摘 要:通过可控间隙活塞式压力计与自由形变活塞式压力计的比对实验,复现了高压自由形变活塞式压力计的形变系数。实验结果和理论计算存在较大的差异,自由形变活塞式压力计在高压力下有效面积的准确度受形变系数的影响非常大,因此对于其形变系数的不确定度需重新评估和进一步研究。
关键词:可控间隙活塞式压力计;自由形变活塞式压力计;形变系数;比对实验
0 引言
活塞式压力计复现压力量值
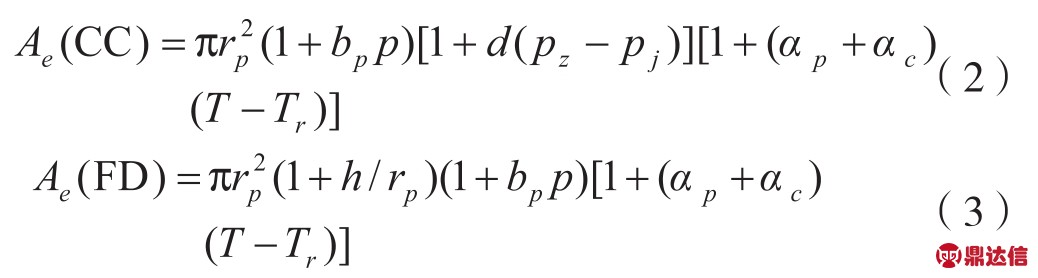
的基本公式为式(1),其结构通常有可控间隙活塞式(CC)、反压活塞式(Re)、自由形变活塞式(FD)。

式中:
活塞组件的有效面积;
ρi—— 第i块砝码的密度,8.0×103kg/m3;
ρair—— 空气密度,1.2 kg/m3;
g —— 重力加速度,m/s2;
γ —— 传压介质的表面张力系数,N/m;
C —— 活塞杆横截面的周长,m;
Mi—— 第i块砝码的质量,kg;
θ —— 活塞杆的垂直度,rad
可控间隙活塞式(CC)和自由形变活塞式(FD)活塞组件的有效面积分别如式(2)、(3)所示。

式中:rp、rc—— 分别为活塞杆、活塞筒的直径,m;
bp—— 活塞杆常数,bp= (3μp-1)/Ep,MPa-1;
αp、αc—— 分别是活塞杆和活塞筒的热膨胀系数,m/℃;
T —— 实际温度,℃;
Tr—— 参考温度,℃;
pz—— 活塞组件泄漏量为零时的外套压力,MPa;
pj—— 控制活塞组件泄漏量的实际外套压力,MPa;
d —— 可控间隙活塞或压力计特征参数,MPa;
h —— 活塞组件的间隙,m
可控间隙活塞式压力计(CC)的结构最早由Johnson和Newhall提出,即在活塞筒之外单独增加一路可调节的压力,以此控制和调节活塞筒和活塞杆之间的间隙。Heydemann和Welch首先对可控间隙活塞式压力计活塞组件的有效面积和弹性变形进行了理论分析,因此可控间隙活塞式压力计复现压力的理论称之为H-W模型。
自由形变活塞式压力计(FD)可以认为是可控间隙活塞式压力计的特殊情况,即是一种在活塞筒之外单独增加的压力永远为零的可控间隙活塞式压力计。R.S Dadson总结分析了自由形变活塞式压力计活塞组件有效面积的理论。基准级自由形变活塞式压力计的压力量值都是基于此理论进行分析和拓展的。
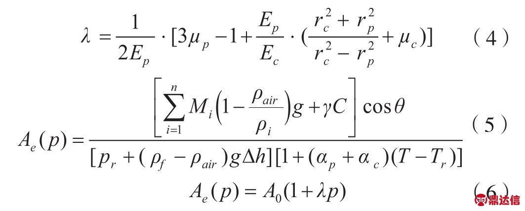
目前,非基准级自由形变活塞式压力计活塞组件的有效面积主要通过起始平衡法和直接平衡法溯源至自由形变活塞式压力计基准。对于高压力自由形变活塞式压力计,活塞组件有效面积的测量不确定度来源中形变系数的不确定度是主要影响因素。采用起始平衡法进行活塞式压力计活塞组件有效面积量值传递时,根据JJG 59-2007《活塞式压力计》,其形变系数可以通过lame公式(4)进行计算。采用直接平衡法可以根据式(5)、(6)传递不同活塞式压力计之间的活塞组件有效面积和形变系数。

