/s, f为声波入射频率,Hz;利用变量分离法可将(2)式写成如下一般形式:
1.2 传递损失
传递损失是评价消声器声学性能的重要指标之一。由于消声器出入口面积通常不大,入射声波可视为平面波[13],则传递损失 TL(dB)由式(4)计算:
式中:ωout和ωin分别为出入口声波辐射量,具体表达式如下:

式中:pout和pin分别为出入口声压。
2 模型验证
为了验证上述模型的正确性,本文针对如图2所示的直通穿孔消声器[14],借助COMSOL软件求解上述模型,获得该消声器传递损失,并将模拟结果与其他研究者研究结果进行对比。该消声器几何结构参数均来自文献[14],具体如下:扩张腔直径D和长度L分别为110 mm和200 mm;直通穿孔管直径d为32 mm,但不考虑其厚度;穿孔孔径db为4 mm;穿孔率为4.7%,根据其定义 (穿孔面积之和与长度为L的穿孔管侧面积之比)可计算出穿孔个数为72,这些孔以顺排方式均匀地排布在长度为L的管壁上,每圈6个,共12圈,如图2所示。
模型计算的初始声压p为0,固体边界(腔壁和管壁等)均使用硬声场(壁)边界条件:

图2 直通穿孔消声器[14]
Fig.2 Geometry of the straight through perforated pipe silencer[14]
入口边界为入射与反射平面波的叠加:
式中:外部施加压力pin=1.0 Pa;空气密度ρ=1.29 kg/m3。出口边界为出射平面波:

模型求解的算法步骤如下:① 构建消声器物理模型,如图2所示,并设置各个物理区域物理化学属性;② 设置各个物理区域物理化学场控制方程,见式(3),并设置相应的边界条件,见式(6)至式(8);③ 对各个物理区域进行划分网格,各网格节点上的物理化学信息由有限元法离散控制方程计算而得;④迭代求解,并输送传递损失曲线,见式(5)。
图3给出了本文模拟结果与其他研究者研究结果的对比,从图中可以观察出:本文模拟结果较理论分析结果更加接近文献[15]中的实验测试结果,主要原因为理论分析是利用穿孔阻抗公式计算传递损失,该公式仅适用于几何结构较为简单的消声器,对于复杂结构的消声器其计算结果往往不够精确;另外,文献[14]中的模拟结果较本文模拟结果更加接近文献[15]中的实验测试结果,主要原因是前者考虑了流场对声场的影响。然而,对于如图2所示的消声器考虑流场对声场的影响所需计算成本还可以承受,但对于如图1所示的具有复杂结构的消声器所需计算成本往往难以承受[14]。

图3 实验测试、理论分析和数值模拟消声器传递损失的对比
Fig.3 Comparison of the transmission loss of exhaust muffler determined by the experiment,theoretical analysis and numerical simulation
3 结果与讨论
借助上述验证后的模型系统地分析如图1所示的实际汽车发动机排气消声器扩张比、扩张腔长度、穿孔孔径和穿孔率等参数对其声学性能的影响规律。消声器几何结构参数和相关计算条件如下:①忽略流场对声场的影响;②忽略支撑架对声场的影响;③入射、穿孔和出射管直径d均为60 mm;④ 扩张腔截面长半轴 a=150 mm, 短半轴 b=70 mm,L1=100 mm,L2=800 mm,L4=200 mm,L5=100 mm,L6=150 mm,L7=200 mm,L8=150 mm,如图4所示。根据上述参数可计算出该款消声器容积约为27 L(汽车正常行驶时发动机转速一般为3 000~5 000 r/min,若发动机为四缸四冲程,则可根据Thomas公式[16]计算出该款发动机所需消声器的理论容积 18.7~45 L)、消声器纵横比约为 3.9(该值通常位于 1.5~5 之间[17])、扩张比为 11.67(该值通常位于5~20之间[10])。另外,模型求解的初始和边界条件与上节一致。
3.1 扩张比对消声器声学性能的影响
固定L3=100 mm、穿孔直径db=2 mm和穿孔率σ=1.0%(根据其定义,可计算出每根穿孔管侧面上的穿孔个数为60个,这些孔以顺排方式均匀地排布在长度为L4的管壁上,每圈6个,共10圈),通过调整扩张腔横截面的长、短轴长度,且约定调整量相同,可获得具有不同扩张比的消声器。图5给出了扩张比分别为 7.22,11.67 和 18.47 时消声器传递损失曲线(图 5(a))以及 50~3000 Hz传递损失平均值随扩张比的变化曲线(图 5(b))。 从图 5(a)中可以观察出在小于250 Hz频段内,每条传递损失曲线均有一个吸声峰,且该峰随扩张比增大呈先增大后减小的趋势;而在大于250 Hz频段内,扩张比越大,消声器在绝大部分频段内的传递损失也越大;从图5(b)中可以观察出消声器平均传递损失随扩张比增大呈波动式增长趋势,且后期增长幅度不断缩小,这点从图5(b)中的拟合曲线可以观察得更为清楚,这主要是因为在本文中扩张比越大,消声器体积越大,声能在消声器内能得到更为充分地释放,故消声器消声效果更好。

