摘 要:为了提高电控液动气助力离合器自动操控系统对温度的自适应能力,从理论和实验两个方面研究了该系统的温敏特性。在试验数据的基础上建立了离合器自动操控系统接合速度与温度、占空比之间的经验公式,并在不同温度下通过试验对该公式的正确性和有效性进行了验证。试验结果表明:离合器操控系统温度模型建模的理论和方法正确,所得经验公式在实际运用过程中取得了理想的效果。
关键词:离合器操控系统;电控液动气助力;温敏特性
引言
离合器接合控制是决定自动机械变速器(AMT)车辆起步性能、换档过程品质、爬坡性能的主要因素[1]。大多数重型AMT车辆采用干式离合器,其离合器接合过程的控制方法一直是车辆传动系统研究的重点。在重型AMT车辆中,为了满足离合器膜片弹簧分离力的需求,采用电控液动气助力离合器操控系统对离合器进行控制是离合器控制中的一个重要方向[2,3]。但温度的变化对离合器操控系统的控制精度影响很大,尤其是低温环境严重影响其控制性能,限制了AMT系统应用范围的推广。
为了提高离合器过程控制对温度的自适应能力,通过理论分析和实验计算,研究了温度因素对离合器操控系统控制效果的影响规律,建立了离合器操控系统的经验模型,并通过试验验证了该模型的准确性和正确性。
1 温度对离合器操控系统的影响
AMT控制的难点之一是起步过程中离合器的接合控制。离合器的控制目标是不仅要提高起步过程离合器接合的平顺性,减少离合器滑磨功,延长离合器使用寿命,而且要保证发动机稳定运转。冲击度j是车辆纵向加速度的变化率,是离合器接合过程重要的评价指标之一,其表达式为:
(1)
式中, a为车辆纵向加速度;Tc为离合器传递扭矩;r为车轮滚动半径;Jc为离合器从动部分的转动惯量;io为主减速传动比;ig为变速器传动比。
通过对干式膜片弹簧离合器的特性分析[3]可知,离合器传递的摩擦扭矩Tc与离合器分离轴承纵向位移λ成正比:
(2)

(3)
式中, p为离合器摩擦片上所加载负荷;n为摩擦片片数;φ为摩擦系数;r1为摩擦面内径;r2为摩擦面外径;E为弹性模量。
由式(2)和式(3)可知,当离合器位移速率Δλ变化越大,则离合器传递的扭矩Tc变化越大,从而导致了冲击度j的增加。而离合器分离轴承的速率Δλ是由离合器操控系统所决定,如图1所示,当外部环境温度发生较大变化时,离合器操控系统控制下的离合器接合速度出现较大波动,严重影响了车辆起步的平稳性。因此研究温度因素对离合器操控系统的影响是十分必要的。

图1 不同温度下离合器操控系统结合速度
如图2所示,电控液动气助力离合器操纵系统其工作原理为:电控单元通过控制输出脉冲宽度调制波(PWM)的占空比大小来实现离合器操纵油缸油压的调节,达到控制离合器位移的目的,由此使实现离合器结合、分离和保持三种工况。根据电控液压系统本身的物理特性,通过分析和研究电控系统和液压系统与温度之间的定量关系,从而获得温度补偿函数。

图2 电控液动气助力离合器控制系统结构图
2 离合器操控系统温敏特性分析
2.1 温度对电控系统影响
如图3所示,在离合器电控部分由PWM驱动电路和比例流量阀构成,通过控制PWM波占空比来控制比例流量阀阀芯的位置,从而实现离合器控制油缸油压的调节。

图3 电磁阀驱动电路简图
其中离合器操控系统电磁阀为某公司生产的常开比例流量阀RD758,额定电阻为2.5 Ω,功率为5 W。该比例流量阀具有控制电流大、精度高、响应快、一致性好等特点。阀芯位置受驱动电流的控制,随着电流的增大而增大(如图4所示),其近似关系式为:

(4)
式中, y为阀芯位移;i为驱动电流;Ivmin为控制阀芯移动的最小电流;Ivmax为使阀芯达到最大位移处最小驱动电流;Imax为比例流量阀能够承受的最大驱动电流;k1为比例系数。

