摘要:导热系数是表征绝热材料绝热性能的最重要的热物性参数,对于低温绝热材料导热系数的研究是研究低温绝热材料的关键。不同类型的绝热材料需要不同的测试装置,文章主要总结了几种低温绝热材料的导热系数测试装置及其国内外相关研究情况。相关装置主要有:平板法、同心圆柱法、同心球法和蒸发量法等。粉末类绝热材料是一类重要的低温绝热材料,发展相关的低温绝热性能测试方法及装置非常重要,以便能够得到真实可靠的实验数据,进一步制作经济、高效的低温绝热体系。
关键词:绝热材料;低温;导热系数;粉体材料
0 引言
近年来,低温技术在国防、能源、科研、医疗以及工农业等领域的应用得到了大幅度拓宽,无论是在前沿科学研究中还是在国民经济的各个领域中低温技术都受到了高度的重视,而低温技术的发展离不开高性能绝热材料的应用。为了设计出更加经济、合理的绝热结构,需要研究不同类型的绝热材料在低温下的绝热性能。导热系数是表征绝热材料绝热性能的最基本、最重要的热物性参数,开展低温下绝热材料导热系数的研究是开发新型低温绝热材料和结构的关键。文章结合国内外低温导热系数测试的现状,主要总结了几种低温绝热材料导热系数的测试方法及装置,供相关专业的科研工作者参考和借鉴。
1 低温导热系数的测试方法
低温绝热材料导热系数测试一般基于稳态法,稳态法是以傅立叶一维传热定律为理论依据,要求在待测样品内部的热量传递达到稳定的状态,即使待测样品内部建立一个稳定的温度分布,通过测定加热功率、传热截面积及温度梯度来计算导热系数。
式中:Φ为传热速率;λ为导热系数;A为传热截面积;dt/dδ为温度梯度,负号表示传热方向和温度梯度相反。
这种方法计算公式简单,测量准确,可用于宽温区测量,但此方法测试时间较长,并对测量环境(如测量系统的绝热条件、测量过程中的温度控制、样品的形状尺寸等)的要求较为苛刻。
常用的低温绝热材料分为四种:泡沫绝热材料、纤维绝热材料、粉末绝热材料和多层绝热材料。不同绝热材料的导热系数测试方法不同,主要总结了双平板法、同心圆柱法、同心球法、蒸发率测试法等四类方法测试绝热材料的导热系数。
1.1 平板法
平板法是测量块状绝热材料导热系数的常用方法,其原理基于傅里叶一维稳态传热定律。保护热板法是平板法的一种,美国材料实验协会已经制定了测试标准(ASTM C177)[1]。这种方法是用一个电加热盘作为热源,加热盘两边分别放置相同规格的待测样品,待测样品外面放置冷板。在加热盘、样品和冷板分别放置温度计,读取温度;外围放置保护板,减少漏热,示意图如图1所示。测试时,首先要精确测量待测样品的厚度和传热面积;然后通过加热盘提供一定的功率,使加热盘、待测样品和冷盘间形成温度梯度,直到达到稳态,即温度不再随时间变化;最后用傅里叶一维平面传热定律,即可计算待测样品的导热系数。

图1 保护热板法装置示意图
Fig.1 Schematic of device using guarded hot plate method

式中:Q为中心热盘加热功率;A为样品传热截面积;l为样品平均厚度;Th-Tc为冷热板之间的平均温差。
平板法在国内也有应用,刘辉明等[2]提出了一种双平板法测试泡沫绝热材料低温导热系数的装置,如图2所示。这种方法取消了保护板,加入了辐射屏来减少漏热。特别是为了加快降温速率,该装置设置了气体热开关,大大缩短了降温时间,提高了测试效率。用该装置测试了聚氨酯泡沫塑料样品低温下的热导率,得到了可靠的数据。

