2 电流通量管模型及地层视电阻率计算方法
2.1 传输线方程
设金属套管单位长度的电阻为Rc,金属套管单位长度所对应的地层横向电阻为T(漏电电阻),则传输线方程可写为(高杰等,2006,2008;刘福平等,2007,2011)
其中U为井壁电势,I为电流分布,
包含了金属套管的信息,Rc=ρc/(2πaΔa),a为套管半径,Δa为套管厚度,ρc为套管电阻率.
2.2 利用电流通量管模型计算含裂缝地层的横向电阻
由于金属套管与地层电阻率的巨大差别使过套管电阻率测井响应的计算受到了很大的限制,目前有限差分和有限元法很少被用于过套管电阻率测井响应的计算(高杰等,2008;刘福平等,2007,2011,2013).传输线方程能很好地解决金属套管与地层电阻率的巨大差别这一问题(高杰等,2006,2008;刘福平等,2007,2011).因此寻找适合于传输线方程的过套管电阻率测井响应计算方法是目前解决裂缝计算问题的关键,下面首先研究含裂缝地层横向电阻的计算方法.当地层变化时,在传输线方程中则表现为横向电阻的变化.若地层存在裂缝,则裂隙会被油气等高阻流体填充,最常见的裂缝多为平面状的,如图1(含裂缝地层截面图).为方便计算横向电阻设地层为柱壳状,裂缝的平面平行于井轴,其中δr为地层裂缝的张开度(裂缝宽度),ra、rb为柱状地层的内外半径,H为裂缝到套管轴线O的距离,φe为裂缝一端(截面图)对套管轴线的张角.这类问题给利用传输线方法计算地层视电阻率带来一定的困难,下面利用电流通量管模型给出地层横向电阻的计算方法.在柱坐标系中选一扇形柱状体,其高为单位长度,在垂直于套管的截面上选两条电流密度线,如图2的OA和OB,电流发射角为dφ.由这个单位高度扇状柱体的上、下底面及φ=φ和φ=φ+dφ两个侧面上的电流密度线构成一个电流通量管,通量管沿径向向外无限伸展.通量管与电流密度线(电场线)平行,流过通量管任意截面上的电流是一个常数.当介质变化时,在两介质的界面电流密度线存在折点,电流通量管弯曲(如图2的地层裂缝截面AB、CD平面,ρ1为地层电阻率,ρf为地层裂缝中流体的电阻率).
在含有裂缝的地层中,在同一个通量管内的套管单位长度所对应地层总电阻为
(2)式第一项是在dφ角内,地层无裂缝时单位高度扇环柱体的电阻,ρ1为地层电阻率,ρ2为裂缝内流体的电阻率.利用该式在φ=-φe~φe内扇环柱体的电阻可写为

图1 含裂缝地层横截面示意图
Fig.1 Schematic diagram of stratigraphic cross-section with fracture

图2 同一电流通量管示意图
Fig.2 The schematic diagram of same current flux tube
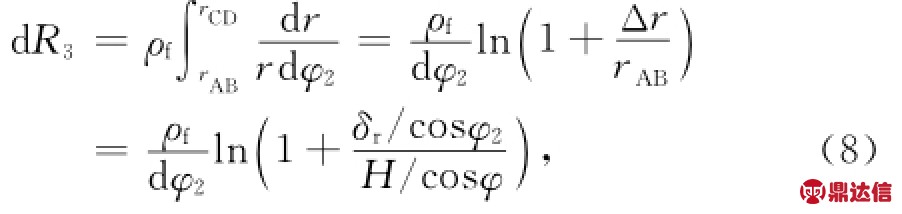
(2)式的第二项为在该通量管内电流由裂缝AB面流向CD面时裂缝内流体对该通量管内电流的电阻(在此设裂缝被电阻率等于地层电阻率ρ1的流体填充),用d R2表示.实际上在dφ内,d R2的大小与图3虚线所示部分的电阻是相等的.因为对同一通量管,虚线部分为垂直于电流密度线的柱侧面,该侧面也恰为AB或CD面通量管的等校截面,在该通量管内每一条电流密度线在裂缝AB面和CD面间的长度相同,也等于两虚线弧之间的距离,所以由虚线部分及轴线方向单位高度的扇环柱体与由AB和CD面及轴线方向单位高度的裂缝斜柱体(两柱体在同一电流通量管内)的电阻是相等的.则有

