摘要:逆变型分布式电源(IIDG)的接入改变了小电阻接地系统的接地故障特性,不仅使传统零序电流的计算方法不再适用,而且对馈线零序电流保护造成了不利的影响。通过分析IIDG的故障电流特性,建立了具有低电压穿越能力的PQ控制型IIDG故障等值模型;在含IIDG小电阻接地系统接地故障分析建模的基础上,提出了零序电流迭代求解算法,并利用MATLAB编写相应的求解程序,将计算结果与电力系统实时仿真系统(RTDS)的仿真结果进行比较,验证了所提算法的有效性和准确性;基于所建立的故障分析模型,揭示了IIDG的接入对小电阻接地系统馈线零序电流保护的影响机理,利用所提零序电流迭代求解算法求解不同故障情况下的馈线零序电流值,验证了理论分析的正确性。
关键词:逆变型分布式电源;小电阻接地系统;PQ控制策略;低电压穿越;故障分析;馈线零序电流保护;继电保护
0 引言
为了应对化石能源危机和缓解环境压力,以光伏发电和风力发电为代表的分布式发电技术在我国得到了大力发展,尤其是逆变型分布式电源IIDG(Inverter Interfaced Distributed Generator)在电网中的接入日渐广泛。IIDG通过逆变器实现并网,其输出特性主要由逆变器的控制策略决定,具有较强的非线性[1];而且并网规定要求IIDG应具有低电压穿越能力[2-3],即在电网发生故障后,故障相的电压发生跌落时,IIDG能够优先输出无功以支撑电网电压。IIDG复杂的故障输出特性改变了配电网的短路电流分布,可能造成传统配电网的继电保护无法正确动作[4-5]的情况。
目前我国配电网大多采用中性点经消弧线圈接地的方式[6-7]。由于土地资源的紧缺以及对供电可靠性要求的提高,地下电缆输电被我国很多大中型城市所采用。电缆线路因具有较大的对地电容,导致消弧线圈接地方式很难满足迅速增长的补偿容量需求,容易造成欠补偿、过电压等危险。由于小电阻接地系统具有较强的故障排除能力,能够有效地抑制过电压,越来越多的大型城市开始采用小电阻接地方式[8]。当小电阻接地系统发生接地故障时,故障相会出现较大的压降,在低电压穿越期间IIDG将输出较大的故障电流,极大地改变了馈线零序电流分布,因此IIDG对小电阻接地系统馈线零序电流保护的影响不可忽略。但是,目前IIDG在小电阻接地系统中的应用尚缺乏完善的理论和经验指导,含IIDG小电阻接地系统的故障分析及继电保护技术成为了亟待研究的课题。
目前关于IIDG的接入对配电网故障影响的研究主要集中在相间短路及其保护。文献[9-11]在考虑了IIDG的低电压穿越能力后将其等效为适合实时计算的压控电流源模型,并提出了含IIDG配电网相间短路故障分析方法;文献[12-13]研究了配电网发生相间短路故障时IIDG接入对短路电流分布的影响,并得出了IIDG接入会引起配电网保护误动或者拒动的结论;文献[14-15]提出了含IIDG配电网的自适应电流保护新方法。然而,上述研究都只考虑了配电网发生相间短路故障的情况,研究结果并不适用于小电阻接地系统发生接地故障的情况。文献[16]研究了旋转型分布式电源对小电阻接地系统接地故障特征的影响,但是目前IIDG因其良好的控制特性在配电网中的应用更加广泛,而IIDG受其控制策略的影响无法等效为恒压源加阻抗的模型,故该文献所提方法具有较大的局限性。
为此,本文首先分析了IIDG的故障电流特性,建立了具有低电压穿越能力的PQ控制型IIDG故障等值模型;然后,建立了含IIDG小电阻接地系统的接地故障分析模型,提出了零序电流迭代求解算法,并利用MATLAB编写零序电流迭代求解程序,将计算结果与电力系统实时仿真系统(RTDS)的仿真结果进行比较;最后,基于所提故障分析模型,揭示了IIDG接入对小电阻接地系统馈线零序电流保护的影响机理,利用所提零序电流迭代求解算法求解不同故障情况下的馈线零序电流值,验证了理论分析的正确性。本文所提故障分析方法可为含IIDG配电网的规划以及含IIDG配电网的自适应零序电流保护的研究提供理论支撑。
1 含IIDG的小电阻接地系统接地故障分析
1.1 IIDG的故障输出特性
IIDG的故障电流输出由其控制策略决定。IIDG的控制策略主要有3种:PQ控制、下垂控制和V/f控制。其中,PQ控制是通过控制IIDG的有功和无功电流输出,使得其输出功率达到参考值。PQ控制策略可使IIDG根据一次能源输入的变化,实现最大有功功率追踪,常用于IIDG并网运行的情况。本文仅针对PQ控制型IIDG进行研究。
在低电压穿越阶段,IIDG不脱网持续运行,并优先输出无功,以补偿电压的跌落量。PQ控制型IIDG输出的无功参考电流可表达为[12]:
(1)
其中,Qref为IIDG的无功参考功率;UPCC.f为发生故障时公共连接点PCC(Point of Common Coupling)的电压;UPCC0为发生故障前PCC的电压;K为无功支撑比例系数。
值得注意的是:① 当IIDG正常运行时,为了充分利用可再生能源,通常将Qref假设为0;② IIDG的输出电流具有最大限值Imax(约为额定电流的2倍);③ 当电网发生不对称故障时,如果采取普通的控制策略,IIDG将输出负序电流,这不仅会影响逆变器的性能,还会加剧电网的不对称程度,不利于故障恢复。故IIDG的控制系统通常采用消除负序电流的控制策略[17],即将PCC正序电压作为参考,并将IIDG的负序电流参考值设为0。因此,基于上述因素,当系统发生故障时,采用消除负序电流控制策略的PQ控制型IIDG输出的有功和无功参考电流如式(2)所示。

