摘 要 针对常用混合动力汽车(Hybrid electric vehicle,HEV)中锂离子电池在功率波动较大时难以满足需求,以及单个驱动周期内HEV燃油能耗大且能量不能很好回收等问题,研究采用锂离子电池和超级电容器混合储能系统(Lithium-ion battery and super-capacitor hybrid energy storage system,Li-SC HESS)与内燃机共同驱动HEV运行.结合比例积分粒子群优化算法(Particle swarm optimization-proportion integration,PSO-PI)控制器和Li-SC HESS内部功率限制管理办法,提出一种改进的基于庞特里亚金极小值原理(Pontryagin's minimum principle,PMP)算法的HEV能量优化控制策略,通过ADVISOR软件建立HEV整车仿真模型,验证该方法的有效性与可行性.仿真结果表明,该能量优化控制策略提高了HEV跟踪整车燃油能耗最小轨迹的实时性,节能减排比改进前提高了1.6%∼2%,功率波动时减少了锂离子电池的出力,进而改善了混合储能系统性能,对电动汽车关键技术的后续研究意义重大.
关键词 混合动力汽车,混合储能系统,PSO-PI控制,庞特里亚金极小值原理
能源危机现在已经成为全球性的问题,为了解决日益贫乏的自然能源和越来越恶劣的地球环境问题,实现汽车工业的可持续发展,建立清洁可再生的新能源体系成为人类社会发展的必然选择.混合动力汽车低排放、噪声低、热效率高、环保效果显著、可改善能源结构以及可回收利用的能量多等优点成为汽车工业的必然发展趋势[1].考虑锂离子电池本身制约其性能和使用寿命的关键因素,采用锂离子电池和超级电容器混合储能系统(Lithium-ion battery and super-capacitor hybrid energy storage system,Li-SC HESS)运用于混合动力汽车(Hybrid electric vehicle,HEV).如何协调各储能单元出力、实时对整车动力系统能量优化管理[2−4],实现Li-SC HESS性能的优化运用并尽可能减少整车燃油能耗,是推动HEV快速发展的关键技术之一[5−6].能量管理控制系统由于非线性、多变量、时变等因素是混合动力汽车研究的难点[7−8].各国研究者都投入了大量研究,Santucci等[9]提出了一种新的模型预测控制与DP(Dynamic programming)算法结合的动态优化方法,综合考虑了超级电容器(Super-Capacitor,SC)、锂离子电池的荷电状态(State of charge,SOC),以及简化的电池老化模型等因素;Masih-Tehrani等[10]考虑燃料消耗和周期性的电池替换等因素,提出了基于HEV管理成本的DP算法,较大程度地提高了能耗经济性.但运用DP算法求解的计算量比较大,耗费时间比较长,实际应用上难度比较大.基于规则和PI控制方法实现起来比较简单,但不具有良好的工况适应性[11].在线辨识可以及时获取最新的被控对象,但是必须基于最新的模型设计[12].而基于庞特里亚金极小值原理(Pontryagin's minimum principle,PMP)算法的能量优化控制策略,凭借其计算速度快,计算量较DP算法小的优点成为近年动态全局优化理论的研究热点[13].
本文针对Li-SC HESS的HEV,采用PMP全局优化控制算法,结合Li-SC HESS内部功率限值管理策略对HEV进行能量优化控制,以期优化管理锂离子电池的充放电状态,改善Li-SC HESS性能,同时保证整车行驶过程中车辆的燃油能耗可以实时跟踪燃油能耗最小轨迹.
1 HEV整车驱动模型
1.1 HEV整车组成架构
HEV按照动力总成结构可划分为串联式HEV、并联式HEV和混联式HEV.其中,串联式HEV整车控制系统比较简单,但能量转换次数较多,容易对锂离子电池使用寿命造成威胁;并联式HEV两套驱动系统既可单独驱动也可共同驱动车辆,能源利用率和燃油经济性比较高,但是整车结构比较复杂,控制难度大;混联式HEV在结构上综合了串联式和并联式的特点,可是控制难度更大.综合考虑,为尽可能减少燃油能耗,本文主要采用并联式HEV,以混合动力汽车丰田普锐斯(Prius)为研究对象,其动力型组成架构如图1所示[14−16].其中,Tw,Tice,Talt分别为车轮、ICE、电机的转矩;ωw,ωice,ωalt分别为车轮、ICE、电机的转速;ρ为减速器效率;设变速箱共有k个齿轮,对应第k个齿轮的变速比为R(k).
HEV动力系统的整车功率流如图2所示,箭头表示其流动方向,双向代表能量可双向流动[17].动力总成工作模式下,HEV驱动周期内的能量一部分来源于内燃机的能量转化,另一部分则来源于Li-SC HESS的电能驱动.考虑交通环境和道路因素限制,电动汽车尤其是城市公交客车经常处于停车、起步、加速或滑坡、平稳行驶、减速等异常频繁的运行特点下,合理优化分配Li-SC HESS中锂离子电池和SC的输出功率,可在HEV上发挥很好的优势,能有效地减小燃油能耗,提高HEV的经济性能[18].当车辆起步时,为减少内燃机能耗,优先使用SC通过电动增压装置提供瞬时高功率,减少锂离子大电流放电对其自身寿命的冲击;在HEV平稳行驶过程中,锂离子电池做Li-SC HESS主电源来补充电机的部分功率需求;当车辆加速或爬坡行驶时,为满足较高的功率需求,平滑锂离子电池的充放电过程,SC优先补充电机峰值变化功率缺额;车辆制动或下坡时,SC和锂离子电池同时回收制动能量,不过开始时SC优先回收大电流比功率的能量.