其中rAB、rCD分别为扇环线(图3中虚线)与AB、CD面交点的径向半径.该微分扇环柱体的导纳为
(5)式对φ积分得

所以
(2)式第三项是当该微分扇环柱体裂缝内充满电阻率为ρf的导电介质时的横向电阻,此时电流线在裂缝界面存在折点,如图4,其大小为d R3的导纳形式为


图3 等电阻图
Fig.3 Schematic diagram of equivalent resistance

图4 电流线折射图
Fig.4 Schematic diagram of the current line of refraction

在导电界面有
所以有![]()
代入(9)式得

其中φe=tan-1[(ρ1/ρf)tanφe],该式积分需要用数2值计算方法计算积分.含有平面裂缝扇环状地层的横向电阻为
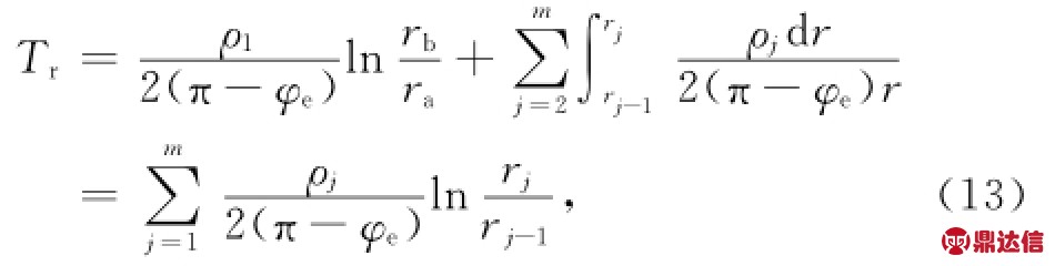
其中R3=1/S3.若地层在径向上是由m层同轴的柱体组成,设裂缝在径向的第一层,则在(-φe,φe)内的扇形区内单位长度套管的横向电阻Tφe为
其中,rj为地层径向界面半径,j为地层编号,ρj为第j层地层的电阻率.在(φe,2π-φe)的扇形区内,单位长度套管所对应地层(不含裂缝)的横向电阻Tr为

其中(13)式中将裂缝地层作为第1层介质.若选择无穷远电势为零,则Tφe,Tr为处在两等势面之间的横向电阻,利用这两者的数值可计算套管单位长度所对应的总横向电阻T.
2.3 地层视电阻率的计算
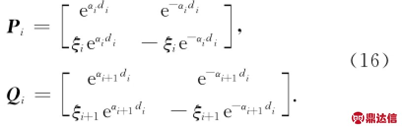
在轴向第i层导电介质中传输线方程的解为
其中Ai、Bi为待定系数,ξi=Tfiαi.由第i、i+1层边界电流和电势连续条件得系数关系(刘福平等,2007,2011):
其中

