摘 要 针对活塞式压力计,提出一种新的有效面积校准方法。首先介绍了该方法的测量模型,随后针对测量实例进行详细的不确定度分析,其结果与传统的起始平衡法相差可忽略不计,验证了该方法的理论可行性。最后,研究了差压计的计量特性与不确定度的关系,为差压计的选型提供借鉴依据。
关键词 活塞式压力计;有效面积;不确定度;差压
0 引言
活塞式压力计是一种基于压力单位定义的原理来复现压力量值的仪器,工作时由砝码产生的重力作用在活塞有效面积上,与压力产生的作用力相平衡。基于此原理,活塞式压力计具有很高的准确度和稳定性,大量用于压力计量标准的主标准器,需要按期溯源。而对于活塞式压力计的检定[1-2]或校准过程来说,核心环节是活塞有效面积的量传。将标准活塞和被检活塞通过管路连接起来,在两个活塞上添加一定质量的砝码使两者保持相对平衡,从而根据砝码质量和标准活塞的面积计算出被检活塞的面积。这一过程十分耗时,因为添加的砝码质量未知,需要不断试放砝码并观察活塞的平衡趋势,最后标准和被检活塞平衡时砝码的质量要精确到几十毫克,和活塞的鉴别域相仿。
本文提出一种新的活塞有效面积校准方法,来提升活塞有效面积的检测速度。活塞不平衡的原因是因为两个活塞产生的压力存在差压。由于标准活塞产生的压力为已知,若能够在两个活塞之间安装差压计,用差压计精确测得标准活塞和被检活塞同时在工作位置时的差压值,便可以计算得到被检活塞产生的压力,从而直接计算得出活塞的有效面积,省去配平活塞所需的大量时间。本文将通过B类不确定度分析,将该方法与传统通用的起始方法进行分析和比较,作为该方法的理论可行性研究,为今后的实验研究奠定理论依据。同时研究差压计的计量特性对测量不确定度的影响。
1 活塞有效面积测量的测量模型
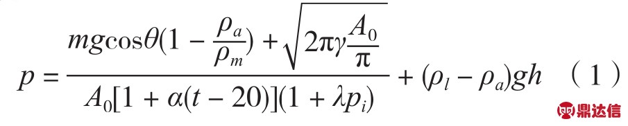
对活塞面积的检定校准通常都在表压下进行,当活塞处于工作位置时,活塞所产生的压力计算公式[3]为

式中:A0 —— 在20 ℃参考温度和当地大气压下活塞系统的有效面积,m2;
λ —— 压力形变系数,MPa-1;
t —— 活塞温度,℃;
m —— 活塞、承重盘和连接件、专用砝码质量,kg;
α —— 活塞组件的热膨胀系数,℃-1;
ρa —— 空气密度,kg/m3;
ρm —— 砝码、活塞、连接件和承重盘平均密度,kg/m3;
ρl —— 工作介质密度,kg/m3;
g —— 重力加速度,m/s2;
θ —— 活塞法线与竖直方向的夹角,°;
γ —— 活塞表面张力系数,N/m;
h —— 活塞参考平面和测量平面的差,m;
pi —— 活塞名义压力值,Pa
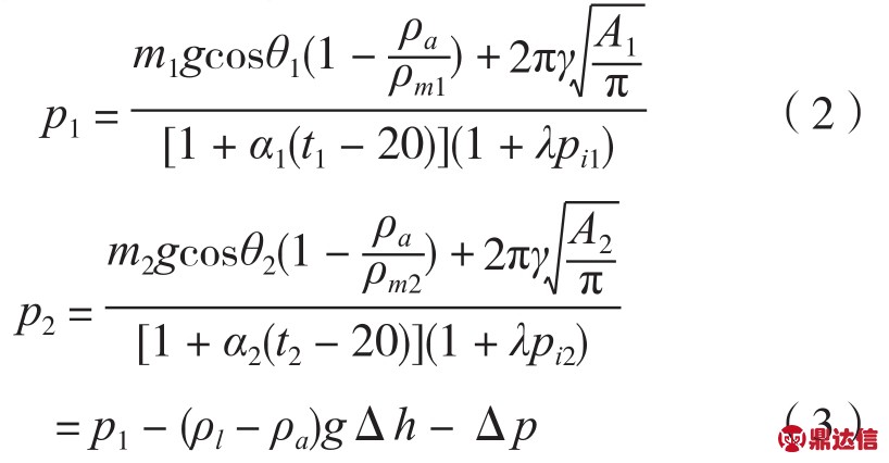
由于标准活塞的面积已知,便可以根据式(1)计算得到标准活塞侧产生的压力p1。当标准活塞和被检活塞都处于工作位置时,可由差压计测得标准活塞和被检活塞的压差值Δp,进而计算得到被检活塞产生的压力p2。即:

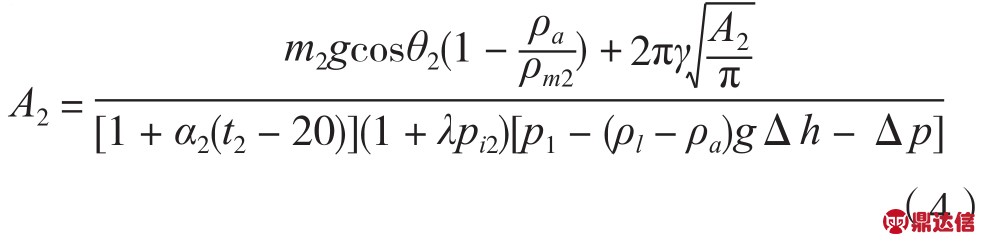
其中,Δh为标准活塞和被检活塞参考平面的高度差。式(3)经过变换后,便可以得到被检活塞有效面积A2的计算公式:

而对于规程中常用的活塞检定方法 — 起始平衡法的被检活塞有效面积计算公式可表示为
其中A1,m1,m2分别为标准活塞的面积以及标准活塞和被检活塞上的砝码质量。
2 有效面积不确定度分析实例
本文选取的实例为0.005级和0.02级测量范围为0.1~6 MPa的液体活塞式压力计,两者分别作为标准器和被检。两者采用同种材料的活塞,因此可认为材料各种特性相同。被检和标准活塞上的砝码为同一编号专用砝码,最大允许误差为±0.001%。选用的差压计准确度等级为0.1级,测量范围为0~10 kPa。活塞高度差为0.02 m,两个活塞都在工作位置时差压计测得值为7.1 kPa。详细参数如表1所示。
将表1中已知的数值代入式(2)(3)(4)中即可以求得标准活塞、被检活塞的压力值,进而求得被检活塞的有效面积为0.493 006 cm2。
活塞式压力计有效面积测量过程不确定度有很多分量[4-7],为了能够和起始平衡法在同等的条件下比较不确定度,同时为了简化不确定度评定过程,本例中的空气、砝码和工作介质密度,活塞温度、以及物理和物性参数都按常数来处理,实际上它们产生的不确定度分量相比于差压值、活塞高度差测量、标准活塞压力值的不确定度来说很小。另外认为该模型中不同的不确定度分量相互独立,互不影响。将式(4)经过变化得到式(6):
其中![]()
表1 活塞式压力计详细参数

对于差压计测得的压力Δp以及被检活塞砝码质量m2,可按照其准确度等级计算其压力值的最大允许误差,由此得到区间半宽度,按照均匀分布计算其引入的不确定度。对于Δh可直接按照高度差测量的最大误差得到半宽度,并按照均匀分布计算不确定度。对于标准活塞产生的压力p1引入的不确定度可根据式(2)对标准活塞面积A1和标准活塞砝码m1分别求解与合成。其中根据规程可得0.005级标准活塞有效面积A1的最大允许误差为±0.003%。详细的不确定度计算如表2所示。
由此可得到合成标准不确定度:
相对合成扩展不确定度:

表2 标准不确定度一览表

而对于起始平衡法的测量不确定度,由于求解A2表达式为乘积形式,故可以直接计算相对合成扩展不确定度:
标准活塞有效面积以及砝码的最大允许误差分别为0.003%和0.001%,按照均匀分布求解后代入便可得:
对于起始平衡法,根据式(9)可以得出只要标准活塞的准确度等级以及砝码的准确度等级保持一定,在任何测量工况下其相对不确定度始终为一个定值。
由本例的结果可以看出,使用差压计测量差压直接计算活塞有效面积的B类不确定度相比于规程中起始平衡法变化很小,因此,该方法具有一定的理论可行性。
3 差压计计量特性对不确定度的影响
通过上一节的案例可以得出,在某些工况下差压计引入的不确定度可以忽略。然而实际状况下,不同的测量条件下对差压计的计量特性要求也不同,因此有必要进一步深入研究差压计计量特性对测量过程不确定度的影响。
通过第二节的不确定度分析实例可以看出,差压引入的不确定度主要由差压计的测量误差引起。因此对于同一台差压计,其测量差压引入的标准不确定度只和差压计的最大允许误差有关,和差压的大小无关。但是对于差压测量引入的相对不确定度却和校准点活塞式压力计的压力有很大关系。在相同砝码质量越小,活塞有效面积越大,产生的压力越小,差压计的测量误差对于总的不确定度影响越大。

图1 不确定度和差压计最大允许误差的关系
图1选取了常压活塞几个代表性的校准点的测量不确定度和差压计最大允许误差以及活塞压力计校准点工作压力的关系。从图中可以看出,当校准点活塞测量压力比较低时,差压计的误差对不确定度影响比较大,而且随着差压计最大允许误差的增大而急剧增大。随着测量压力的增大,差压计的误差对高压的测量点不确定度影响比较小,与起始平衡法相比差距可忽略不计。同时差压值的大小对不确定度的影响也十分有限,在0.3 MPa的校准点,5 kPa和10 kPa差压计测得值的不确定度曲线几乎是一致的。因此在对0.04~0.6 MPa活塞式压力计使用此方法进行校准时,应该选用最大允许误差尽可能在±10 Pa以下的差压计。
4 结语
通过对一种新型活塞式压力计有效面积校准方法进行测量模型的介绍,不确定度的实例分析,理论上验证了该方法的可行性。结合测量工况,对差压计进行合理选型后,活塞有效面积的测量不确定度相比于传统的起始平衡法变化很小,最重要的是省去了配平活塞这一繁琐耗时的过程。而且目前市面上的一些差压计的性能已经可以做到耐压近百兆帕而测量误差在几十帕及以下,其重复性和稳定性也满足要求。后期将根据这一方法原理,在现有活塞式压力计校准装置上加装差压计,通过大量检测数据,对比新老方法的被检样品活塞有效面积,并进行新方法A类和B类不确定度的合成,完善不确定度的评定过程。