(2)
其中,Pref为IIDG的有功参考功率;
为发生故障时PCC的正序电压;min为取最小值函数;Iq.f为IIDG实际输出的无功电流,实际上IIDG实际输出的无功电流往往与其无功参考电流相等。由式(2)可知,IIDG的故障电流输出主要由有功参考功率和PCC正序电压共同决定,而有功参考功率可视为发生故障前IIDG的出力,因此,在故障分析中可将IIDG等效为由PCC正序电压控制的压控电流源。
若以系统电压US作为参考相量,δ为PCC的电压相量与系统电压相量的夹角,可得IIDG的故障电流输出为:
IDG.f=(IDGd.fcos δ+IDGq.fsin δ)+
j(IDGd.fsin δ-IDGq.fcos δ)
(3)
对于大容量IIDG而言,其一般经并网变压器直接接入10 kV配电网中;对于380 V电压等级的小容量IIDG而言,其通常由多个IIDG形成集群,再通过升压变压器经PCC统一接入10 kV配电网中,该IIDG集群可等值为一个大容量的PQ控制型IIDG[18]。
1.2 单相接地故障
小电阻接地系统的馈线保护一般配置为:当发生单相接地故障时,由零序电流保护动作;当发生两相短路及两相接地故障时,由相电流保护动作。因此,本文仅针对单相接地故障的情况进行分析研究。图1为含IIDG的小电阻接地系统,图中,M和N为母线;L1为母线M至IIDG1的线路;L2为IIDG1至故障点的线路;
为故障点至母线N的线路;IIDG1和IIDG2为逆变型分布式电源;R0为中性点接地小电阻。

图1 含IIDG的小电阻接地系统
Fig.1 Low resistance grounding system with IIDG
当图1中IIDG1下游线路某点发生A相接地故障时,由正序等效定则可得相应的各序序网,如附录中图A1所示。图中,上标“+”、“-”和“0”分别表示正序、负序和零序;ZS为系统阻抗;ZL1、ZL2和
分别为IIDG1上游、IIDG1到故障点及故障点下游的线路阻抗;ZLD为负荷阻抗;ZΔ为附加阻抗;Im.f为母线M出口处馈线电流;If为故障点电流。因此,系统电压、PCC正序电压及故障点正序电压为:

(4)
其中,
和
分别为负序序网和零序序网的等效阻抗,Rf为过渡阻抗。

(5)
由于单相接地故障的短路点处存在![]()
的关系,且有
联立式(4)、(5),可得母线M出口处的馈线零序电流
为:

(6)
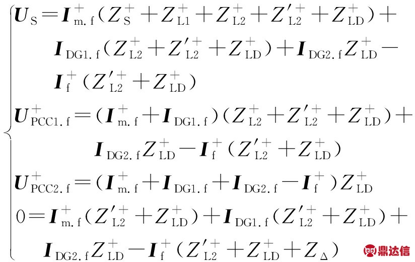
2 零序电流迭代求解算法及其验证
2.1 零序电流迭代求解算法
由式(6)可知,计算含IIDG的小电阻接地系统馈线零序电流的重点是IIDG故障电流输出的计算。受控制策略的影响,PCC电压和IIDG电流之间的关系是非线性的,因此IIDG的故障电流输出无法通过线性变换直接求解,但可以通过高斯迭代法求解。为了使计算公式具有通用性,本节采用节点电压方程作为迭代方程,若整条馈线中接有n个IIDG,则迭代方程如下:

(7)
其中,上标(k)表示当前迭代次数;IS为系统电源的等值电流源,且
为母线M处的正序电压;
和
分别为各个IIDG的故障电流和并网点电压;
为故障节点的注入电流,若故障点无电源,则
为故障节点的正序电压;Y为节点导纳矩阵,可根据配电网接地故障的正序复合序网生成。对于附录中图A1所示的单相接地故障复合序网而言,
可表示为:

(8)
其中,各导纳参数为相应线路、负荷和附加阻抗的等值导纳。
由式(2)和(3)可得到修正方程如下:

(9)
其中,下标i为IIDG的编号。收敛判据为:
(10)
其中,max为取最大值函数。由于IIDG的最大故障电流输出最大不超过其额定电流的2倍,因此迭代时可以取IIDG的额定电流作为故障电流输出的迭代初值。矩阵Y为正定矩阵,所以该算法必定收敛。零序电流迭代求解算法流程图如图2所示。

图2 零序电流迭代求解算法流程图
Fig.2 Flowchart of iterative solution algorithm for zero-sequence current
2.2 算法验证
为了验证所提含IIDG的小电阻接地系统零序电流迭代求解算法的有效性和准确性,在电力系统RTDS上搭建如图1所示的小电阻接地系统模型,并利用MATLAB编写所提零序电流迭代求解算法程序,将计算结果与仿真结果进行比较。
图1所示小电阻接地系统的参数如下:IIDG1“T”接入线路、IIDG2接入母线N,两者额定容量均为5 MW,无功支撑系数K均取2;系统等值电势US=10.5 kV,系统等值阻抗为j0.5 Ω;中性点接地电阻为10 Ω,接地变压器的零序阻抗为10 Ω/相;线路全长6 km,单位长度阻抗为0.13+j0.35 Ω/km,单位长度零序阻抗为0.39+j1.05 Ω/km;负荷阻抗为8+j3 Ω;故障过渡电阻为1 Ω。
a. 算法的有效性和准确性。
IIDG1接于线路中点,2个IIDG的出力均为2.5 MW,当线路末端处发生单相接地故障时,计算结果和仿真结果如表1所示。
表1 单相接地故障计算结果与仿真结果比较
Table 1 Comparison between calculative results and simulative results when single-phase grounding fault occurs

由表1可知,当系统发生单相接地故障时,计算结果和仿真结果基本一致。母线M出口处馈线零序电流幅值相对误差为0.55%,相角误差为0.63°;PCC正序电压幅值最大相对误差为0.09%,最大相角误差为0.30°;IIDG故障电流输出幅值最大相对误差为0.36%,最大相角误差为0.27°。
b. 算法的收敛性。
当线路末端f处发生单相接地故障时,零序电流迭代求解算法的迭代误差与迭代次数的关系如附录中图A2所示。其中,迭代误差μ(k)为:
(12)
由附录中图A2可见,随着迭代次数的增加,迭代误差迅速减小,计算结果收敛迅速,故本文所提零序电流迭代求解算法具有良好的收敛性。
c. 算法的用途。
本文所提算法可以实现含IIDG的小电阻接地配电网的接地故障分析和零序短路电流的准确计算,可应用于含IIDG配电网零序保护的灵敏性校验,以及指导配电网中IIDG的选址定容等。
本文所提算法也可用于零序保护的整定计算。此时需根据含IIDG的配电网拓扑,利用本文所提迭代求解算法计算当线路末端发生接地故障时线路出口处的零序电流,保护定值按照躲开该零序电流的原则整定。在整定计算时,可将过渡电阻设为0,即按最大零序电流进行整定,或者根据需要设定所能容忍的最大过渡电阻Rf.max,从而减小过渡电阻对保护灵敏性的影响。
3 IIDG对小电阻接地系统馈线零序电流保护的影响
3.1 IIDG对馈线零序电流保护的影响
由式(2)和(6)可知,IIDG对馈线零序电流
的影响不仅取决于其控制策略,还与其接入位置和故障点有关。以IIDG1为例,根据式(6),其相量关系如图3所示,图中φ为阻抗角。