考虑轴向n+1层地层后有
由于在n+1层中z可以取无限远,为保证电流I(z)有限,应取An+1=0,设电源在坐标原点,则I1(0)= I0,其中I0为由电源流出而流向上半个空间的电流.利用电流源条件和方程(17)可得Bn+1、A1、B1,再利用公式(15)可得任意一层中的解.
由(1)式得(Kaufman,1990;Kaufman and Wightman,1993;刘福平等,2007,2011)地层视电阻率为
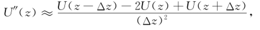
该式可用于测量和计算地层视电阻率,a,b分别为柱状地层的内外半径.公式(18)中含有电势二阶导数,在实际测量计算时是利用二阶差商近似代替公式(18)中的二阶导数,即
其中Δz为差分计算点的间隔.在测量中是用三个测量电极实现电势测量的(三个电极等间距放置),外面两测量电极距为L,其中取Δz=L/2.设Δ2U= U(z-L/2)-2U(z)+U(z+L/2)(Δ2U称为二阶电位差),则地层视电导率可近似用下式计算(Kaufman,1990;Kaufman and Wightman,1993;刘福平等,2007,2011):
其中K=L2Rc/4为电极系数.
3 算法可靠性分析
为分析算法的可靠性,我们拟从两个方面进行分析与考察,其一是通过算例用该垂直平面裂缝测井响应算法去逼近轴对称圆柱状裂缝,考察计算结果是否能回归到圆柱状对称裂缝的结果;其二是对非对称性问题进行算法适应性分析,分析传输线模型是否能被用于解决非轴对称性问题.
3.1 柱状对称裂缝测井响应的逼近考察
用多个垂直平面裂缝组成的棱柱壳层去逼近圆柱壳状对称裂缝,当棱柱壳横截面的边数趋近无穷大时,则多边形棱柱壳状裂缝将趋近于圆柱壳状对称裂缝,我们采取逐渐增加多边形棱柱壳横截面边数的办法考察本垂直平面裂缝模型的计算结果是否逐渐逼近圆柱壳状对称裂缝的计算结果,以验证算法的可靠性.
过套管电阻率测井仪器为三电极系测井仪,从算例图5—15电极距均取L=1.0 m,供电电流I0=6 A,套管电阻率为ρc=2×10-7Ωm,套管半径a=0.1 m,套管厚度Δa=0.00772 m.实际中由于在套管周围存在许多微裂缝并被高阻流体填充,因此算例主要考察了小尺度裂缝存在时地层的测井响应.图5中,在z=-1 m~1 m范围内含有圆柱壳状对称裂缝,其内径ra=0.11 m,圆柱裂缝张开度为δr=0.005 m,裂缝被高阻油气填充,其电阻率取为1000Ωm.图5中的曲线cylinder表示用传输线方法计算的圆柱状对称裂缝的测井响应,标号为n=4,6,9,18,36,60的曲线表示当多边形棱柱壳横截面的边数分别为4,6,9,18,36,60时计算的测井响应,当多边形棱柱壳横截面的边数分别为36和60时已十分接近圆柱状对称裂缝的测井响应(曲线已重合),这说明用这种垂直裂缝组合去逼近柱状对称裂缝是可以回归到柱状对称裂缝的测井响应的,从而验证了该算法本身的可靠性.
3.2 算法对非对称性问题的适应性分析
