摘要:为解决因分布式电源接入配电网导致网络拓扑结构改变而引起的依靠传统电源故障特性建立的保护方案容易发生误动和拒动问题,提出一种基于保护安装处电流序分量相位差的新型纵联保护方案。方案定义电流负序分量和正序分量相位差为电流序分量相位差。通过计算保护装置处电流序分量相位差,进而再比较线路两端保护装置处的电流序分量相位差值大小,快速识别区内外故障。方案针对分布式电源多点接入、过渡电阻大小影响,不可测分支存在情况分别进行分析仿真。最后利用Matlab仿真软件对保护方案进行仿真,验证了保护方案的正确性。
关键词:分布式电源;分布式配电网;电流序分量相位差;正序电流;负序电流;纵联保护
0 引 言
现有大量文献研究表明[1-7],分布式电源(Distribution Generation,DG)接入配电网向用户供电使传统单电源辐射状网络结构变成潮流方向复杂多变的有源配电网[1],故障电流大小及分布路径发生显著改变,导致传统三段式电流保护容易发生误动或拒动[1-2]。受DG控制策略影响,光伏、风能等逆变型分布式电源(Inverter Interfaced Distributed Generation,IIDG)故障特性与传统电源故障特性不同,使依靠传统电源故障特性建立的保护方案可靠性降低[3-5]。
对此,文献[6-10]通过分析分布式电源接入容量、位置及输出特性对传统电流保护的影响,提出适合DG接入的配电网保护方案。其中文献[6-7]提出在不影响原有保护配置前提下限制DG容量以减弱DG对故障电流的贡献,该方案保证了电网安全可靠运行,但不利于新能源有效利用。文献[8-10]提出利用DG输出特性重新整定传统电流保护方案动作定值,该类方案可在确保配电网安全可靠运行前提下最大限度接纳DG容量,但由于需要实时了解所接入的全部DG信息,使得计算量增大,不利于DG灵活接入。纵联保护具有良好的选择性和速动性,故考虑将其应用于分布式配电网[11-13]。传统电流差动保护对通信通道和数据同步测量要求较高,且受不可测分支负荷影响较大,若直接将其应用于分支线路众多的配电网则经济性较差、可靠性不高。文献[11]提出的改进纵联保护方案需利用电压信息识别区内外故障,由于目前配电网只在变电站安装电压测量装置,于配电网而言该类方案不具有经济性。文献[14-16]只需利用电流信息实现故障方向判别。其中文献[15]利用区段两端电流故障分量幅值差异识别故障位置,受IIDG控制策略影响,分布式电源等效阻抗与传统电源等效阻抗不同[3],导致该方案可靠性降低。文献[16]提出利用同一母线上的无源分支电流正序分量和有源分支电流负序分量之间的相位关系判断故障方向,从而实现故障定位,该方案只需利用电流信息且不受IIDG控制策略影响,但只适用于母线上至少有一条无源支路的情况。随着分布式电源大量接入配电网,文献[16]所提方案具有一定局限性。
基于以上分析,本文在纵联保护原理上,定义电流序分量相位差,通过计算某保护装置Pro处的电流序分量相位差
下标Pro表示保护装置编号),并与线路对端保护装置处的电流序分量相位差
进行比较,提出基于电流序分量相位差的含分布式电源多点接入的配电网新型纵联保护方案。
1 分布式电源故障输出特性
分布式电源包括电机型和逆变型。现有大量文献研究表明电机类DG并网点(PCC)电压相位在故障前后基本保持不变,输出故障电流与系统电源产生的故障电流相位一致,因此可将其等效为电压源和内阻抗的串联[9]。
逆变型分布式电源(IIDG)通过逆变器并网,输出特性受控制策略影响,输出电流相位、幅值与PCC点电压相位、幅值有关,通常将其等效为受控电流源[9,11,15,16]。IIDG并网控制方式有幅频(V/f)控制、下垂控制、有功/无功(PQ)控制。目前配电网多采用PQ控制方式,即通过控制IIDG输出的有功、无功电流实现有功、无功功率控制,控制方程见式(1)。
(1)
式中 Pout和Qout分别代表并网逆变器输出的有功功率、无功功率,Upcc-d、Upcc-q、Id、Iq分别表示IIDG并网点电压、IIDG输出电流在派克坐标系下的d、q轴分量,正常运行时,IIDG几乎只输出有功功率,即Qout=0。
根据分布式电源并网新规定[17],为提高电网运行可靠性,并网运行的IIDG应具有低电压穿越(Low Voltage Ride Through,LVRT)能力。即故障后IIDG能够根据并网点电压跌落程度输出相应无功功率支撑电网电压,使IIDG能不脱网运行一段时间。以光伏电站并网要求为例,IIDG输出的无功电流应跟随并网点电压跌落程度变化[9,17-18]