图1 HEV整车组成架构
Fig.1 HEV component architecture

图2 HEV动力系统的整车功率流向示意图
Fig.2 Power flow schematic of HEV power system
1.2 Li-SC HESS模型
Li-SC HESS作为HEV的储能装置,其控制模块也相应地属于整车控制的一部分,选取合适的混合储能系统等效电路模型(包括其拓扑结构和各储能元件的等效电路模型)及控制变量,是开展HEV动力系统能量优化控制策略研究的前提条件.Li-SC HESS拓扑结构因其组成部件、实际应用情况和连接方式的不同产生差异,主要有4种:SC和锂电池直接并联;SC和锂离子电池通过独立配置各自DC/DC变流器并联;锂离子电池(SC)接DC/DC与SC(锂离子电池)并联.综合考虑HESS的组合类型优势、能量转换效率、系统结构的复杂程度等因素,SC连接DC/DC变换器再与锂离子电池并联结构(图3),比较适合目前HEV整车的动力性和成本的需求,在车辆处于加速或爬坡行驶时,能快速补充电机较高的瞬时功率需求,还可在车辆减速、下坡和制动时很好地回收能量.相对于锂离子电池,SC通过各自独立配置的DC/DC变换器并联的拓扑结构,控制方法较简单,控制效率也比较高,能较好地满足本文减少整车燃油能耗的需要.

图3 Li-SC HESS拓扑结构
Fig.3 The topology of Li-SC HESS
1)锂离子电池模型
采用锂离子电池等效的一阶RC并联电路模型即Thevenin模型(图4),它计算量少成本低,目前已被几个锂离子电池商家通过实验验证并选择,例如索尼US18650、松下CGR18650等.

图4 锂离子电池等效的一阶RC并联电路模型
Fig.4 Lithium-ion battery equivalent model based on if rst-order RC parallel
车载行驶条件下,不同路况时电流会随着电机不同的功率需求而发生剧烈变化,锂离子电池的温度等环境因素也会随之受到影响,进而对锂离子电池的使用寿命及安全性产生威胁,由图4,锂离子电池的SOCbat(t)表示为


其中,Qbat.0是锂离子电池的容量,α(Ibat(t)),β(Tbat(t))分别是电池充电/放电速率影响因子、热效应影响因子,分别对应电池的电流Ibat(t)和温度Tbat(t);SOCbat,0为电池荷电状态初始值;m为电池的质量;cp为电池的比热容;Vbat为电池等效模型的端电压;hc为对流热传递系数;A为等效的表面面积;Ta为电池的环境温度.
由式(1)可知,SOCbat(t)与当前时刻电池Tbat(t),Ibat(t)有关,而Tbat(t)也是当前时刻Ibat(t)的函数.综合得知,SOCbat(t)最终可由它与当前时刻Ibat(t)函数关系表征.