目前现有的过套管测井测量方式采用的是点状侧向测量模式(传输线测量模型),在套管壁测量套管的电势分布,由该电势分布再利用透过套管壁流入地层的电流(称漏电流)可计算套管的横向电阻(或电阻率),1990年Kaufman提出了地层电阻率计算新方法,通过计算套管壁电势分布的二阶电位差(在纳伏量级)代替了透过套管漏电流的计算(或测量),实现了过套管电阻率的测量.实践表明这种测量方式及视电阻率计算方法对地层横向电阻在轴向上的变化分布反映十分敏感,并已被成功用于测井实际.就传输线方程及地层视电阻率计算方法从形式上看是一个轴对称问题,测量结果是总的等效横向电阻.针对这种测量模式和计算方法进行分析就不难发现,只要在某段总等效横向电阻相同,则在该段的漏电流就不会发生变化,由此计算的视电阻率就应该是相同的,在这一条件下(这种只采取轴向点状测量模式)实现地层电阻率参数的非对称性反演是不可能的,因缺少了角向和径向的测量信息,但对正演模拟测井响应就不同了,是可以实现正演模拟计算的,由于在正演计算中,地层空间电阻率分布是已知的(根据分布可计算等效横向电阻),在等效横向电阻保持不变的条件下,可有多种不同模式的电阻率空间分布,既可以是对称分布,也可以是非对称分布,这是因为在传输线方程中含有的是等效横向电阻,因此在保持等效横向电阻相同这一条件下,不管电阻率空间分布是对称的还是非对称的,由传输线方程计算的套管壁的电势及漏电流分布就是一样的,由此计算的地层视电阻率就是相同的,正因为如此才使我们用传输线方程实现电阻率非均匀分布问题的正演模拟考察成为可能,所以在已知电阻率空间分布的前提下,若能正确地计算出等效横向电阻,则正演计算是可以考察地层电阻率非对称性分布问题的,但其关键是等效横向电阻计算的正确与否,只要能找到非对称性问题等效横向电阻的正确计算方法,利用传输线方程方法考察非对称性电阻率分布问题就是可行的.
图6给出了横向电阻相同条件下非对称电阻率空间分布的测井响应(计算条件同图5),其中在z=-1 m~1 m范围内含有垂直裂缝,图中曲线1为垂直裂缝在井轴左侧(正对纸面观测)的计算结果;曲线2为垂直裂缝在井轴右侧时的计算结果;曲线3为假设在60°角(扇状柱体)内地层横向电阻为Tφe,而在其余角度(300°)内扇状柱体的横向电阻Tr的计算结果.三条曲线是重合的,说明只要等效横向电阻相同,正演模拟的测井响应确实是相同的,计算也验证了前面的分析.
3.3 非封闭扇环柱形裂缝测井响应的逼近考察
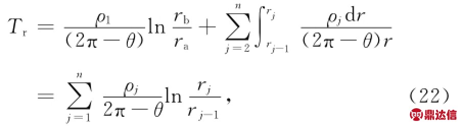
设地层是由m层同轴的柱体组成,设在第一层含有非封闭扇环柱形裂缝,并部分地被高阻流体层填充(包围),形成非封闭扇环柱形裂缝,并设高阻流体层柱壳对套管轴线张角为θ,则在角θ的扇形区内单位长度套管的横向电阻Tθ为
其中,rj为地层径向界面半径,j为地层编号,ρj为径向第j层地层的电阻率,Rθ为扇环柱形裂缝中流体的径向电阻,而ρf为高阻流体的电阻率,ra为高阻流体裂缝内径,rf为高阻流体扇环外半径.在(θ,2π)的扇形区内地层(不含裂缝)单位长度套管所对应的横向电阻Tr为

