摘要:为了解决传统随钻侧向电阻率测井在油基钻井液下测量受限的问题,提出基于电容耦合非接触电导测量(C4D)技术的信号检测方法与装置。首先构建基于C4D技术的测井等效电路模型,然后采用数字相敏解调技术实现测井微弱信号幅值和相位的检测,依据所建模型可求得地层电阻率;同时,采用有限元仿真方法对模型的有效性以及所设计的测井响应特性进行研究;最后,设计1套模拟测井实验装置,并在多个激励频率下进行实验。研究结果表明:在20 kHz工况下实验装置的测量性能较好;当等效地层电阻率为0.135~8.368kΩ·m时,测量相对误差小于5%。
关键词:随钻侧向电阻率测井;油基钻井液;C4D;数字相敏解调;有限元仿真
长期以来,测井技术在勘探与开采油气等矿产资源中发挥着重要的作用。随着易开采资源的日益减少,勘探开发向着更深更复杂的储层推进,深井、斜井等高难度井开采工程逐渐增多,这对测井技术提出了更高要求[1]。随钻侧向电阻率测井是一种重要的测井技术,它同时包含了随钻测井与侧向电阻率测井的特点,具有测量实时性好、精度高、量程大、成本低、探测深度大和适用范围广等优点,因此得到了广泛应 用[2−3]。20世纪60年代,ARPS[4]发明了一种带有螺线环形激励和检测线圈的侧向电阻率测井装置,其基本原理是:正弦激励信号在螺线环形激励线圈两侧钻铤上感生交流电压,钻铤与附近地层构成交流测量回路,检测钻铤不同部位的电流即可求得相应的地层电阻率。上述原理在地质导向测井领域得到重要应用和发展,在此基础上研制的典型的装置有:GIANZERO 等[5]设计了一种能同时测量侧向电阻率和钻头电阻率的双电阻率随钻测井仪器;斯伦贝谢公司设计了可以测量5个部位电阻率的随钻测井仪器[6];苏义脑等[7]研制成功了具有随钻侧向电阻率与钻头电阻率测量功能的NBLOG−1型测量短节。然而,此类随钻侧向电阻率测井往往只适用于水基钻井液工况;在油基钻井液工况下,不导电的钻井液将测井仪器与被测地层隔离,导致测量难以进行[7−8]。在油基钻井液应用日益广泛而相关测井技术尚有不足的背景下[9],研究油基钻井液随钻侧向电阻率测井技术具有重要意义。电容耦合非接触电导测量(C4D)技术是较为新型的非接触电导检测技术,目前主要应用于分析化学领域[10−13]。电容耦合非接触测量绝缘管道内流体电导率的基本原理等同于测井在油基钻井液下非接触检测井眼外地层电阻率。因此,本文作者将C4D技术应用于测井领域,提出基于C4D技术的随钻侧向电阻率测井方法;建立测井电路模型及仿真测井模型,并对所提出方法进行仿真研究;设计测井样机及其模拟测井实验装置系统,并在不同激励频率下进行实验验证。
1 C4D测量原理
图1(a)所示为典型的C4D两电极结构[14]。传感器主要由激励电极、检测电极和绝缘管道组成,激励电极和检测电极为金属环状电极并套装于绝缘管道外侧。两电极、绝缘管道和被测导电液体构成1个交流测量通路,其等效电路如图1(b)所示。其中:C1和C2分别为激励电极与检测电极通过绝缘管壁与管道内的导电液体形成的耦合电容;R为管道内两电极间导电液体的等效电阻。在激励电极上施加交流电压信号u,则在检测电极上产生交流电流信号i,该电流信号包含了管道内被测液体的电导率信息,通过信号采集与处理模块将电流信号i转化为电压信号uo进行采集,进而可以测得待测液体的电导率。

