摘 要:给水系统中止回阀的存在是为了防止管路中的逆流过大破坏泵及其他设备,而安装止回阀又会影响系统水锤发生时的压力和流量。利用AFT impulse软件建立核电站给水系统的模型,模拟在突然停泵和阀门突然关闭时有无止回阀以及不同止回阀类型对系统水锤的影响,从中看出无止回阀时虽然系统中的水锤最大压力不大,但是逆向流量很大;普通止回阀的存在有效地抑制了管路中的水倒流,但同时增大了水锤压力;可控缓闭止回阀结合了两者的优点,既降低了水锤最大压力,又可以把管路中水逆流控制在合理范围。
关键词:止回阀;给水系统;水锤
止回阀常安装在给水泵出口处,目的是为了防止管路中的水倒流对给水泵和其他部件造成破坏。正常停泵和关阀时,管路系统中不会产生很大的水锤升压且止回阀很好地抑制了管路中水的倒流[1-3],而在突然停泵和关阀操作失当时,管路中可能由于止回阀的存在产生很高的水锤压力。
突然停泵是产生停泵水锤的原因。停泵水锤是指水泵机组因突然失电或其他原因造成开阀停车时,在水泵及管路流剧烈变化而引起的一种压力剧变现象[4-6]。突然停泵过程中,有普通止回阀和无止回阀是两种差别很大情况。在有普通止回阀时,一方面可以防止离心泵过大的反转转速,但另一方面当水流倒流,止回阀关闭时可能产生很大的水锤压力,这也是大多数装有普通止回阀的泵站最容易发生水锤事故的原因[7];无止回阀时,突然停泵后,给水泵的驱动力瞬间消失,但给水泵还在惯性作用下正转,转速迅速减小,直至变为零,继而又在反向水流作用下开始反向逆转。给水泵正是在正转和反转这两个过程中不断交替,同时能量不断被消耗[8]。其中给水泵反向转速过大易造成泵的机械损坏。
给水系统末端阀门突然关闭时普通止回阀随着液体的正向流速变为零时也迅速关闭,管道中的水不断冲击着阀门,同时对关阀引起的水锤最大压力也有一定的影响。
1 理论分析
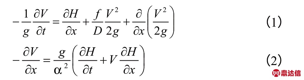
水锤基本方程是水力过程分析和计算的基础,它包含以微分方程式表示的运动方程和连续性方程[9]。运动方程和连续性方程可表示为。

式中 D——管道直径,mm;
f——管道摩阻系数;
g——重力加速度,m/s2;
H——产生水锤时管中的测压管水头,m;
t——水锤波传播的时间,s;
V——产生水锤时管中的流速,m/s;
x——水锤波传播的距离,m;
α——水锤的传播速度,m/s。
管道发生水锤时伴随着压力的变化,其计算公式如下[10]:
式中 ΔP——压力变化量,Pa;
ΔV——速度的变化量,m/s;
ρ——水锤发生前的流体密度,t/m3。
2 模型分析
本文以某百万MW 级核电站工程实例为基础,利用AFT impulse 软件,建立核电站二回路给水系统模型,介绍止回阀对水锤压力的影响,图1是模型简化图。
系统的工作参数如表1所示。

图1 给水系统模型
Fig.1 Water System Model
表1 系统参数
Table 1 System parameters

3 结果分析
3.1 突然停泵时有普通止回阀和无止回阀对水锤的影响
突然停泵时,给水泵因惯性继续正转,但转速快速下降,给水提供的压力迅速减小,管路中的水向正方向流动速度减慢直至为零,继而反向流动。当有止回阀时,止回阀出口处的压力先减小后升高,图2中止回阀出口压力变化曲线与理论相符。从图2中还可以看出给水泵出口安装普通止回阀时产生的水锤最大压力较大,且水锤压力衰减较慢,这说明系统将在相对较长的时间里处于不稳定状态;无止回阀时水锤最大压力较有普通止回阀时低且波动衰减很快。

图2 停泵时止回阀出口压力变化
Fig.2 The outlet pressure of Check valve changes when pump stop
从图3可以看到,有普通止回阀的给水系统,给水泵出口流量在止回阀关闭后迅速减小到零附近,之后流量变化不大,反向流量几乎可忽略,这说明给水泵出口安装普通止回阀时能防止叶轮的反向旋转。而无止回阀给水系统中,流量减小到零时并没有停止而是继续反向增大,从图中看出反向流量最大值比正向流量最大值还大,这表明给水泵在无止回阀的情况下,反向旋转会超过正向旋转速度,可能对给水泵和其他设备都造成损害。

图3 给水泵出口流量变化
Fig.3 The flow changes of pump outlet
3.2 可控缓闭止回阀对水锤的影响
从图4中可以看出,突然停泵的情况下,无止回阀时给水系统的水锤升压与有普通止回阀和有缓闭止回阀时相比最低,并且水锤压力波动衰减很快;装有普通止回阀的管路系统水锤最大压力最高,水锤压力波动衰减很慢,水锤压力要达到稳定状态要经历很长的一段时间;给水泵出口装有可控缓闭止回阀时给水系统的水锤最大压力介于无止回阀和有普通止回阀两种情况之间,并且压力衰减速度也在两者之间。但是这里需要指出的是不同的工况时,缓闭止回阀的动作设计是不同的,不合理的动作设计不仅不利于减小水锤的危害,还可能导致比普通止回阀更不利的水锤压力。

图4 三种情况压力对比图
Fig.4 Pressure comparison of three cases
从图5可以看到,给水泵出口安装缓闭止回阀时,反向流量介于不安装止回阀和安装普通止回阀两者之间,即给水泵的反向旋转速度介于两种情况之间,结合图4可以知道,给水泵出口安装缓闭止回阀有利于在减小水锤最大压力的同时控制给水泵反向最大飞逸转速。

图5 三种情况流量对比图
Fig.5 Flow comparison of three cases
3.3 末端阀门突然关闭时,有无止回阀对水锤的影响
从图6中可以看出,有普通止回阀时,末端阀门入口处水锤压力最大值较大,波动衰减较慢,波峰间隔较短振动较快,压力波动范围较小,而无止回阀时,水锤最大压力衰减较快,从图上可以看出,大约10 s 以后压力波动就不十分明显了。

图6 给水系统末端阀门入口压力变化
Fig.6 Pressure changes in valve inlet of the end of water supply systerm
从流量变化对比图(图7)可以知道,泵出口在装有普通止回阀的情况下,末端阀门关闭后,流量迅速减小到零附近,之后泵出口的流量值波动不大,由此可知给水泵反转速度不大。而无止回阀情况下,反方向流量较大,故可以知道无止回阀的情况下,泵更容易反向转动且反转速度较大。

图7 给水泵出口流量变化对比图
Fig.7 The outlet flow changes of pump
4 结束语
无止回阀时,核电站给水系统突然停泵时引起的水锤最大压力值不大且衰减很快,但反向流量很大,会引起泵反转,反向最大逆转速度很大;装有普通止回阀的给水系统中,泵的反转被很好的抑制,但同时增大了最大水锤压力,这也是许多装有普通止回阀的核电厂最容易发生水锤事故的原因。
缓闭止回阀很好地把以上两种的优点结合起来,即消弱了最大水锤压力,也把泵反转速度控制在可接受的范围之内,但可控制的缓闭止回阀的关闭动作不好确定,不同的管路中缓闭止回阀的关闭动作是不同的,要设定合理的可控缓闭止回阀的关闭动作。