若选择无穷远电势为零,则Tθ,Tr为处在两等势面之间的横向电阻,利用这两者的数值可计算套管单位长度所对应的总横向电阻T.
图7中曲线model为利用公式(21)、(22)计算的结果,表示非封闭扇环柱形裂缝的测井响应,其中θ=320°,标号为n=4,6,9,18,36,60的曲线表示当多边形棱柱壳横截面的边数分别为3,6,10,20,30,65时计算的测井响应,当多边形棱柱壳横截面的边数大于20后曲线已十分接近曲线model(曲线已重合),这个算例说明用这种垂直裂缝组合去逼近非封闭扇环柱形裂缝也是可以回归到非封闭扇环柱形裂的测井响应的.

图5 圆柱状裂缝测井响应的逼近计算结果
Fig.5 The approach results of the resistivity logging response for columnar fracture through casing

图6 横向电阻相同条件下不同空间分布电阻率的测井响应
Fig.6 The resistivity logging response of formation of different resistivity distribution under the condition that transverse resistance remains unchanged

图7 非封闭扇环柱形缝测井响应的逼近计算结果(θ=320°)
Fig.7 The approach results of the resistivity logging response for unenclosed fan ring cylinder fracture through casing(θ=320°)

图8 非封闭扇环柱形缝测井响应的逼近计算结果(θ=130°)
Fig.8 The approach results of the resistivity logging response for unenclosed fan ring cylinder fracture through casing(θ=130°)
图8 中曲线model为利用公式(21)、(22)计算的结果,表示非封闭扇环柱形裂缝的测井响应,其中θ=130°,标号为n=4,6,9,18,36,60的曲线表示当多边形棱柱壳横截面的边数分别为3,6,10,20,30,65时计算的测井响应,与图7相比虽存在较大差别,这说明高阻流体对套管封闭程度(θ大小)对过套管电阻率测井是有重要影响的,但其变化特点与图7是有类似之处的,这个算例再次说明用垂直裂缝组合逼近非封闭扇环柱形裂缝也是可以回归到非封闭扇环柱形裂缝的测井响应的,进一步验证了方法本身的可靠性.
4 含裂缝地层测井响应算例
过套管电阻率测井仪器为三电极系测井仪,从算例图9—15电极距均取L=1.0 m,供电电流I0= 6 A,套管电阻率为ρc=2×10-7Ωm,套管半径a= 0.1 m,套管厚度Δa=0.00772 m.在图9—13中曲线1均为地层模型电阻率.
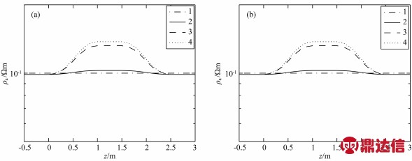
图9轴向上含5个地层界面,地层电阻率为ρi= 10,100,5,0.01,5,1Ωm,i=1,2,…,6,i表示轴向地层编号.第2和第4层分别为一高阻(z=-3.5~-0.5 m)和低阻(z=0.5~2 m)地层,其中在这两个层段的径向上有厚度为0.05 m的水泥环,且水泥环均含有张开度为δr=0.005 m的垂直裂缝,裂缝被油气填充,其电阻率取为1000Ωm.水泥环电阻率为5Ωm,水泥环的内径等于套管的外径,裂缝到井轴的距离为H=0.11 m.计算结果见图9,图中曲线2、3、4分别为无水泥环、有水泥环(无裂缝)、水泥环含裂缝时地层模型的视电阻率曲线.该图表明,当地层裂缝中存在高阻流体时,低阻水泥环和小张开度裂缝对高阻地层测井曲线的影响是可以忽略的(算例曲线2、3、4无法区分);但高阻水泥环及裂缝(含高阻流体)对低阻地层测井曲线会有较大影响(如图9,z=0.5~2 m段).
图10给出了裂缝张开度对地层过套管电阻率测井响应影响的计算结果,计算时假设地层是均匀的,电阻率为0.1Ωm(图10—12均取该值),在z= 0.5~2.0 m之间含有一高阻平面裂缝,H=0.11 m.曲线2、3、4分别为当裂缝张开度δr=0.001,0.005,0.01 m时裂缝的过套管电阻率测井响应曲线.图10a裂缝中流体的电阻率ρf=100Ωm,图10b裂缝中流体电阻率ρf=1000Ωm.该图显示:大张开度裂缝对视电阻率曲线影响较大,当裂缝中流体电阻率较大时,不同张开度的视电阻率曲线差别变小.
图11为地层裂缝中含不同流体时的测井响应曲线,曲线2、3、4分别对应地层裂缝中流体电阻率取ρf=10,100,1000Ωm时的测井视电阻率曲线(δr=0.005,H=0.11 m).曲线表明随地层裂缝中流体电阻率的增大视电阻率变大,测井响应明显.
图12给出了地层视电阻率与地层裂缝到井轴距离的变化关系,曲线2、3、4对应地层裂缝到井轴距离分别取H=0.11,0.12,0.13 m时的视电阻率曲线(δr=0.005).图12a、图12b地层裂缝中流体的电阻率为ρf=100,1000Ωm.随地层裂缝到井轴距离的增大地层裂缝中流体对测井测量结果的影响变小.

图9 裂缝地层的过套管电阻率测井响应
Fig.9 The resistivity logging response of formation with fracture through casing

图10 裂缝张开度对过套管电阻率测井响应的影响
Fig.10 The effect of fracture opening widths on resistivity logging response of formation through casing
(a)ρf=100Ωm;(b)ρf=1000Ωm.
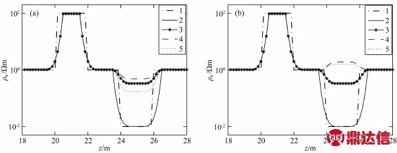
图13 与图9类似,为一5层状地层,ρi=1,100,1,0.01,1Ωm,i=1,2,…,5,但图13的第2层和第4层水泥与套管胶结不好,两者之间存在0.001 m的空隙,并被高阻流体填充,形成一层高阻流体柱壳(其参数取值与图9相同).曲线2、3、4、5分别对应只存在原状地层、有水泥环(无高阻流体)、有水泥环并存在高阻流体、有高阻流体(无水泥环)时地层模型的视电阻率曲线(环形裂缝厚度均为0.001 m).图13a高阻流体的电阻率为ρf=100Ωm,图13b高阻流体的电阻率为ρf=1000Ωm.同样低阻水泥环及高阻流体(厚度较小)对高阻地层测井曲线影响非常小(算例的第2层(z=20~22 m)曲线2、3、4、5无法区分);高阻水泥环及高阻流体柱壳对低阻地层测井曲线有较大影响(算例的第4层(z=24~26 m)).尽管高阻流体柱壳的厚度仅有0.001 m,但曲线存在非常大的差别(图13b的曲线4).比较图9与图13可知环形裂缝比垂直裂缝对测井的影响要大的多.