(a) 典型的C4D两电极结构;(b) C4D系统等效电路模型
图1 C4D技术原理图
Fig. 1 Schematic diagram of C4D technique
2 基于C4D技术的油基钻井液随钻侧向电阻率测量原理
2.1 系统构成及测量原理
图2所示为本文作者设计的基于C4D技术的油基钻井液随钻侧向电阻率测井系统示意图。由图2可知:测量系统主要包括待测地层、传感器、信号采集与处理模块。传感器主要由钻铤以及嵌套在钻铤上的激励线圈(匝数为Nt,缠绕在环形磁芯上)和检测电极(环形结构,与钻铤绝缘)构成;信号采集与处理模块主要包括正弦交流激励源、放大电路、模数转换器(ADC)与计算机,正弦交流激励源一方面为传感器提供激励信号ue(设其初始相位为0°),另一方面为信号采集与处理模块提供与ue同步的触发信号u'。测井传感器检测电极与待测地层之间隔有油基钻井液井眼。
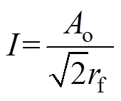
激励信号ue在激励线圈两侧钻铤上产生感生电压u,该电压在钻铤、井眼及地层形成交流测量通路。经检测电极流入井眼及地层的电流i的幅值和相位包含地层电阻率信息,由钻铤流经运放及检测电极的电流io与电流i相等,方向相反,通过放大电路(反馈电阻为rf)将电流信号io转化为电压信号uo,ADC将模拟信号uo转化为数字信号uo(n),采用DPSD技术求得电压信号uo的幅值Ao和相位φ,进而可求得地层等效电阻R或电阻率ρ。

图2 测量系统构成示意图
Fig. 2 Schematic diagram of measuring system
2.2 基于C4D技术的测井电路模型
图3(a)所示为测井电路原理图。由于本文采用的激励频率相对较低(10~25 kHz),故忽略了地层的介电特性及频散特性。图3(b)所示为简化的交流测量通路模型,即井眼等效电容C与地层等效电阻R的串联 模型。

(a) 测井电路原理图;(b) 交流测量通路简化模型
图3 基于C4D技术的测井电路模型
Fig. 3 Logging circuit model based on C4D
根据图3(a)所示电路,有
(1)其中:Ue,U,I,Io和Uo分别为信号ue,u,i,io和uo的向量表示形式;Uo为信号uo的有效值。
根据图3(b)所示的交流测量通路简化模型,可得
(2)式中:U和I分别为信号u和i的有效值。
进而可得
(3)式中:k为地层电阻率与等效电阻的映射系数。
2.3 DPSD技术
DPSD技术是一种广泛应用的微弱信号检测技术,不仅可有效降低外界环境噪声影响,具有解调精度高、速度快和灵活性强等优点,可应用于恶劣测井环境下的信号检测[15],而且DPSD技术可以同时求得信号的幅值和相位,从而获得更为完整的电学信 息[16]。本文作者将DPSD技术应用于所提出的油基钻井液随钻侧向电阻率测井,实现对前文所述信号uo的幅值Ao和相位φ的求解。图4所示为DPSD技术基本原理[17]。