图4 实际汽车发动机排气消声器简化模型
Fig.4 The simple model of automobile engine exhaust muffler

图5 扩张比对消声器声学性能的影响
Fig.5 Effect of expansion ratio on the acoustic performances of exhaust muffler
图6给出了扩张比对消声器内声压级分布的影响,从图中可以观察出在相同的频率下,随着扩张比的增大,消声器内声压级分布先变均匀,后变复杂;而在相同的扩张比下,随着频率的增大,消声器内声压级分布变得越来越复杂。结合图5和图6可知,在频率为1 000 Hz时,扩张比m为18.47的消声器传递损失最大,而扩张比m为7.22的消声器传递损失最小,如图5(a)所示,这表明入射频率均为1 000 Hz时,扩张比m为18.47的消声器出口声压最小,而扩张比m为7.22的消声器出口声压最高,该结论从图6可以得到验证;在频率分别为2 000 Hz和3 000 Hz时,均是扩张比m为11.67的消声器传递损失最大,而扩张比m为7.22的消声器传递损失最小,如图5(a)所示,这表明扩张比m为11.67的消声器出口声压最小,而扩张比m为7.22的消声器出口声压最高,该结论同样可以从图6得到验证。
3.2 扩张腔长度对消声器声学性能的影响
固定扩张比m=11.67,且保证穿孔管结构与上节一致,通过如下方式调整扩张腔长度L=L3+L4+L5:① 固定隔板II,调节隔板I的位置,即调节L3;② 固定隔板I,调节隔板II的位置,即调节L5;③ 同时调节隔板I和隔板II的位置,即同时调节L3和L5。通过对比研究发现:无论采用上述何种方式调节扩张腔长度,其对消声器声学性能的影响规律基本相似。为止,本文只给出方式①,其中隔板I的位置可贴近穿孔段,即L3=0 mm;也可贴近支撑架,即L3=200 mm。图7给出了扩张腔长度分别为300,400 mm和500 mm时消声器传递损失曲线(图 7(a))以及 50~3 000 Hz传递损失平均值随扩张腔长度的变化曲线(图 7(b))。
从图7(a)中可观察出:每条传递损失曲线在0~250 Hz段均有一个明显吸声峰,且扩张腔长度对该峰的影响不大;当声波频率在吸声峰附近时,消声器消声效果最佳,远离吸声峰时,消声器消声效果迅速下降。出现上述现象的原因是吸声峰为声质量与弹性量均衡时达到共振所产生的共振峰,其频率为[18]
式中:G为声波传导率,m;V为消声器体积,m3。另外,从图7(a)中还可观察出扩张腔长度越大,消声器的高频消声效果相对较好,这主要原因是消声器左侧扩张腔长度越小,高频噪声声波较短,易在结构不连续的界面上发生反射、干涉和衍射现象。此外,扩张腔长度对消声器传递损失平均值影响不大,最大仅相差1.3 dB,见图 7(b)。

图6 扩张比对消声器内声压级分布的影响
Fig.6 Effect of expansion ratio on the acoustics pressure contours in the exhaust muffler