图2 双平板法装置示意图
Fig.2 Schematic of device using double plates method
1.抽真空管;2.热开关;3.真空罩上法兰(铟封);4.辐射屏上法兰(热沉及控温);5.热铜线链接;6、9.环氧树脂螺栓;7.中心热板;8.冷板;10.辐射屏;11.真空罩;12.样品1;13.样品2
平板法测试绝热材料的导热系数简单方便,可测量相同的两块待测样品的平均导热系数,使测试结果更加准确。但很难应用于粉末类绝热材料。平板法测试粉末类材料,难以安装,如果增加支撑,又会引起漏热,使导热系数很难计算。所以,研究粉末类绝热材料的导热系数,必须借助其他装置。
1.2 同心圆柱法
同心圆柱法可用来测试粉末类绝热材料在低温下的导热系数。粉末绝热是一类重要的低温绝热材料,具有质轻、导热系数小、化学稳定性高、阻燃性好等优点,包括膨胀珍珠岩、气凝胶、膨胀蛭石、空心玻璃微珠等。虽然粉末类材料的绝热性能没有真空多层绝热材料好,但粉末类材料具有真空度要求不高(10-1Pa),易用于复杂形状绝热,后期维护简便等特点,这些性能是其他绝热材料无法相比的。
1926年Aberdeen等[3]提出了用同心圆柱法测试粉末类绝热材料的导热系数。这种方法属于径向热流法,是傅里叶一维传热定律在柱坐标下的应用。这种装置由两个同心圆柱构成,内圆柱用于提供一定的热流量,外圆柱浸泡在低温液体中,内外圆柱之间充满粉末类绝热材料。内圆柱提供一定的加热功率,当传热在待测样品中达到稳态时,即可计算出待测样品的导热系数。同心球法属于径向热流法,是傅里叶一维传热定律在柱坐标下的应用。为保证内外圆柱同心,之间应有一定的支撑,这就会产生漏热,这种漏热通常很难准确计算。所以,同心圆柱要设计的很长,增大长径比,减少轴向漏热的比例,使计算出的待测样品的导热系数能够更加准确。
1.3 同心球法
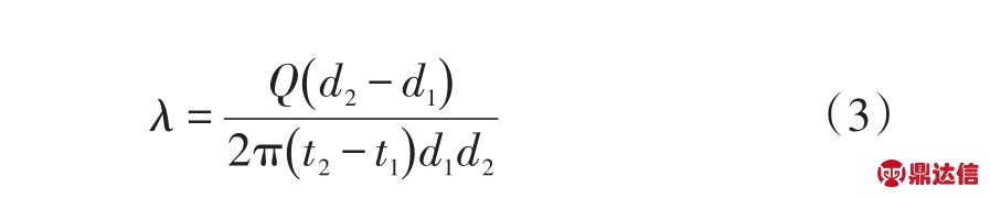
为了消除同心圆柱法中的轴向支撑所带来的漏热,1977年Nayak等[5]提出了同心球法测试粉末类绝热材料的导热系数,示意图如图3所示。同心球法也属于径向热流法,是傅里叶一维传热定律在球坐标下的应用。在球坐标中,热量传递仅通过径向传递,即温度仅随半径R的变化而变化,可认为是一维稳态导热。该装置由两个同心球构成,内球为加热球,提供一定的热流量,外球与低温液体接触,为测试提供低温环境,内外球之间充满粉末类绝热材料。内球提供一定的加热功率,当传热在待测样品中达到稳态时,即可计算出待测样品的导热系数。

图3 同心球法装置示意图
Fig.3 Schematic of device using concentric sphere method
1.测试仓;2.加热杆;3、6.温度计;4.内加热器;5、15.螺栓;7.调整螺栓;8.尼龙杆;9.铜密封垫;10、13.抽气孔;11、18.铜引线;12.镇料槽;14.钽引线;16.外球;17.内球;19.铜杆;20.钢;21.铜