图4 比例流量阀特性曲线
根据文献[4],驱动电流的平均值
与占空比k2的关系为:
(5)
其中,
为驱动电压; k2为PWM波占空比;R为比例流量阀内阻;L为比例流量阀的电感;T为PWM波周期。从公式中可知周期T与电流波动幅值成反比,当周期T(1 ms)足够小时,实际驱动电流i可用平均电流代替,即:
(6)
从公式(4)和(6)公式中,可知比例流量阀阀芯位移和比例电磁阀电流成比例关系,比例电磁阀驱动电流与驱动电压U、电阻R和占空比k2三个因素有关,其中电阻R与外部环境温度密切相关。图5中,将10个样本流量比例电磁阀放置于不同环境温度下,其电阻测量值如图5所示,随着环境温度的升高而电磁阀电阻明显变大。在同一占空比k2下,随着电磁阀散热或环境温度变化,比例流量阀电阻的变化严重影响离合器控制的一致性,无法忽略温度变化所带来的扰动,是电控部分的主要温敏因素。
2.2 液压驱动部分
液压驱动部分主要由油源、分泵、气压助力液压工作缸和踏板总成等部分构成。离合器操控机构的运动速度是由液压油流量决定的, 除了比例流量阀阀芯的位置,影响流量的因素还与弹簧刚度系数、液压油的压力、液压油的黏度、摩擦等有关。在离合器接合过程中,此时气助力液压缸不工作,气阀处于关闭状态,离合器接合力来自于膜片弹簧的回复力,因此不考虑温度对气体密度的影响。

图5 不同温度下比例流量电磁阀电阻
离合器操控机构中主要的弹性部件有踏板回位弹簧和离合器从动盘弹簧。其中踏板回位弹簧为扭簧,其刚度系数表示为[5]:
(7)
式中, C为单列扭簧的刚度;E为材料弹性模量;d为钢丝线径;D为扭簧中径;n为扭簧圈数。使用的一般材料弹性模量会随温度的升高而减少,但对于汽车上的弹簧材料,温度对其影响较小。以40Cr钢材料为例,其在-30 ℃的弹性模量为186.56 GPa,在20 ℃的弹性模量为182.4 GPa,在60 ℃的弹性模量为179.15 GPa,从-30 ℃到20 ℃的变化率为2.28%[6,7],因此温度对膜片弹簧的弹力影响可忽略不计。
如图6所示,液压油黏度随着油温的变化而变化,油温升高会使液压油的黏度下降, 油温降低会使油液黏度升高,造成系统压降大、效率低。液压油黏度的变化会影响离合器操控系统的回油阻力,进而影响到离合器接合速度。在低温时,液压油黏度随温度的降低而指数级的增长,成为阻碍机构运动的主要阻力,因此液压油的温度特性也是操离合器操控系统主要的温敏环节之一。

图6 液压油黏温特性
综合上述分析,离合器操控系统中的温敏环节主要是比例流量阀电阻和液压油黏度。比例流量阀阻抗随温度降低而减小;液压油的黏度随温度降低而变大,低温时更加明显。
3 离合器操控机构温敏特性试验
为了得到更加准确的温度对比例流量阀和液压油影响关系,因此在恒温箱中模拟实际环境温度离合器操控系统的影响,如图7所示。根据前面的分析,本研究基于课题研究的AMT车辆机构搭建了离合器操纵机构测试平台。

图7 实验设备连接示意图
3.1 温度对比例流量阀驱动电流的影响试验
如图7所示,通过低电阻测量仪测试比例流量阀在同一控制频率不同温度下电阻的变化来反映温度对比例阀电器特性的影响,实验数据如图8所示。通过实验数据曲线可知,在一定的温度范围内,比例流量阀电阻随着温度的升高成近似线性化的变大,从-30 ℃到20 ℃的其变化率为22.7%,因此比例流量阀为操控机构中的一个温敏环节之一。根据实验数据,由于比例流量阀一致性和线性度较好,因此可以用拟合公式代替比例流量阀电阻随温度的变化特性:
R≈0.0128T-0.935
(8)
根据式(6)、式(8)得比例流量阀驱动电流与温度、驱动占空比之间的关系:
(9)

