摘 要 在活塞式压力计周期检定过程中出现许多送检单位只送活塞部分而不送与其配套的专用砝码,甚至有的计量部门也是如此。如果活塞式压力计只检定活塞有效面积而不检定专用砝码会对活塞式压力计带来巨大误差,以至于该活塞不能作为标准器使用。本文就是阐述专用砝码不检定对准确度是如何带来巨大误差的。
关键词 活塞式压力计;准确度;标准;压力值
前言
活塞压力计在压力计量技术中占有重要地位。由于活塞压力计具有准确度等级高,量程范围宽,测量技术性能稳定,使用也特别方便,所以目前在国内外均用活塞压力计作为自己国内的压力基准、压力标准以及其他用途的压力测量仪器。国家建立了一整套以活塞压力计作为标准装置的压力量值传递和溯源的系统表。我们国家把压力分为微压、低压、中压、高压、超高压几个范围,在这些范围都有各自的相应活塞压力计,目前微压活塞压力计可以做到测量1kPa的压力值,超高压可以做到测量1000MPa的压力值。所以活塞式压力计在各行各业使用非常广泛。
1 工作原理
活塞式压力计是利用流体静力平衡原理及帕斯卡定律原理而进行压力值测量的仪器。
流体静力平衡是通过作用在活塞系统的力值与传压介质产生的反作用力相平衡实现的。活塞系统由活塞(活塞杆)和缸体(活塞筒)组成。活塞的面积(有效面积)是已知的,当已知的力值作用在活塞承重盘上时,活塞下端面的传压介质会产生与已知专用砝码产生的力值大小相等方向相反的力与专用砝码产生的力值相平衡[1]。
由此,可以通过作用在活塞上的专用砝码产生的力值和活塞的有效面积计算得到系统内传压介质的压力值。在实际应用中,力值通常由砝码的质量乘以使用地点的重力加速度得到(N=mg)。
活塞压力计是采用流体静力平衡原理测量压力的,就是在已知面积上加上已知的力从而得出已知的压力值。
即: P=N/S 公式(1)
式中:P——压力值(Pa)
N——砝码产生的重力(N)
m——砝码质量(kg)
S——活塞有效面积(m2)
2 活塞压力计检定
按规程要求,活塞压力计要检定十个项目:
(1)外观
(2)活塞系统
(3)专用砝码和承重盘
(4)活塞有效面积
(5)专用砝码质量
(6)垂直度
(7)活塞转动延续时间
(8)下降速度
(9)鉴别率
(10)活塞有效面积周期变化率
从公式(1)可以看出,力和有效面积是决定活塞准确度等级的直接因数,对力和有效面积的准确检定是对活塞的量值传递和溯源的保证。
国家规程规定,对于0.05级活塞压力计要求其有效面积最大允许误差为±0.02%,本文为了说明问题的需要,假设有效面积检定完全符合规程要求,我们只对作用力的检定(即砝码质量检定)进行分析。
公式(1)中N=mg 公式(2)
式中:m——砝码质量(kg)
g——活塞使用地点的重力加速度(m/s2)
为了更能理解,我用举例方法来阐述观点。假设一台(1~60)MPa,0.05级的活塞压力计,由于生产厂家不知其生产的活塞压力计会销售哪个地区,由于不同地区的重力加速度不同,所以出厂的活塞压力计基本按标准重力加速度(g=9.80665 m/s2)来配重其专用砝码的。如果是武汉某单位购买该活塞压力计后,其专用砝码没按武汉重力加速度(9.7936 m/s2)配重而使用,也就是在使用前未送计量部门检定,或者是只送活塞压力计而未送检专用砝码,使得专用砝码未按使用地点的重力加速度进行调整,我们以此来计算重力加速度对活塞压力计压力值测量带来的误差[2]。
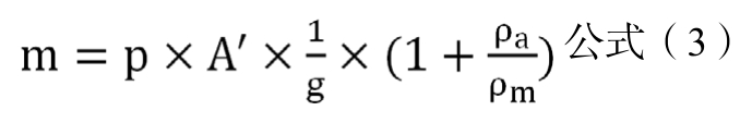
按规程要求其专用砝码配重公式为:(为说明问题方便,在此不考虑活塞受压变形,使得配重公式简明)
式中 m——专用砝码、活塞及连接零件质量,kg
P——被测量压力值,Pa
A’——活塞压力计有效面积,m2
ρa——空气密度,kg/m3 (1.2 kg/m3)
ρm——砝码材料密度,kg/m3(7.8×103 kg/m3)
g——使用地点的重力加速度,m/s2
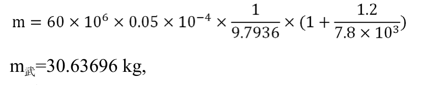
计算要在活塞有效面积0.05cm2产生60MPa压力值时所需钢材料砝码质量:(武汉重力加速度g=9.7936 m/s2
按标准重力加速度计算的砝码质量:

按武汉重力加速度计算的砝码质量:

两者相差:△m= m武– m标=0.04071 kg
按该误差质量所带来的压力值误差:
按公式(1)计算:

而0.05级60MPa活塞压力计其允许最大误差为:
△P=0.05%×60=0.03 MPa
0.08MPa>0.03MPa
也就是说没调整专用砝码的活塞式压力计所产生的误差远远超过活塞压力计本身准确度等级的要求,即该活塞式压力计达不到准确度等级要求,可以判不合格[3]。
3 结束语
从以上结果分析可以看出,新买活塞压力计如果没有按当地重力加速度调整专用砝码,就是把活塞有效面积检定的再准其测量结果值仍然远远超出活塞压力计允许的最大误差,所以活塞压力计周期检定时,不但要送活塞而且一定要送检专用砝码,不要因为专用砝码重,运输困难就不送计量部门进行检定调整。送检后,计量部门会按有效面积和当地重力加速度把专用砝码按规程对专用砝码质量误差的要求进行调整。如果不对专用砝码进行调整,活塞压力计不可能达到其准确度等级的要求。我们还是以上例计算,该活塞没按武汉重力加速度调整其实际能达到的准确度等级究竟是多少?
把专用砝码没调整所产生的误差与活塞压力计该点压力值进行比较就可以等到该点误差。(压力准确的等级是以误差表示的)
即:0.08MPa/60MPa≈0.13% 其准确度等级为0.2级,相当于一块精密压力表的准确度等级,其结果完全不能作为标准器使用。
任何等级的任何量程的活塞式压力计,作为压力值输出标准器,不但要送检活塞系统,还必须要送检专用砝码。