式中:p、pr—— 分别为活塞压力计的测量压力、标准活塞压力计的测量压力,Pa;
ρf—— 传压介质的密度,kg/m3;
A0—— 零压力下活塞组件的有效面积,mm2;
λ —— 自由形变活塞式压力计的形变系数,MPa-1;
μp、μc—— 分别为活塞杆、活塞筒的泊松比;
Ep、Ec—— 分别为活塞杆、活塞筒的弹性模量,GPa;
Δh —— 标准和被测活塞式压力计参考位置之间的液柱高度差,m
本文通过可控间隙活塞式压力计对自由形变活塞式压力计的形变系数进行实验研究。
1 实验过程及结果
本文所采用的超高压可控间隙活塞式压力计测量范围30~1 500 MPa,测量不确定度U= 0.02%(k= 3),对两台测量上限分别为500 MPa和400 MPa的自由形变活塞式压力计进行活塞组件有效面积和形变系数的复现。采用直接平衡法进行量值传递,分别在多个名义压力点进行浮动平衡。通过在自由形变活塞式压力计上增减砝码来实现两种结构活塞式压力计之间的平衡,以两个活塞基本都以各自的下降速度下降来判断两个压力之间处于平衡状态,其复现结果如表1所示。
根据式(5),500 MPa自由形变活塞式压力计的A0和形变系数λ分别为2.726 911 mm2、1.25×10-6MPa-1;400 MPa自由形变活塞式压力计的A0和形变系数λ分别为2.018 728 mm2、9.31×10-7MPa-1。
根据厂商提供的活塞组件材质的物理参数以及对活塞组件尺寸的测量,通过计算获得了两套自由形变活塞式压力计活塞组件的形变系数;另外通过可控间隙活塞式压力计与自由形变活塞式压力计的比对实验,获得了两套自由形变活塞式压力计活塞组件的形变系数,其结果均列入表2。理论计算的形变系数与实验获得的结果分别相差23%和42%,这对于高压自由形变活塞式压力计来说,若在200 MPa名义测量压力下,形变系数相差2×10-7MPa-1,其对活塞组件有效面积的相对影响相当于40×10-6;而如果在500 MPa名义测量压力下,对有效面积的相对影响相当于0.01%,可见对有效面积的影响是非常大的。在评估高压自由形变活塞式压力计的形变系数不确定度时,一般将理论计算的结果作为形变系数的测量结果,不确定度基本在10%左右,而本实验获得的结果与理论结果之间相差甚远。另外,由国外知名制造商提供的结果与实验获得的结果也有很大的差距。
表1 可控间隙活塞式压力计确定自由形变活塞式压力计的活塞组件有效面积和形变系数的结果

表2 活塞组件的参数及形变系数λ

2 结语
目前针对自由形变活塞式压力计的形变系数计算,其所根据的基础参数基本来自于制造商提供的材质物理参数。对于不同批次、不同牌号的材质,其本身的物理参数存在差异,这可能是导致理论计算的形变系数与实验所复现的形变系数之间存在差异的原因。因此在高压力下,对于活塞组件材质的物理参数需要增加测量的手段。可控间隙活塞式压力计是一种可以控制活塞组件间隙的活塞式压力计,在宽量程压力测量范围内都具有很好的测量准确度,因此可控间隙活塞式压力计与自由形变活塞式压力计之间比对对压力量值统一具有非常重要的意义,也有利于在高压力下实验研究自由形变活塞式压力计的形变系数。目前对于高压力下自由活塞式压力计形变系数的复现和不确定度评估并没有估计的那么乐观,因此需要通过仿真和试验研究,进一步改善自由活塞式压力计形变系数的计算和传递。