图8 温度与比例流量阀电阻的关系
3.2 固定温度下占空比与结合速度的关系实验
在固定温度下,当比例流量阀阀芯位移值小于其保持区间最小位移时,离合器操控机构的运动速度随着比例流量阀的开度的增大而减小,如图9所示。

图9 某温度下驱动电流与结合速度的关系
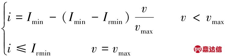
由于电磁阀电流与阀芯开度之间的线性关系不受温度变化影响,因此则认为在不同温度下,驱动比例流量阀的最小电流Ivmin和比例流量阀的截止最小电流Imin是不变的。根据图9可得任意温度下驱动电流与离合器结合速度的关系:

(10)
同时联立式(9)和式(10)得离合器结合速度与控制信号占空比的关系:

(11)
式中,
为温度T下的离合器最大结合速度。由于a,b只与比例流量阀的自身特性和驱动电压有关,因此认为a,b的值是保持不变的。
图10为温度292 K时占空比与离合器自动操控机构结合速度关系。通过对图中的数据进行最小方差拟合,则a为1.23×10-3,b为7.5865×10-4。由此得占空比k2与温度T、结合速度v的关系式:


图10 292 K时占空比与离合器结合速度的关系
3.3 温度对液压驱动部分的影响实验
通过式(12)得到了控制信号的占空比与输出速度、温度的关系,但其中vmax是一个与温度相关的函数。为了更加准确地测量出温度对液压驱动部分的影响,排除比例流量阀开度变化的干扰,采用离合器操控系统自由回位的特性来反映不同温度下液压油黏性变化对离合器结合速度造成的影响,即得到不同温度下离合器最大结合速度vmax。
自由回位是指在离合器完全分离后,在比例流量电磁阀接通回油路时离合器操控机构的回位特性,其主要取决于系统的机械特性(包含液压传动特性)。图11为不同温度下系统的自由回位特性图,从图中数据可以看出,随着温度的升高操纵机构的响应时间逐渐缩短,但变化幅值越来越小,同时离合器操纵机构的响应速度逐渐增大。通过对实验数据及液压油特性的特性分析,当温度大于283 K时,温度与离合器结合速度关系近似线性;温度小于283 K时,离合器结合速度为温度的二次函数。根据非线性最小二乘法拟合得到离合器最大结合速度与温度的近似关系 (拟合效果如图12所示):

图11 不同温度下系统的自由回位特性
(13)

图12 实验数据与拟合实验数据的对比效果
联立式(12)和式(13)得到占空比与温度、结合速度的经验公式:
(14)

4 试验验证
为了验证公式(14)和公式(15)的正确性,在图7中的实验台架上测试了温度在263 K、284 K和299 K时不同占空比(γ′)下离合器操纵机构的响应特性,得到了相应温度下的占空比与离合器结合速度的关系。图13、图14和图15分别为299 K、 284 K、 260 K时离合器接合速度实验数据与公式预测速度的对比图。
通过图中数据的对比可知:经验公式所估计的离合器不同温度下的接合速度与实测结果误差在10%之内,从而证明了离合器温度理论分析、经验公式建模的正确性。基于上述经验公式,在实际应用过程中,根

图13 299 K时实验数据与经验公式对比图

图14 284 K时实验数据与经验公式对比图

图15 260 K时实验数据与经验公式对比图
据期望离合器接合速度和当前环境温度来修正驱动占空比,从而保证不同温度下离合器接合速度的一致性,提高离合器控制对温度的鲁棒性。
5 结论
为了消除温度对离合器自动控制的影响,提出了一种离合器温度经验模型。通过对电控液动气助力离合器自动操控机构进行理论分析和试验研究,建立了该自动操控系统的温度经验模型并通过试验验证了其有效性和正确性,从而提高了离合器自动控制对温度的自适应能力。