同理,电池瞬时功率pbat(t)及相应的电流Ibat(SOCbat(t))表示为

其中,Rbat为锂离子电池的等效内阻,“//”表示并联运算.
2)SC模型
类似地,考虑结构灵活性和较低的计算成本等,SC模型采用等效一阶RC并联电路结构(图5),其各参数物理意义明确,在HEV动力系统驱动的复杂工况下,能很好地描述大电流、电压波动的需要,工程实用度比较高.
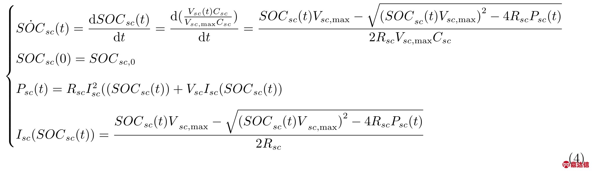
Csc上的电压Vsc(t)类似于锂离子电池两端电压Vbat(t),则SC 的SOCsc(t)、瞬时功率Psc(t)及相应电流Isc(SOCsc(t))表达式见式(4).
式(4)中,Rsc为SC等效内阻,由Repsc与Csc并联再与Res-sc串联等效而成;Vsc,max为电压Vsc最大值.Psc(t)为SC瞬时功率;SOCsc,0则为SC荷电状态初始值.


图5 等效一阶RC并联电路结构的SC模型
Fig.5 SC equivalent model based on first-order RC parallel circuit
2 HEV能量优化管理问题描述
2.1 控制目标函数选取
为响应绿色能源经济的发展目标,需较好地发挥Li-SC HESS的工作性能,最大限度地减少内燃机能耗,降低经济成本,减少石油等化石能源消耗和环境污染程度,将内燃机能耗最小为本文的控制目标变量.在HEV动力系统的整个驱动周期[0,T]内,设内燃机能耗函数Qc为

其中,T为计算的结束时刻;Pfuel(Tice(t),ωice(t))为t时刻的瞬时燃油功率;相应ICE转速为ωice(t),转矩为Tice(t).
2.2 目标函数控制量的约束条件
HEV车的能量优化管理需要从全局角度综合考虑目标函数的限制约束性,主要从车辆结构约束、ICE和电机物理模型约束及Li-SC HESS状态约束三个方面考虑.
1)车辆结构约束
设计合理的能量优化控制策略时,通常将电动汽车的驱动力和车速视为给定的系统状态条件,分别记为Fv(t)和v,为方便描述,通常将其转化为驱动周期内后向系统车轮转矩Tw(t)和车轮转速ωw(t),即可分别转化成驱动周期下车辆Tice(t)与Talt(t)、ωice(t)与ωalt(t)的叠加(车辆电机输出端的转矩为Talt(t)、转速为ωalt(t)).具体关系描述为

其中,k(t)为车辆齿轮数,驱动周期通常由ωw(t)和k(t)共同定义,且当ωw(t)和k(t)已知时,在所要求的车轮转矩Tw(t)下可以很容易地推导出内燃机能耗函数Qc的动力学方程式(5).
2)ICE和电机物理模型控制约束
ICE是一个复杂的系统,其中许多物理现象不容易建模,例如燃烧过程.在此,忽略ICE的温度依赖性和其自身的动态特性.用静态的查表法(Look-Up-Table,LUT)得到关于Tice(t)和ωice(t)的瞬时燃油能耗函数分布曲线图(图6(a)),同理,给定Talt和ωalt,结合有关电机LUT法,得到电机效率函数及相应的最大电流曲线图(图6(b)和图6(c)).
由图6静态查表法可以看出,ICE和电机转速都给定时,对应转矩分别受其最大可用转矩的限制,即有

由式(6)可知,主轴转矩Tps(t)=Tice(t)+ρTalt(t),考虑电机转矩的限制条件,当任意 t时刻时,ICE极小值
和极大值
满足


图6 静态查表法得到的相关曲线图
Fig.6 Static correlation table obtained by the relevant curve
3)Li-SC HESS控制约束条件
储能元件中,荷电状态是表征储能元件过充过放和循环使用寿命的重要参量.根据Li-SC HESS等效数学模型,一定驱动周期内,为尽可能减少其充放电次数,需限制其荷电状态SOCbat(t)及充放电过程中的电池电流Ibat(t),及SC的SOCsc(t)和Isc(t).