图7 扩张腔长度对消声器声学性能的影响
Fig.7 Effect of expansion chamber length on the acoustic performances of exhaust muffler
3.3 穿孔管结构对消声器声学性能的影响
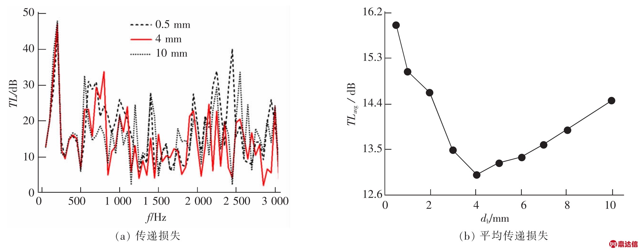
固定各孔在穿孔管管壁上的排列方式(顺排)、扩张比(m=11.67)和隔板I的位置(L3=100 mm),分别探讨穿孔孔径和穿孔率对消声器传递损失的影响规律。图8给出了穿孔率σ为1.0%时,穿孔孔径分别为0.5,4 mm和10 mm时消声器传递损失曲线(图8(a))以及50~3 000 Hz传递损失平均值随穿孔孔径的变化曲线(图8(b))。从图8(a)中可以观察出:当频率小于500 Hz时,传递损失均有两个峰,且穿孔孔径对传递损失的影响相对较小;当频率大于500 Hz时,在绝大部分频段内穿孔孔径为4 mm时消声器传递损失较小,而穿孔孔径为0.5 mm和10 mm时消声器传递损失相对较大。另外,消声器平均传递损失随穿孔孔径不断增大呈现先减小后增大的趋势,如图8(b)所示。导致上述现象的主要原因是:当穿孔孔径较小时,消声器声波衍射能力较强,声波反射和干涉能力却相对较弱;而随着穿孔孔径不断增大消声器声波衍射能力衰减较快,声波反射和干涉能力增长较慢。

图8 穿孔直径对消声器声学性能的影响
Fig.8 Effect of perforation diameter on the acoustic performances of exhaust muffler
图9给出了穿孔孔径为2 mm时穿孔率分别为0%,1.5%和3.5%时消声器传递损失曲线(图9(a))以及50~3 000 Hz传递损失平均值随穿孔率的变化曲线(图9(b))。从图9(a)中可看出穿孔管是否开孔对消声器传递损失的影响较为显著:当穿孔管不开孔时,除小于250 Hz频段内消声器传递损失较小外,其它频段的传递损失都较高,这主要是因为穿孔管开孔时加剧了界面不连续性,增大了声阻抗,有利于消除低频噪声,但开孔缩短了声波在消声器内停留的时间,导致消声器高频消声效果较差;此外,当穿孔管开孔时,在绝大部分频段内,消声器传递损失随穿孔率增大而减小,但减小的幅度不断缩小,且最终趋于恒定,该结论从图9(b)中的传递损失平均值随穿孔率的变化曲线中观察的更为清楚,其主要原因是当穿孔率增大到一定程度时,声波在消声器内的传播方式将不再受限于穿孔率,而取决于消声器的其它几何结构参数。

图9 穿孔率对消声器声学性能的影响
Fig.9 Effect of perforation rate on the acoustic performances of exhaust muffler
结合图8和图9可知:消声器传递损失与穿孔管几何结构密切相关,减小穿孔孔径或降低穿孔率均有利于改善消声器声学特性。然而,在设计消声器时除了要考虑其声学性能之外,还必须兼顾其流动特性,若穿孔率较低或者穿孔孔径较小,消声器内流体流动阻力将明显增大,进而提高发动机背压,降低发动机输出功率[19]。
4 结论
借助COMSOL软件研究直通穿孔消声器声波传播过程,发现其模拟结果与实验测试结果较为吻合。为此,本文借助其系统地探讨实际汽车排气消声器扩张比、扩张腔长度、穿孔孔径和穿孔率等参数对其声学性能的影响规律,得出如下主要结论:
1)增大扩张比有利于提高消声器的传递损失,但随着扩张比的不断增大消声器传递损失增长幅度不断缩小。
2)扩张腔长度对小于250 Hz频段内消声器传递损失影响较小,但对其它频段内消声器传递损失的影响较为显著;此外,扩张腔越长消声器高频消声效果越好。
3)穿孔孔径对小于500 Hz频段内消声器传递损失基本无影响,但在其它频段内消声器传递损失随穿孔孔径增大呈现先减小后增大的趋势。
4)消声器传递损失在小于250 Hz频段内,随穿孔率增大呈先增大后减小的趋势;在大于250 Hz频段内,随穿孔率增大呈不断减小的趋势,但减小的幅度不断降低。