图11 地层裂缝中不同流体对过套管电阻率测井响应的影响
Fig.11 The effect of different fluids in fracture on resistivity logging response of formation through casing

图12 地层裂缝到井轴距离对过套管电阻率测井响应的影响
Fig.12 The effect of distances between fracture and well axis on resistivity logging response of formation through casing

图13 环形缝隙对过套管电阻率测井响应的影响
Fig.13 The effect of annular gaps on resistivity logging response of formation through casing
图14 为3个薄层的测井响应,薄层的厚度分别为0.4,0.8,1.6 m,裂缝及水泥环参数取值与图9相同,其他层段地层电阻率取值与水泥环均相同,即ρ=5Ωm,裂缝内高阻流体电阻率ρf=1000Ωm.图14a的3个薄层电阻率为100Ωm,图中曲线2、3分别为无裂缝和有裂缝时的计算结果,曲线2和3几乎是重合的,该图仍无法显示裂缝的影响.图14b的3个薄层电阻率为0.01Ωm,曲线2、3分开,裂缝的影响明显,该图表明随地层厚度的变薄影响会增强,特别是地层裂缝中含高阻流体时地层厚度对测量结果会有较大的影响.从上面各例均可看出过套管电阻率测井有很强的边界效应,特别是薄层这种效应更加明显,这种现象与仪器电极距有关,图15给出了含垂直裂缝地层不同电极距的测井响应,地层电阻率为5Ωm,图15a和15b的薄层厚度均为0.8 m,薄层电阻率分别为100Ωm和0.01Ωm,裂缝与水泥环参数与图9相同,图中曲线1为地层模型电阻率,曲线2、3、4分别为当电极距取L=1.0,0.5,0.1 m时含高阻流体裂缝地层的视电阻率计算结果.该图说明含垂直裂缝的薄层也确实存在很强的边界效应,但当采用小电极距测井仪时会减小薄层的边界效应,或者说采用小电极距仪器可以减小在地层边界附近的测量误差,这与小电极距有高的分层能力是一致的.

图14 地层厚度对过套管电阻率测井响应的影响
Fig.14 The effect of formation thickness on resistivity logging response through casing

图15 不同电极距的地层边界效应
Fig.15 Boundary effect of the formation of different electrode spacing
5 结论
利用在同一电流通量管内斜柱体的电阻可等效为扇环柱体电阻的方法,给出了含垂直裂缝地层横向电阻的计算方法,实现了裂缝地层的过套管电阻率测井响应计算,给出了裂缝地层电阻率测井响应算例.结果表明:(1)低阻水泥环和小张开度地层裂缝(裂缝内含高阻流体)对高阻地层测井影响是可以忽略的(算例范围内),但地层裂缝中的高阻流体对低阻地层测井有较大的影响;(2)大张开度地层裂缝(被高电阻率流体填充)对地层视电阻率有明显的测井响应,而随地层裂缝到井轴距离的增大,地层裂缝对测井响应的影响减小;(3)包围套管且充满高阻流体的环形裂隙比垂直裂缝的测井响应的影响更为明显,低阻地层测井曲线甚至会失去低阻地层特征;(4)薄层厚度对含高阻流体裂缝地层的测井响应有重要影响.因此对过套管电阻率测井的地层评价应充分考虑被高阻流体填充的裂缝及裂隙测井响应的影响.致谢 审稿专家和编辑对我们的论文提出了宝贵的修改建议,特别是有关传输线方法对非对称地层模型适应性问题的提出,使我们获益很大,在此向审稿专家表示衷心的感谢!感谢审稿专家为审阅我们的稿件所付出的辛勤劳动和努力!