由于锂离子电池和SC都属于能量缓冲装置.在充电持续状态下,PMP算法计算时为评估能量优化控制的燃油经济性,需满足末端约束条件∆SOCbat≈0和∆SOCsc≈0,其中

3 基于PMP算法的能量优化管理策略
3.1 构建Hamiltonian函数
由式(5)有关ICE能耗函数Qc,即PMP算法的性能泛函方程,当终端时间T给定时,能耗问题可转化为终端状态受约束的拉格朗日问题,对应哈密尔顿(Hamiltonian)函数为

其中,为了将Li-SC HESS中锂离子电池和SC的动态特性紧密联系起来,且考虑SC优先快速响应大电流变化的特性,并对其进行过充过放保护,本文引入一个动态缓冲变量Φ(SOCsc)作惩罚函数来约束Li-SC HESS动态过程,具体描述为

其中,
,当且仅当SOCsc满足式(12)时,
.则有,![]()
,其终端约束条件为
.
3.2 Hamiltonian函数取极值的必要条件及求解
根据Hamiltonian函数方程式(11),寻求Qc取极小值的必要条件,即满足协态方程组(式(13)),以求解出协态变量的初始值.

其中,

为控制变量Tice和IDC,o的可容集.
综合上述可知,t时刻的最优控制问题转化为求解Li-SC HESS荷电状态的初始条件SOCbat,0和 SOCsc,0,以及协态变量初值 λ0=(λ10,λ20,λd0).其中,SOCbat,0,SOCsc,0可以直接给出,则亦进一步简化为,在车辆驱动周期内的边界条件约束下Li-SC HESS各储能单元的初始出力系数λ10和λ20以及惩罚力度因子λd0的求解,使协态初值λ0作用下控制变量Tice和IDC,o在可容集Ω范围内取极小值.
此时,若定义s1= −λ1/Ebat(SOCbat)Qbat,0;s2=−λ2/SOCscCsc,该系统的Hamiltonian数学模型可表示为

式 (16)中,Pfuel(Tice,ωice),Pbat,i(SOCbat)和Psc,i(SOCsc,IDC,o)分别对应当前时刻ICE燃油能耗功率、内部锂离子电池功率和SC的功率,s1,s2,λd分别为Li-SC HESS内相应的加权因子.可明显看出,Hamiltonian函数的实际意义描述为等效燃料动力函数,即HEV一定驱动周期内车辆使用的所有能源的加权功率之和,这与能量守恒定律相一致,从物理学层面验证了PMP算法在实际对象中应用的可行性.运用PMP算法求解得出在线因果系统进而对协态参数的在线控制,称为“λ–控制”方法.
3.3 基于PSO-PI 实时优化的“λ−控制”
上述求出的协态变量初始值λ0是在离线状态下的常量,但在循环驱动周期内使用PMP算法每次迭代最优燃油能耗时各能源的输出功率不同,故须保证任意时刻“λ–控制”的实时性.本文采用粒子群优化(Particle swarm optimization,PSO)算法寻优PI闭环控制器的参数,形成PSO-PI控制器来实时优化“λ–控制”,以提高反馈闭环控制的灵活性和自适应的特性,并提高其鲁棒性,且收敛速度快,易实现,计算效率高.
考虑Li-SC HESS各储能单元的荷电状态SOC(t),假设当前时刻Li-SC HESS荷电状态的参考值为SOCref,计算机控制系统环境下,设定采样周期T,t=kT,引入PI闭环反馈,对应PSO-PI控制框图如图7.