式中:d1、d2分别为内、外球直径;t1、t2为内外球壁温度;Q为热流量。
若可准确调节内外球处于同心位置,该装置可以比较准确的获得粉末绝热材料的导热系数(需要除去导线及尼龙棒引起的漏热),该装置还能够测量粉末绝热材料在任意温区和真空度下的导热系数。但该装置要严格控制各种相关测量条件(如测量系统的绝热条件、测量过程中的温度控制、同心球装置的形状、尺寸、精密度等)。
1.4 蒸发率法
蒸发率法又叫量热器法,是通过测试被绝热材料包裹的充满液氮的低温量热器的液氮蒸发量来计算绝热材料的低温导热系数。其主要装置为圆筒量热器,主要用于多层绝热材料低温导热系数测试,也可用于粉末类绝热材料。
真空多层绝热材料一般由低辐射率的屏材料和低热导率的间隔物组成,也有兼两种作用的复合材料。其中,最常见的有铝箔、镀铝涤纶薄膜、铝箔纸、玻璃纤维布等。真空多层是目前低温绝热材料中导热系数最低的绝热材料,能达到10-4W/mK,被称为“超级绝热材料”。但其存在一定的漏热,真空度要求较高(要求达到10-3Pa以上),后期维护困难等缺点。
1.4.1 蒸发率测试法测试真空多层绝热材料导热系数
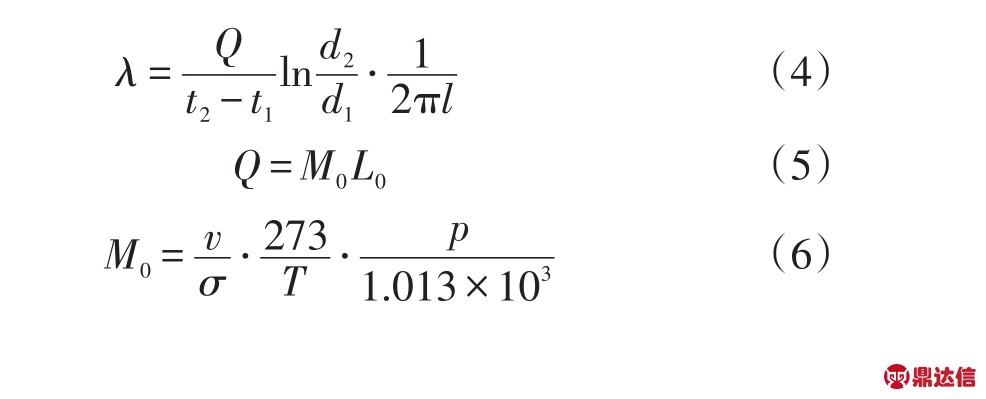
Fesmire等[6]用圆筒量热器测试了真空多层绝热材料的导热系数,图4给出了该装置图及温度计摆放位置。该装置直径167 mm,长910 mm,分为三段,即上保护容器、测试容器和下保护容器,其中测试容器长度为575 mm。测试时,将上保护容器、测试容器和下保护容器充满液氮,使内筒温度维持在78 K;将外筒置于室温下,并配有加热器调节温度,使外筒温度维持在293 K。当装置中的热量传递达到稳定时,测量测试容器段的液氮蒸发量,可通过式(4~6)[4]计算出多层绝热材料的导热系数。Fesmire等[6]用该装置测量了30层多层绝热材料在不同真空度(0.001~1 000 Pa)的导热系数,测试结果如图5所示。可以看出,当真空度大于0.1 Pa时,多层绝热材料的绝热性能大幅度降低。可见真空多层绝热材料对真空度的要求比较高。

式中:d1、d2为多层绝热材料的内外径;l为多层绝热材料的测量段长度;t1、t2为多层绝热材料的内、外壁温度;L0为低温液体的汽化热;V为一定温度、压力下测量时的蒸发量;p、T为蒸发气体进入流量计时的压力与温度;Q为测量容器的热流量;M0为标准状态下的蒸发量。

图4 圆筒量热器测试真空多层绝热材料的导热系数装置图
Fig.4 Schematic of device on thermal conductivity measurements of multilayer thermal insulation materials using cylindrical calorimeter

图5 30层多层绝热材料在不同真空度下的导热系数
Fig.5 Thermal conductivity of 30 layers multilayer insulation material under different vacuum degree
相关的研究在国内也有报道,陈光奇等[7]采用蒸发率测试法测试了三种真空多层绝热材料在低温下的有效导热系数,实验误差范围在10%~20%之间,实验装置主要采用如图6所示的圆筒量热器,本装置也由上保护容器、测量容器和下保护容器三段构成。只需测量测试容器的外径和长度、包覆多层绝热材料后的外径,及测量容器中一段时间内的液氮蒸发量(蒸发量达到稳态后),即可通过式(4~6)计算出待测多层绝热材料的导热系数。

图6 圆筒量热器导热系数测试装置示意图
Fig.6 Schematic of device on thermal conductivity measurements using cylindrical calorimeter
1.下密封法兰;2.真空容器;3.下保护段容器;4.测量段容器;5.测试样品;6.上保护段容器;7.抽真空接口;8.测量管加注口;9.保护段容器液氮加注口;10.测量管出气口;11.上密封法兰
1.4.2 蒸发率测试法测试真空粉末绝热材料导热系数
Fesmire等[8]用圆筒量热器测试了粉末类绝热材料的导热系数,测试装置如图7所示。

图7 圆筒量热器测试粉末类绝热材料的导热系数装置图
Fig.7 Schematic of device on thermal conductivity measurements of powder thermal insulation materials using cylindrical calorimeter