图4 DPSD技术原理示意图
Fig. 4 Schematic diagram of DPSD technique
对被测信号uo等间隔采样,每周期采样点数为N,则定义采样后的数字信号为uo(n)(其中,n=0, 1, 2, 3, …, N−1)。Rsin(n)为与激励信号同相的参考信号数字序列,Rcos(n)为与激励信号正交的参考信号数字序列。将u(n)分别和两路正交参考信号数字序列进行乘法累加运算,则可得到2个正交分量Ux和Uy。通过Ux和Uy计算得到被测信号uo的幅值Ao和相位φ为
(4)将Ao代入式(1)可得
(5)
将求得的I和φ分别代入式(2)和(3)即可求得地层等效电阻或电阻率。
3 油基钻井液下随钻侧向电阻率测井仿真
测井问题的研究是一个极其复杂的过程,通常需要借助于有限元仿真方法[18]。本文作者利用COMSOL有限元仿真软件建立了1个仿真测井模型,通过研究测井的响应特性来验证所建立模型的有效性,并建立地层电阻率与等效电阻的映射关系。
3.1 建立仿真模型
根据所设计的随钻侧向电阻率随钻测量传感器参数,建立油基钻井液下随钻侧向电阻率测井仿真模型,其中仿真钻铤长6.15 m,直径为0.171 m(6.75″);井眼直径为0.2 m;地层模型为圆柱体,高8 m,半径为 6 m。
测井敏感场域满足准静态电磁场的条件,仿真建模的敏感场域方程及边界条件可描述为
(6)其中:H为传感器场域;Г1为激励线圈下端钻铤的空间位置;Г2为激励线圈上端钻铤的空间位置;Г3为内部边界;Г0为地层外部边界;
为梯度算子;j为虚数单位;
为激励信号角频率;σ(x,y,z),ε(x,y,z)和v(x,y,z)分别为模拟地层及井眼环境与传感器敏感场域的电导率、介电常数和电势;v1(x,y,z),v2(x,y,z)和v0(x,y,z)分别表示相应的边界电势;n为相对于边界面的单位法向量;矢量J1和J2分别为相应的内部边界电流密度。各电极边界条件分别为:激励源上部钻铤接地,下部钻铤电势为U,检测电极、井眼、地层内部边界连续,地层外部边界接地。
图5所示为所建立的仿真模型及其电场分布。由图5可知:电场线在钻铤附近比较密集,并通过井眼及地层与钻铤形成回路。
3.2 C4D测井简化模型的仿真验证以及测井响应特性的仿真研究
根据所建立的仿真模型,在仿真地层电阻率ρf为0~100 kΩ·m,激励电压U=1 V的条件下,分别在激励频率为10,15,20和25 kHz下对地层电阻率的测井响应特性进行研究。通过对检测电极进行表面法向电流密度积分,求得由电极流向地层的电流I及其相位φ;通过式(2)求得等效电阻Rf。

图5 COMSOL仿真模型及电场分布
Fig. 5 COMSOL simulation model and electric field distribution
电学测井中往往最关心的是地层和钻井液的“双电特性”,即导电性与介电性。由于所建立的简化模型(见图3)忽略了地层介电性、油基钻井液导电性以及杂散电容,为了验证该模型的有效性,对简化的地层模型和实际地层模型进行仿真对比研究。
1) 简化的地层模型仿真。地层相对介电常数设为1,油基钻井液电导率设为10−30 S/m,通过仿真得到10 kHz激励频率下ρf与Rf的映射关系为ρf=0.278 8Rf,并以此作为参考映射关系,如图6所示(虚线部分)。
2) 实际的地层模型仿真。根据实际地层及油基钻井液的“双电特性”参数[19−20]进行仿真研究,不同频率下ρf与Rf的映射关系如图6所示(实线部分)。
由图6可知:在不同频率下仿真地层电阻率与等效电阻呈线性关系;同时,激励频率、地层电阻率越大,则实线相对虚线分散越明显。在相同ρf下,简化模型与实际模型的Rf最大偏差为2.68%;而当电阻率为0~10 kΩ·m时,相应最大偏差为0.08%,在该范围内求得ρf与Rf的映射关系为ρf=βRf+γ(β和γ为常数)。不同激励频率下映射关系参数如表1所示。由表1可知:在不同激励频率下,ρf与Rf的映射关系接近于参考映射关系ρf=0.278 8Rf。因此,在频率范围为10~ 25 kHz和电阻率范围为0~100 kΩ·m(0<Rf< 361.471 kΩ)时,可认为所建立的简化模型是有效的,且在电阻率为0~10 kΩ·m(0<Rf<35.863 kΩ)范围内,简化模型与实际模型非常接近。

图6 地层电阻率与等效电阻的仿真映射关系
Fig. 6 Simulated mapping relationship of formation resistivity and equivalent resistance
表1 地层电阻率与等效电阻的仿真映射关系参数
Table 1 Simulated mapping parameters of formation resistivity and equivalent resistance