图7 PSO-PI实时优化的“λ–控制”框图
Fig.7 PSO-PI real-time optimization “λ-control” block diagram

则只需对PI控制器的kp和ki两个参数进行优化,即D=2.根据ITAE(Integral of time multiplied by the absolute value of error)指标,综合考虑了稳态误差和调节时间的性能指标,超调量小且过度平稳,实用性较好.故采纳ITAE准则来计算PSO算法的目标函数.此外,PSO算法中待优化问题的每一个潜在最优解分别代表一个可解空间中的粒子,例如粒子i,对应第i个粒子适应度函数下的适应度值,若引入粒子的当前位置 xi=(xi1,xi2,···,xid),i=1,2,···,n,当前速度 νi=(νi1,νi2,···,νid), 所有粒子飞行的最好位置轨迹为 Pi=(pi1,pi2,···,pid),个体极值 pbest,i=(pbest,i1,pbest,i2,···,pbest,id),群体极值 pgbest,i=(pgbest,i1,pgbest,i2,···,pgbest,id)以及惯性权重 h,则按照下式进行粒子的更新与迭代.

其中,d=1,2,···,D;h为惯性权重;r1和r2分别为(0,1)之间的随机数;c1和c2为非负常数作进化因子;xid,k和νid,k分别是D维空间内第k次迭代时所更新的第i粒子的位置和速度;hinitial为初始惯性权重;kmax为最大迭代次数;hend为kmax时的惯性权重.取hinitial=0.9和hend=0.4,保证初期时有较强全局搜寻能力,同时后期时便于算法进行局部搜索.
PSO-PI控制器参数优化主要步骤如下:
步骤1.假定粒子i有参数kp,ki,群体规模、当前迭代次数k及最大迭代次数kmax、惯性权重、学习因子、个体极值pbest,i和群体极值pgbest,i等,并随机对粒子的xi和νi进行初始化;
步骤2.按照式(3)∼(23)更新粒子的xid,k和νid,k,然后按照式(3)∼(28)计算每个粒子的适应度值Ji;
步骤3.比较Ji与相应的个体极值pbest,i,若Ji>pbest,i,则更新pbest,i所在的位置代替Pi当前位置;
步骤4.比较Ji与相应的群体极值pgbest,i,若Ji>pgbest,i,则更新pgbest,i所在的位置代替Pi当前位置;
步骤5.对算法的终止约束进行判定,若终止则直接跳到步骤6;否则重复步骤2∼4;
步骤6.输出优化后的kp,ki参数值.
3.4 Li-SC HESS功率限制管理
前面以整车动力性和整车燃油能耗最小为主要分析对象,初步确立了HEV动力系统的能量优化管理方法,分配的处理系数可以保证Li-SC HESS的各个储能单元功率之间进行协调分配,但该控制方法的荷电状态约束条件仅仅以防止Li-SC HESS的过充过放为基本条件.为进一步提高Li-SC HESS的性能,需要对Li-SC HESS各个储能单元充放电状态下的功率进行实时在线管理,整车能量优化控制流程图如图8所示.
根据锂离子电池功率密度低、能量密度强、寿命有限和SC快速响应高功率变化的特性,考虑电机的需求功率变化时SC预先响应原则,规定在储能元件SOC达到严重过充(或过放)的上(或下)限值时,Li-SC HESS禁止该储能元件的充电(或放电);在SC的SOCsc未达到严重限值的情况下,则将SOCsc分为SC正常工作区间 (SOClow,SOChigh)、可功率限值管理区间(SOChigh,SOCmax)∪(SOCmin,SOClow).对Li-SC HESS实施充放电限值管理,具体办法如下:
∆Pbat和∆Psc分别为锂离子电池和SC的修正功率,且∆Pbat= −∆Psc(以下过程不再描述∆Pbat的表达式).正常工作时,SC的荷电状态SOCsc∈(SOClow,SOChigh),∆Psc=0,各个储能元件的功率不改变;放电功率越限时,功率修正规则如下式:

图8 HEV能量优化整体控制流程图
Fig.8 The overall flow chart of HEV energy optimization control

同理,充电功率越限时,功率修正规则如下:

4 结果及分析
本文研究的带有Li-SC HESS的HEV是运用ADVISOR软件,在传统的基于锂离子电池的HEV模型基础上,二次开发后得到的(图9).
考虑到国内大多小型汽车用户主要在城市日常使用的需求,本文采用的是城市道路循环工况(CYC-UDDS),汽车驾驶循环速度随时间的变化曲线如图10(a)所示,实际驾驶循环的齿轮位置显示如图10(b)所示.从图10(a)和图10(b)可以看出,汽车驾驶循环的速度随着齿轮位置的改变表现良好地跟踪特性,基本符合实际一定驱动周期内车辆驾驶循环的评估要求,从而验证了该种PMP算法能量优化控制电动汽车的可行性.
1)HEV动力系统能量优化前后对比及PSO实时优化出力系数结果.储能系统在汽车驾驶循环周期内正常工作时,可以通过电机提供或吸收部分能量,减少ICE燃油能耗.图11(a)和图11(b)分别为PMP算法能量优化控制整车动力系统前后电机转矩曲线.为了较好地表现该能量优化控制方法的实时跟踪性,针对单一锂离子电池,得出Hamiltonian函数出力系数λ(t)曲线图(图12).
对比图11(a)和图11(b)知,使用PMP算法后,电机转矩曲线波动明显比使用PMP算法之前变化剧烈,电机的功率需求明显增加,根据能量守恒,表明储能装置通过电机吸收的部分ICE燃油能耗明显增长;另外,该种控制策略还可以通过电机实时调节ICE沿着燃油能耗极小值的轨迹移动.图12明显表征了基于PMP算法的HEV能量优化控制方法对协态变量λ(t)的良好动态跟踪特性,即满足减少ICE燃油能耗的控制目标,也进一步验证了PMP算法设计的合理性与可行性.
2)单一锂离子电池储能和Li-SC HESS仿真情况对比.由图13(a)和图13(b)可知,无论锂离子电池的荷电状态还是SC的荷电状态都基本符合庞特里亚金极小值原理(即PMP全局优化算法)的末端约束条件,进一步验证了该种能量优化控制的PMP算法的合理性及有效性.另外,在汽车驾驶循环周期内,图13(b)和图14(b)中嵌入了SC的Li-SC HESS,明显减少了锂离子电池的出力,锂离子电池充/放电电流明显比单一锂离子电池作用下充/放电电流小,很好地平滑了锂离子电池的充/放电过程,也明显减少了相应地锂离子电池的充/放电次数.体现出了Li-SC HESS各储能元件之间良好的协调能力,对延长电池的使用寿命有很大帮助.同时,也验证了本文所设计的带有Li-SC HESS的HEV整车能量优化控制方法的正确性和有效性.
5 结束语
本文设计的HEV较传统机动车引入了混合储能装置,兼具ICE与Li-SC HESS各自的优点.例如,内部的ICE可以利用现有加油站资源,减少总体投资成本,而且可以弥补纯电动汽车难以解决除霜和空调等大能耗问题的缺陷;Li-SC HESS有助于延长传统HEV动力电池使用寿命,延长汽车的续驶里程.尤其是SC的嵌入使Li-SC HESS能很好地适用于车辆起步、变速及能量回收制动过程.同时,对HEV能量优化控制还可有效减少汽车尾气排放量,降低城市环境的污染度,具有很高的研究价值,也为今后进一步研究纯电动汽车Li-SC HESS协调分配奠定基础.

图9 HEV整车仿真模型
Fig.9 HEV simulation model

图10 CYC-UDDS工况下汽车驾驶循环速变化曲线
Fig.10 Under CYC-UDDS,real-time curve of driving cycle

图11 PMP算法能量优化前后对比图
Fig.11 After before the comparison chart of PMP energy optimization algorithm

图12 PSO-PI控制器实时优化Hamiltonian函数出力系数λ(t)曲线图
Fig.12 Graph of output coefficient real-time optimization of Hamiltonian function by PSO-PI controller

图13 单一锂离子电池和Li-SC HESS SOC仿真情况对比
Fig.13 Comparison of single lithium-ion battery and Li-SC HESS SOC simulation

图14 单一锂离子电池和Li-SC HESS电流曲线图
Fig.14 Single lithium-ion battery and Li-SC HESS current curve