图8 空心玻璃微珠、珍珠岩、气凝胶不同真空度下的低温
导热系数曲线图
Fig.8 Low temperature thermal conductivity of hollow glass bead,perlite,aerogel under different vacuum degree
图7的圆筒量热器直径167 mm,高900 mm,绝热层厚度25 mm,也由三段构成,即上保护容器、测试容器和下保护容器。用该装置分别测试了珍珠岩、气凝胶和空心玻璃微珠在不同真空度下的低温导热系数。测试介质为液氮,使绝热层内部温度稳定在78 K,用额外的加热器使外部温度稳定在293 K,测试不同真空度(1.33×10-2~1.0×105Pa)下的三种粉末类绝热材料的低温导热系数,测试结果如图8所示。可以看出,粉末类芯材对真空度的要求不高,在1 Pa以下即可显示出良好的绝热性能;三种粉末类绝热材料相比,空心玻璃微珠的绝热性能最好。
1.4.3 蒸发率测试法测试微球绝热板导热系数
Allen等[9]用平板量热器装置测试了微球绝热板(Microsphere Insulation Panels,MIP)在不同压力下低温导热系数,如图9所示。测试装置由真空室、液氮室、待测样品、加热器、温度计和称量台组成,测试原理是:加热器输入一定功率的热量,当传热达到稳态时,用称重法测试一段时间内液氮室液氮的减少量,即可算出待测样品的导热系数。Allen等测试了冷热端温度分别为78 K和293 K,不同真空度(1.33×10-2~1.0×105Pa),不同压力(0 Pa、9 Pa、20 Pa)下MIP的导热系数,测试结果如图10所示。

图9 平板量热器装置图
Fig.9 Schematic of device using tablet calorimeter

图10 MIP在不同真空度、压力下的导热系数曲线图
Fig.10 Thermal conductivity of MIP under different vacuum and pressure
1.4.4 比较法测试多层绝热材料的导热系数
Johnson等[10]用圆柱比较量热器研究了包裹真空多层绝热材料过程中的不同类型的缝隙对绝热性能的影响,装置示意图如图11所示。装置内筒盛放液氮,直径132 mm,高533 mm,液氮仓上下各放置5个气凝胶盘作为保护,减少漏热。在液氮仓及气凝胶盘外面包裹40层(12.5 mm)真空多层绝热材料,即可测出液氮室中的总漏热情况,进一步可计算出所包裹真空多层绝热材料的导热系数。分别测试了三种真空多层绝热材料的包裹方法(直接重叠、折叠和裹卷)对装置绝热性能的影响,内筒温度为78 K,外筒温度为293 K,测试分别在不同真空度(高真空、低真空、无真空)下进行,结果显示,折叠法包裹的量热器,漏热量最少。

图11 比较量热器装置示意图
Fig.11 Schematic of device using comparative calorimeter
1.真空泵;2、4.传感器引线;3.蒸发量测量;5.真空测量;6.加热棒;7.称量台;8.下气凝胶保护仓;9.真空室;10.绝缘材料;11.LN2出入口;12.上气凝胶保护仓;13.液氮容器
蒸发量测试法的优点是可准确模拟绝热材料在日常使用时的实际状态,这对绝热材料实际应用有关键的作用;但也仅能测试绝热材料在低温液体温度-室温下的导热系数,不适合测量绝热材料在其他温区的导热系数;同时周围环境中温度湿度的变化对液氮蒸发量有着一定的影响,液氮蒸发量一般呈波动状态,对测试结果准确度造成一定的影响。
2 总结
综上所述对于块状绝热材料,双平板或保护热板法是比较适合的测试方法;对于粉末类绝热材料,同心球法是很好的获得导热系数的方法,不但测试准确,且能获得更宽温区、任意真空度条件下的导热系数;而蒸发量测试法可准确模拟绝热材料在日常使用时的实际状态,这一环节在绝热材料获得应用之前也是必不可少的。
用稳态法研究绝热材料的导热系数主要是基于傅里叶一维传热定律,但是研究不同类型的低温绝热材料的导热系数需要不同的测试装置。从目前国内外的研究情况来看,主要是NASA针对不同的绝热材料研究了不同的量热器测试装置,并开展实验,得到了一系列相关的实验数据。粉末类绝热材料是一类重要的低温绝热材料,发展相关的低温绝热性能测试方法及装置非常重要,以便能够得到真实可靠的实验数据,进一步制作经济、高效的低温绝热体系。