4 模拟测井实验
4.1 实验装置介绍
图7所示为设计的模拟测井实验装置示意图。实验装置主要由信号发生器、传感器、放大电路、数据采集仪与计算机构成。其中:测井传感器主要包括钢管(直径d1=0.168 m)、螺线环形激励线圈(内含磁芯)、检测电极(高度h=0.11 m)。模拟井眼采用绝缘桶(外径d2=0.2 m,对应检测电极处包裹一层锡箔纸)模拟井壁,用柴油模拟油基钻井液。地层用交流电阻箱(可调范围为0~100 kΩ)模拟,交流电阻箱一端接锡箔纸,另一端接激励线圈上侧的钻铤。信号发生器一路通过激励线圈为传感器提供正弦激励信号(Ue=7.07 V),另一路为数据采集仪(采样频率fs=250 kS/s)提供与第一路同步的方波触发信号,实现数字上升沿采样。检测电极检测的电流经放大电路(电阻rf=10 kΩ)后,由数据采集仪采集并转化为数字信号传输给计算机进行数据处理。
采用交流电阻箱模拟地层,具有调节方便、可调范围大的优点。但交流电阻箱电阻实际上并非纯电阻,用阻抗分析仪对所采用的交流电阻箱实测表明:随着电阻增大、频率增加,其感性成分会逐渐增加。通过测量,当 Rc=30 kΩ时,在10,15,20和25 kHz激励频率下,感抗占总阻抗百分比分别为2.1%,3.4%,4.3%和5.5%。为了降低不确定性以便分析,本文作者选择在交流电阻箱电阻0~30 kΩ范围内实验,并忽略电阻箱电感。

1—信号发生器;2—激励线圈;3—钢管;4—检测电极;5—放大电路;6—数据采集仪;7—计算机;8—锡箔纸;9—柴油;10—绝缘桶;11—交流电阻箱。
图7 模拟测井实验装置示意图
Fig. 7 Schematic diagram of simulated logging experiment device
4.2 信号采集与分析
分别在激励频率f为10,15,20和25 kHz的条件下进行信号采集实验。在每个激励频率下,调节电阻箱电阻(参考电阻)Rc,从0至30 kΩ每隔2 kΩ作为1个测量点,每个测量点重复测量50次,每次采样数为15 000(用时t=10 000/fs=0.06 s),求得信号i的有效值I(取平均值)及其标准差σI和平均相位φ(取平均值)及其标准差σφ,测量结果如图8所示。对测量结果进行单调性、灵敏度和重复性分析,结果如表2所示。
由图8和表2可知:1) 测得的电流信号有效值为微安级,且曲线相对平缓;当Rc较小时,曲线非单调,是因为此时Rc相比“井眼”容抗非常小,信噪比很低,而相位φ在整个测量区间内单调性较好,灵敏度也较高,因此,引入相位测量可以解决油基钻井液下仅靠测幅值无法测量地层电阻率的问题。2) 激励频率越大,灵敏度越高,但激励频率大小受传感器频率性能制约。3) 电流有效值I和相位φ的标准差和重复性系数均非常小,表明设计的传感器比较理想,且在激励频率为20 kHz时,σI,σφ,αI和αφ均相对更小,认为此工况下传感器性能较佳。

(a) 实测电流I;(b) 实测电流标准差σI;(c) 实测相位φ;(d) 实测相位标准差σφ
激励频率/kHz:1—10;2—15;3—20;4—25。
图8 信号采集结果
Fig. 8 Results of detected signal
表2 不同频率下I和φ的单调性、灵敏度和重复性
Table 2 Monotonicity, sensitivity and repeatability of I and φ under different frequencies

