摘要:活塞式压力计作为检测压力参数的主要标准器,其自身的准确度会受到使用的环境或频繁程度等影响,为了尽量减小这种影响,我们需要对活塞式压力计进行常规的针对性检查校对。其中,重力加速度是不可忽视的一个因素。本文主要探索了重力加速度对活塞式压力计准确性的影响,通过实验证明重力加速度是影响活塞式压力计的准确性的重要因素。希望本文可以抛砖引玉,给同行提供经验和帮助。
关键词:重力加速度;活塞式压力计;准确性
0 引言
活塞式压力计,相对于其他压力类标准器来说,具有更高准确度以及稳定性,当前国际上常常被用来作为标准或基准装置。活塞式压力计广泛应用于企业的实验室以及计量检测机构中,可以对各种类型的压力表、精密压力表、压力变送器、数字压力计等进行计量校准,其适用范围非常广泛,因此活塞式压力计本身的准确性成为一个非常重要的问题。
1 活塞压力计准确性初探
在当前的活塞压力计的检测条件下,我们可以确定的误差来源有以下两个主要的要点:首先是活塞自身的主要有效面积A,另一个就是砝码本身的质量m。受到每个地方的自身重力加速度参数不同的影响,活塞式压力计本身的测量误差影响也不小。因此,下面我们将对两个不同地点的活塞式压力计的重力加速度参数进行比对并进行修正。
在进行活塞的有效面积检定的时候,被检定的活塞式压力计在进行有效面积参数的计算的时候,重力加速度本身可以在等式的两边进行消除,所以针对有效面积鉴定的时候,重力加速度本身并不会对面积造成影响。
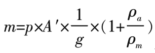
但是在活塞专用砝码的测定当中,我们就需要根据已经测定好的活塞面积来计算对应的砝码质量。这时的计算公式就为:

在这个式子当中,m代表的就是专用砝码的质量,单位是kg,p代表的就是被测量的压力数值,单位是Pa,A’代表的就是被检测活塞的本身有效面积构建,单位是m2,ρa代表的就是周围空气的密度构建,单位是kg/m3;ρm则代表着专用砝码以及对应的活塞和连接杆的材料自身的密度,单位是kg/m3,最后则是本文比较的重点,重力加速度g,单位是m/s2。从上述的公式我们可以看出,重力加速度是其中最为关键的计算参数,如果重力加速度准确性降低,那么砝码质量校准就会受到较大影响。
从JJG59-2007《活塞式压力计》检定规程当中我们可以看到,某地平均的重力加速度数值约为9.8015 m/s2,但是通过实际的工作地点的经度纬度还有对应的海拔高度进行测算,经过重力加速度的计算公式进行计算导入之后,得到的重力加速度和上文给出的加速度数值差距很大,因此我们需要进行下一步的误差计算。
2 重力加速度误差分析
因为这个地区本身的重力加速度数值测量结果不准确,所以对当前的活塞式压力计的准确性会造成较大影响,我们对于该地区的压力检定室的地理位置以及对应的海拔高度、针对性的纬度进行实际测量的数据进行对应分析,计算出当前的重力加速度数值,并且探索出在同一个地区内部的重力加速度测定不准确,对当前的数值自身的误差所造成的影响。
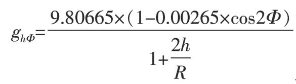
在进行测量的检定室自身的纬度数值为43.989°,海拔高度是730m。因此我们可以把这两个数字带入到重力加速度的计算公式当中,得到下面的算式:

在这个算式当中,R代表的是地球半径,数值为6371×103m,h代表的是测量地点构建下的海拔高度数值,φ代表的则是测量地点本身的精确维度。把上述数值带入到公式当中,得出的计算结果是g=9.8035 m/s2,和JJG59-2007《活塞式压力计检定规程》当中给定的本地区的数据9.8015m/s2进行比较之后发现,重力加速度的误差已经达到了0.2‰的程度,这种误差是仅允许最低级别的0.05级活塞砝码才可以达到的,对于更高一级的0.02级别或者是0.005级别的活塞砝码来说这个误差太大,所以JJG59-2007《活塞式压力计》当中给定的加速度只是一个平均测量值,如果直接引用这个数值,对活塞式压力计的准确性影响非常大。
重力加速度本身和当前的海拔高度以及对应的纬度有着直接的关系。通过上文计算我们可以知道,在我们国家的领土范围之内,纬度数值仅仅相差了1°的两个地方,其主要的重力加速度g数值就相差了0.0008m/s2左右,并且根据实际位置进行上下浮动。即使是在当前的同一个纬度地区,海拔高度每增加30m,对应的重力加速度g值就会减小大约0.0001m/s2左右。而与之对应的则是,重力加速度g值每变化0.0001m/s2,对活塞本身的质量误差影响和干预的幅度就为0.001%。对于高精度质量砝码来说,这种变化幅度是十分剧烈的。因此为了满足当前的实际测量需求的情况构建,我们建议根据需要在活塞式压力计使用地点进行重力加速度数值测量,并利用测得的数值重新对活塞砝码的质量进行校准,避免因重力加速度的不准确,而对检测数据的准确性造成影响。同时,重力加速度在一个固定的地点进行测量的时候,变化量是非常微小的,相对来说非常固定,尽管检测重力加速度相对耗时耗力,但是只要在使用活塞压力计的地点进行一次测量后,就可以满足以后的长久使用需要。
3 结论
对于我们的日常生活以及工业生产环境来说,压力都是一个非常重要的检测数据和参数,获取准确的压力数据对于日常生产生活来说其重要意义不言而喻。我们在使用活塞式压力的时候,尽量不采用给出的平均重力加速度数据进行检测,而是根据具体的地点,对经纬度和海拔高度进行重力加速度的测量,并且把相关测得数据应用到活塞式压力计的计量校准工作当中。这样就可以最大限度提高检测数据的准确度,提升实验室的计量校准能力水平。



