摘 要:双活塞式压力计基于不同结构可分为双活塞式压力真空计和双量程活塞式压力计两种。针对后者的结构特点,分析两套活塞系统共用一套砝码的问题,根据活塞的参数以及专用砝码质量计算出标称值下的实际压力值。本研究根据不同压力量程段来划分活塞式压力计的准确度等级,实现活塞式压力计的溯源性校准,以保证压力量传中的准确性和一致性。
关键词:双量程;实际压力值;准确度等级
0 引言
活塞式压力计是根据压力的定义而制造的压力计量器具。活塞式压力计以其较高的准确度、较好的周期稳定性,成为压力真空计量领域使用最广泛的标准器。活塞式压力计由活塞系统、专用砝码以及校验器组成。其中活塞系统包括活塞-活塞筒组成的测压系统;专用砝码是与活塞配套使用的砝码,有标称质量和标称压力两种;校验器包括压力泵、阀和连接管组成,以及活塞平衡指示装置、温度测量装置等。
1 双量程活塞问题分析
双量程范围的液体
气体活塞式压力计(如0.1~3.5 MPa
2~70 MPa,1~7 MPa
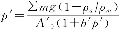
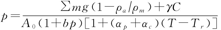
7~260 MPa)可以覆盖多台活塞式压力计的量程范围。双活塞式压力计的结构如图1所示,图1(a)为两套独立的活塞结构,两套活塞-活塞筒共同构成了活塞系统。图1(b)为双活塞式压力计的低量程段活塞,当所测系统压力较小时,其活塞的下端面位于П1,当压力继续增加会引起高量程活塞的动作,低量程的活塞杆是中空的,是高量程活塞的活塞筒,其内部嵌套高量程的活塞杆,此时活塞的下端面为П2,如图1(c)所示。两套活塞的有效面积和压力形变系数不同,共用一套砝码无法满足整个压力量程范围的准确度等级,需要不同的量程对应不同的准确度等级,以保证压力量传的准确性[1]。文献[2]中提到了双活塞式压力计配备一套专用砝码存在的问题,即使两套活塞的有效面积周期变化率都符合要求,仍会出现两套活塞的专用砝码质量的允差范围没有交集或交集很小[2]的情况。因此,要分析产生问题的原因,并提出一套较为简单的解决方案。由压力定义,在平衡条件下压力值表达式为
(1)
式中:m为活塞及其连接件、专用砝码的真空质量;g

图1 双活塞式压力计的结构
为当地的重力加速度;ρa为大气密度;ρm为砝码密度;γ为表面张力系数;C为活塞周长;A0为零表压下的活塞有效面积;b为活塞压力形变系数;p为工作压力;αp,αc为活塞-活塞筒的热膨胀系数;T为活塞温度;Tr为参考温度。
式(1)中,分子的第二项为表面张力修正项,与第一项相比可忽略。对于测量范围为0.1~3.5 MPa
2~70 MPa的活塞式压力计,当活塞在参考温度Tr的环境中使用,对于低量程
(2)
对于高量程
(3)
两套活塞共用同一套专用砝码,在式(2),(3)中分子是相等的,A0≅
若满足p≅1
20p′,则需要b≅20b′,此时活塞式压力计的低、高量程均满足准确度等级的要求。而实际情况中压力形变系数b常常不等于20b′,会出现理论和实际的偏差,需要具体分析。
2 各量程段准确度等级的确定
分析一台测量范围为0.1~3.5 MPa
2~70 MPa双量程活塞式压力计的各个量程段的准确度等级。根据平衡条件下的参数(活塞形变系数、专用砝码质量、表面张力等)计算各个标称值下的实际压力值,从而得到其等级。低量程活塞压力形变系数的理论计算可以根据JJG 59-2007《活塞式压力计检定规程》[3]。
(4)
由活塞有效面积的定义可知高量程实验测量为
Ap=A0(1+λp)
(5)
式中:Ap为名义压力p下的活塞有效面积,λ为压力形变系数。理论上讲,测得了各压力点的活塞有效面积Ap,可通过线性拟合(或二次方拟合)得到形变系数λ(或λ1,λ2)。经理论计算,该活塞式压力计低量程的活塞-活塞筒使用相同材料,均为不锈钢材质。R1
R2=2.85;μ=0.287;E=2.06×105,带入式(4)计算低量程的活塞压力形变系数为λ= 3.46×10-6MPa-1;实验测量的高量程活塞压力形变系数为λ′= 3.60×10-6MPa-1。[4]
在活塞式压力计专用砝码的测量过程中,应按照JJG 99-2006《砝码检定规程》进行检定。其次,应区分采用的砝码折算质量和真空质量,防止混淆。[5-8]
表1 活塞式压力计配套的专用砝码质量

表2 活塞的参数[9]

表3 各量程准确度等级的确定

注:以读数误差表示最大允许误差。
表1为活塞及连接件、专用砝码的质量。表2为活塞的参数,包括零压下的活塞有效面积,活塞压力形变系数以及活塞液体表面张力修正项。将各个参数带入式(1)中计算得到各标称点的实际压力值,进而判断出各量程段的准确度等级。当使用地点的环境温度为20.0 ℃,且当地的重力加速度为9.8015 m
s2时,使用上述的砝码允差在允许范围以内,该活塞式压力计溯源性校准的结果如表3所示。
根据以上分析,对测量范围为1~7 MPa
7~260 MPa的双量程活塞式压力计准确度等级进行划分,其结果如表4所示。分析显示,对于上限为260 MPa的双量程活塞式压力计,仅有测量范围为1~40 MPa的量程段满足0.01级,而180~260 MPa量程段的准确度等级仅为0.05级,在使用过程中需分析各个量程段的准确度等级。双量程段活塞式压力计活塞专用砝码无调整腔时,建议给出校准证书,方便客户使用。
表4 测量范围为1~260 MPa的活塞式压力计准确度等级的划分

注:以读数误差表示最大允许误差。
3 结论
分析认为,通过上述方法基本可以解决双量程活塞式压力计配备同一套专用砝码所产生的问题。文章通过分享在使用双量程活塞式压力计时总结出的一些经验,对广大压力计量工作者来说具有一定的借鉴意义。