图3 相量关系图
Fig.3 Diagram of phasor relationship
由式(6)和图3可见,若
与US的夹角小于90°,则IIDG1的输出电流将对
起助增作用。由于PCC电压滞后系统电压,即-90°<δ<0°,且系统和线路阻抗呈感性,即0°<φ<90°,所以IDG1d.f必定对
起助增作用;而IDG1q.f仅在|δ|>φ时才有可能对
起助减作用。对于小电阻接地系统而言,系统和线路正序阻抗呈强感性,即φ≫0°且φ>|δ|,因此IIDG1输出的无功电流对
势必也起助增作用。
由式(2)和(6)可知,在IIDG输出电流尚未达到最大限值Imax的情况下,其有功电流取决于一次能源输入的大小,一次能源输入越大,则输出的有功电流越大,对
的助增作用也越大;IIDG的无功电流输出取决于PCC的故障正序电压,即取决于 IIDG的接入位置和故障点。以IIDG1为例,当其越远离系统电源且越接近故障点时,不仅
变大
变小,同时PCC正序电压跌落也越严重,为了支撑电网电压,IIDG1输出的无功电流也会越大。即IIDG1越远离系统电源且越接近故障点,IDG1.f和
将同时增大,式(6)分母不变,
变得越大,IIDG的助增作用越大。IIDG的助增作用必将造成馈线零序电流保护范围的越限,甚至误动。
3.2 算例验证
为了验证IIDG接入对小电阻接地系统馈线零序电流保护影响的理论分析结论,本文在MATLAB中实现所提零序电流迭代求解算法,计算在不同故障情况下馈线零序电流值,并进行分析。故障分析模型采用图1所示的小电阻接地系统模型,模型参数和2.2节所述的一致。
3.2.1 IIDG无功电流输出对馈线零序电流
的影响
由于IIDG有功电流输出必定对
起助增作用,因此只需分析IIDG无功电流输出对
的影响,就可知道IIDG对
是否必定助增。设IIDG1和IIDG2均不出力;IIDG1“T”接于线路中点,IIDG2的接入位置为母线N;分别在距离母线M 3 km处和6 km处发生单相接地故障。在
的计算公式中,令US和IDG2.f为0,IDG1.f取迭代完成时的值,所求
的幅值即为IIDG1对
的助增量,同理可得IIDG2对
的助增量,表达式如式(13)所示。

(13)
其中,
和
分别为IIDG1和IIDG2对
的助增量。当单位长度线路电阻变化、电抗恒定为0.35 Ω 时,利用所提零序电流迭代求解算法计算单位长度线路电阻与电抗的比值从0~4变化过程中各IIDG对
的助增量,结果如图4所示。

图4 单位长度线路电阻变化情况下馈线零序电流增量
Fig.4 Increment of zero-sequence current in feeder when line resistance in per unit length changes
由于2个IIDG均不出力,因此二者都只输出无功电流。由图4可见,仅当单位长度线路电阻与电抗的比值达到3.4以上时,IIDG2输出的无功电流才有可能对
起助减作用。对于小电阻接地系统而言,不论是电缆线路还是架空线路,其单位长度线路电阻与电抗的比值都无法达到该数值,因此可认为IIDG的无功电流输出必定对I 0m.f起助增作用。
3.2.2 IIDG对馈线零序电流
的助增情况
设IIDG1和IIDG2的出力均为5 MW;IIDG2接入位置为母线N;IIDG1并网点发生单相接地故障。利用所提零序电流迭代求解算法计算IIDG1并网点与故障点同时从母线M处移动至母线N处整个过程中各IIDG对
的助增量,结果如图5所示。

