摘要:超高压差压锰铜压力计辅助平衡比对装置是由2台锰铜压力计和2只液控切断阀组成的超高压集成块,结合惠斯登电桥原理,消除了锰铜测压芯体的温度漂移影响,利用电势差表征了2台超高压压力计所复现的量值之差,达到了高压压力下的差压测量功能。
关键词:差压;超高压;锰铜压力计;比对
0 引言
超高压活塞式压力计主要有两种类型,即自由形变式和可控间隙式。自由形变式的压力计可以向常压国家基准进行有效面积的溯源,其形变系数主要是通过弹性理论计算(拉美公式)获得,计算结果的准确度还有待于用其他原理的活塞进行比对验证。目前超高压可控间隙的压力计比对装置和比对方法的研究仍处于初始阶段。超高压可控间隙活塞式压力计能溯源至长度、质量基本量,然后通过参数测定来复现超高压力量值。超高压国家基准只有与其他活塞式压力计比对,才能对其量值复现状况进行评估和保存,通过这种比对还可以实现同常压国家基准所复现的量值之间的统一,可以实现与国际上最高等级超高压活塞式压力计之间进行比对研究。
1 辅助平衡比对装置
该文介绍了一种超高压差压锰铜压力计辅助平衡比对装置,装置利用2台锰铜压力计辅助平衡,间接比对测量超高压压力计之间的微小压力差,进而通过间接比较的方法实现超高压力之间的比对测量。该装置结构如图1所示。

图1 超高压差压锰铜压力计辅助平衡比对装置
超高压差压锰铜压力计辅助平衡比对装置是由2台锰铜压力计和2只液控切断阀组成的超高压集成块,其连接管道分别连接标准活塞压力计A和被测活塞压力计B,2只锰铜压力计在零压力下的电阻值分别为RA0和RB0。将RA0、RB0分别与R1、R2配对,连接成图2所示的惠斯登电桥。

图2 辅助平衡比对装置电桥原理图
利用超高压差压锰铜压力计辅助平衡比对装置进行超高压活塞式压力计的比较测量过程如下:
①关闭液控切断阀B,打开液控切断阀A;
②分别将标准活塞式压力计A和被测活塞式压力计B加压至名义压力P,锰铜电阻在受到压力作用后,其阻值随所受压力的增加而增大,此时锰铜压力计A和锰铜压力计B的电阻值分别为RA和RB,都对应于标准活塞式压力计A的名义压力P,即测量压力PA,调平电桥使输出电压值为0;
③关闭液控切断阀A,打开液控切断阀B;
④标准活塞式压力计A仍维持原来的压力PA,被测活塞式压力计B维持原来的名义压力P,即测量压力PB,此时锰铜压力计A电阻值仍为RA,仍对应测量压力PA,锰铜压力计B的电阻值为RB′,对应测量压力PB,此时电桥产生的不平衡输出电压值即为标准活塞式压力计A与被测活塞式压力计B的压力差值。
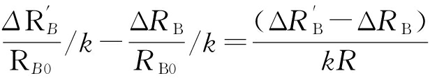
如图2所示,RA、RB为锰铜压力计的测压芯体,其电阻性能已进行配对。R1、R2为桥臂电阻,采用和测压芯体相同的锰铜丝绕制,电阻相同,安装在锰铜压力计壳体内(处于同一温场)。W1为调零电位器,激励电源通过精密电压基准转换为10 V±5 ppm给电桥供电。采用纳伏表测量桥路不平衡时的电压输出值。使用前,对每个锰铜测压芯体进行标定,分别获得压阻曲线。实际使用时就可以根据事先标定的数据曲线,通过计算将纳伏信号直接转换成压差读数。
(1)
在制作锰铜压力计的测压芯体时,将两个测压芯体RA、RB和桥臂电阻R1、R2进行了配对,使零压力下测压芯体RA的阻值RA0、RB的阻值RB0、以及桥臂电阻R1、R2都相等,形成等臂电桥,即RA0= RB0= R1= R2= R。在不同的测量压力下,实际测量时RA= RA0+ΔRA,RB= RB0+ΔRB。在活塞压力计比对的情况下,R远远大于ΔRA、ΔRB,可以简化公式为:
Vout≅![]()
(2)
对于某一测量压力点,在上述测量过程中,处于状态②和④时,根据式(2),其桥路输出的电压值分别为
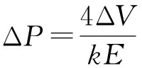
。锰铜测压芯体的压阻系数为k,则标准活塞式压力计A与被测活塞式压力计B在名义压力P下的压差为:
ΔP=PB-PA=
(3)
(4)
≅![]()
(5)
当腔体内压力变化引起温度变化时ΔRA =ΔRA +ΔRAt、ΔRB =ΔRB +ΔRBt。由于测压芯体被安装在同一腔体内,温场基本相同,电阻值也十分接近,故ΔRAt =ΔRBt,根据式(2),由温度变化引起的输出值变化正好被抵消,消除了温度漂移影响。
k=2.4×10-5 Ω/Ω/MPa,I为桥路电流,通常不超过10 mA。在相同的压差情况下获得更大的输出电压信号ΔV,需要调整等臂桥路电阻R和桥路电流I,为了桥路不产生大的热量,需尽量降低桥路的电流,在此前提下,需要选择更大的测压芯体初始电阻值R。选用1 kΩ的测压芯体,桥臂电阻也选用1 kΩ锰铜线绕电阻,桥臂电流控制到5 mA,精密电压基准E=10 V。当差压为0.05 MPa时,输出电压大约为3 μV,一般6位半的数表100 mV档的测量准确度约为5 μV,采用8位半的数字多用表进行测量,该数表在200 mV档的测量准确度高,对于微小电压信号测量准确度可达到0.2 μV。
2 辅助平衡比对装置测量的结果
通过超高压差压锰铜压力计辅助平衡比对装置连接2台可控间隙活塞式压力计,2台压力计的测量范围分别为30~1500 MPa和20~1000 MPa,按照上述测量过程在5个名义测量压力点进行比对测量,分别为200 MPa、400 MPa、600 MPa、800 MPa和1000 MPa,其测量结果如表1所示。
表1 超高压活塞式压力计利用超高压差压锰铜压力计
辅助平衡比对装置进行比较测量结果

3 结论
在低压力下,两个压力之间采用间接比较法进行压力测量时,通常在两个压力之间连接一个高灵敏度、稳定性好的差压压力计,通过差压压力计来测量两个压力之间差值。高于100 MPa压力情况下,基本没有合适的差压压力计来间接比较测量压力,该文通过超高压差压锰铜压力计辅助平衡比对装置连接2台可控间隙活塞式压力计,通过惠斯登电桥原理,实现了高压压力下的压差测量,基本等效于高压下的差压压力计的功能,且基本消除了温度对测量压力结果的影响。