注:[aI, bI]和[aφ, bφ]分别为电流有效值I和相位φ的单调区间,其中,aI和aφ,bI和bφ分别为单调区间的下限和上限,Ia和Ib,φa和φb分别为单调区间下限和上限对应的有效值和相位;kI和kφ分别为电流有效值I和相位φ曲线在单调区间内的斜率(表征灵敏度),kI=(Ia−Ib)/(bI−aI)×100%,kφ=(φa−φb)/(bφ−aφ)×100%;αI和αφ分别为电流有效值I和相位φ在单调区间内的重复性系数,αI=σI/I×100%,αφ=σφ/φ×100%。
4.3 数据处理与实验结果
根据采集的信号,结合式(2)求得不同实验频率下的实测电阻Rs,结果如图9所示。由图9可知:实测电阻与参考电阻呈线性关系,说明所设计的模拟测井系统线性特性基本良好;随着频率和电阻增加,线性关系略变差,与电阻箱电感变大的影响有关。同时,实测电阻大于参考电阻。经实验测得传感器激励线圈的传输效率约为93%,此时实测电流相对变小,从而导致实测电阻大于参考电阻。

图9 不同频率下的实测电阻
Fig. 9 Measured resistance under different frequencies
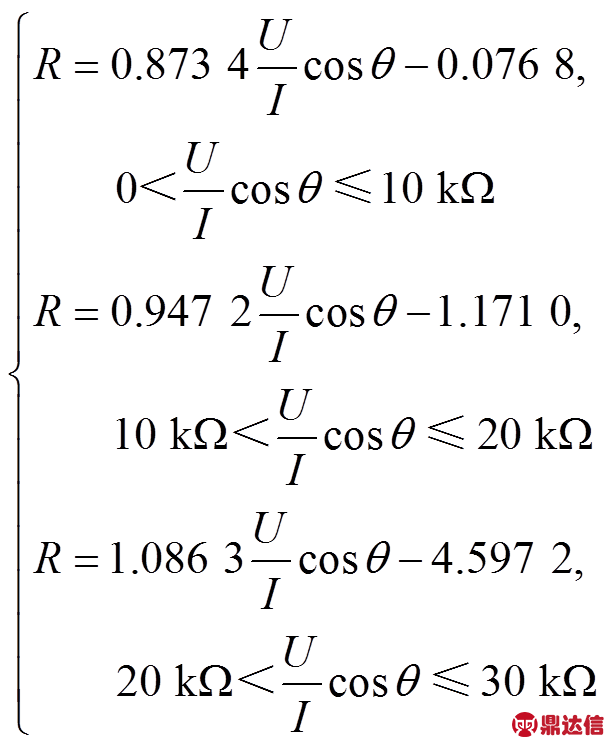
由于激励频率为20 kHz时设计的模拟测井系统性能较佳,故取激励频率为20 kHz时的数据并根据参考电阻Rc用最小二乘法进行数据拟合,得到校正后的数学模型如下:
(7)在0.5~30 kΩ范围内每个采样点采集5次数据,利用校正后的模型,求得实测电阻R,结果如图10所示。由图10可知:实测电阻R与参考电阻Rc的相对误差分别小于5.0%(0.5<Rc≤10 kΩ),2.5%(10<Rc≤20 kΩ),1.5%(20<Rc≤30 kΩ)。

图10 模型校正后求得的实测电阻
Fig. 10 Measured resistance calculated by corrected model
根据激励频率为20 kHz时得到的仿真线性模型ρ=0.279 1R−0.004 8,即可求得相对应的电阻率,则0.5~30 kΩ电阻范围对应的地层电阻率范围为0.135~ 8.368 kΩ·m。
5 结论
1) 提出1种油基钻井液随钻侧向电阻率测井信号检测新方法,DPSD技术不仅可以同时求得信号的幅值和相位,而且有利于提高系统的抗干扰能力,实现了微弱信号的检测。
2) 利用COMSOL有限元仿真软件建立1个仿真测井模型,分别在10,15,20和25 kHz激励频率下对测井响应特性进行有限元仿真研究,验证了所建立的等效测量电路模型的有效性,并建立地层电阻率与等效电阻的映射关系。
3) 设计研发1套针对实际6.75″钻铤的随钻侧向电阻率测井样机,并搭建1套模拟测井实验装置。所设计的测井实验系统在各频率下均具有较好的测量性能,其中,在激励频率为20 kHz时性能最佳,在等效地层电阻0.5~30 kΩ范围内实测值与参考值相对误差小于5%,验证了所提出方法及其装置的可行性和有效性。