图5 IIDG接入位置和故障点变化情况下馈线零序电流增量
Fig.5 Increment of zero-sequence current in feeder when fault location and interconnected location of IIDG change
由图5可见,不仅IIDG1对
起助增作用,IIDG2虽位于故障点下游,也始终对
起助增作用。当IIDG1并网点与故障点同时向远离系统电源的方向移动时,IIDG1对
的助增作用越大;IIDG2与系统电源位置关系不变,故障点越靠近IIDG2,IIDG2对
的助增作用越大。这与IIDG越远离系统电源且越接近故障点对
助增作用越显著的理论分析结论相一致。
容量不同的IIDG对
的助增作用也不同,进而对馈线零序电流保护具有不同的影响程度,因此有必要分析不同容量的IIDG对
的影响。设2个IIDG具有不同的额定容量,其中一个IIDG的额定容量为5 MW,另外一个为380 V电压等级的IIDG,经过升压变压器直接接入10 kV馈线,其额定容量为380 V电压等级分布式电源的最大准入容量,即0.4 MW[19]。2个IIDG有功出力均为其额定容量,利用所提零序电流迭代求解算法计算IIDG1并网点与故障点同时从母线M处移动至母线N处的整个过程中各IIDG对
的助增量,结果如图6所示。

图6 不同容量IIDG的接入位置和故障点变化情况下馈线零序电流增量
Fig.6 Increment of zero-sequence current in feeder when fault location and interconnected location of IIDGs with different capacities change
由图6可见,由于2个IIDG的额定容量相差很大,其对
的助增作用也相差很大。额定容量为0.4 MW的IIDG对
的助增量约为额定容量为5 MW的IIDG对
的助增量的1/10,当接入数量不大时,其对馈线零序电流保护的影响可忽略不计,可通过可靠性系数消除零序保护误动的可能。
3.2.3 IIDG对馈线零序电流保护的影响
设馈线零序电流瞬时速断保护定值按躲开下一条线路出口处单相接地故障时可能出现的最大零序电流整定,且可靠系数取1.2。由计算可得:当系统不含IIDG时,线路末端发生单相接地故障,馈线零序电流为0.330 kA。因此,馈线零序电流瞬时速断保护定值为0.396 kA,保护范围为线路全长的77.3%,即保护范围末端与母线M相距4.4 km。同时设IIDG1“T”接于线路中点,IIDG2的接入位置为母线N;距离母线M 5.5 km处发生单相接地故障。利用零序电流迭代求解算法计算IIDG不同出力情况下馈线零序电流
结果如图7所示,图中曲面为
值,平面为保护定值。

图7 IIDG出力变化条件下5.5 km处发生单相接地故障时馈线零序电流
Fig.7 Zero-sequence current in feeder when output of IIDG changes and single-phase grounding fault occurs at distance of 5.5 km
由图7可见:当系统不含IIDG时,发生单相接地故障,
当2个IIDG出力均为5 MW时,IIDG对
的助增量达14.62%;IIDG对
的助增将使馈线零序电流保护范围越限,当IIDG出力达到一定值时保护误动。
综合图4—7可知,当小电阻接地系统接有IIDG时,不论是在IIDG上游还是IIDG下游发生接地故障,IIDG对馈线零序电流总是起助增作用。IIDG离故障点越近、系统电源越远、出力越大,其对馈线零序电流的助增作用越显著。IIDG的接入将造成小电阻接地系统馈线零序电流保护范围越限,并可能导致保护误动。
4 结论
为了研究IIDG接入对小电阻接地系统馈线零序电流保护造成的不可避免的不良影响,本文提出了具有低电压穿越能力的PQ控制型IIDG接入的小电阻接地系统零序电流迭代求解算法,通过仿真证明了该算法的有效性和准确性。从理论研究出发,揭示了IIDG接入对小电阻接地系统馈线零序电流保护的影响机理:IIDG越靠近故障点、越远离系统电源、出力越大,其对馈线零序电流的助增作用越大,将造成馈线零序电流保护范围越限,并可能导致保护误动。通过算例验证了理论研究的正确性。本文所提故障分析方法可用于含IIDG配电网的规划以及自适应零序保护的研究,进而为分布式能源在配电网中的广泛应用提供理论支撑。