(2)
式中
代表PCC点电压标幺值,IN为IIDG额定电流,k1大于等于1.05;参数k2代表电流支撑系数,反映无功动态支撑能力,k2 ≥1.5。为保证电力电子器件安全运行,IIDG故障后最大输出电流应不超过(1.2~2)IN。
非对称故障情况下,IIDG并网点电压将出现负序分量,输出的负序电流容易引起逆变器电流畸变,直流链电压稳定性下降[11 ,19]。为消除负序电流,通常采用逆变电源正序分量控制,在此控制策略下,IIDG输出电流始终保持对称[11,16]。因此,可将IIDG等效为受控正序电流源[3,11,16]。其故障输出特性与传统电源输出特性不同,将影响依靠传统电源故障输出特性建立的保护方案正确性[3-5]。
2 保护原理分析
图1为分布式电源多点接入配电网的系统等值模型。

图1 分布式电源接入的配电网等值模型
Fig.1 Equivalent model of distributed network with the access of distributed generation
在母线B、C处分别接入分布式电源DG1和DG2,系统等值电势和等值阻抗为Es、Zs,各支路阻抗为ZAB、ZAC、ZCD,α、β分别表示比例系数。Zld1和Zld2为接入的负荷等值阻抗。A1、A2、A3表示与母线A相连的各保护装置,按此方法对母线B、C、D处的保护装置进行编号。规定电流流出母线为参考正方向。
2.1 故障分析
当图1中f1点发生BC两相短路故障时,根据故障边界条件,得到复合序网如图2所示,图中
表示各支路电流(下标x表示保护装置编号,上标‘+’表示正序分量,同理‘-’表示负序分量)。

图2 f1点BC相间故障复合序网
Fig.2 Complex sequence network under a phase B-to-phase C fault at f1
为了简化计算过程,按照式(3)、式(4)化简网络结构:
Z1=Zs//(ZAC+ZCD+Zld2)+αZAB
(3)
Z2=Zld1+(1-α)ZAB
(4)
根据电路原理构建方程组

(5)
实际情况下负荷等效阻抗远大于系统阻抗,
联立该关系和方程组式(5)推导得到流过保护装置A2的电流负序、正序分量比以及保护装置B1处的电流负序、正序分量比(限于篇幅,此处不再详细列出):
(6)
(7)
因负荷阻抗远大于系统等效阻抗和线路阻抗,则存在关系Z1≈Zs+αZAB,Z2=Zld1+(1-α)ZAB≈Zld1,Z1//Z2≈Z1,利用该类关系化简式(6)、式(7),得:
(8)
(9)
定义
为电流序分量相位差(arg表示取相角符号,下标Pro表示保护装置编号,上标‘+’表示正序分量,‘-’表示负序分量)。对式(8)两端取相角,左边表示为
即保护装置A2处的电流序分量相位差,同理
表示保护装置B1处的电流序分量相位差。
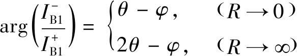
假设系统阻抗角和线路阻抗角近似相等为θ,负荷阻抗角为φ,对于式(8)、式(9),当短路电阻取不同值时,故障线路两端电流序分量相位差
分别存在如下关系:
(10)
(11)
随着R变化,
在180°~ 180°+θ 范围内变化,
在θ -φ到2θ -φ范围变化,R=0及R趋于无穷时,均存在:
(12)
实际情况下负荷阻抗角一般在-10°~60°之间,线路阻抗大多在0°~90°之间。当θ=φ时,式(12)等于180°,考虑最严重情况,负荷阻抗角φ取-10°,线路阻抗角θ取90°,式(12)计算结果等于80°,不等于0。
非故障线路AC两端电流存在关系
因此非故障线路AC两端保护装置A3、C1处的电流序分量相位差应相等,两端电流序分量相位差的差值为0,即:
(13)
f2点发生故障时可得相似结论,单相接地故障时也可得相似结论。综上,故障线路两端保护装置各自计算的电流序分量相位差
不相等;非故障线路两端的电流序分量相位差
相等。
2.2 不可测分支负荷影响
对支路AB,当A点到故障点f1之间存在不可测分支负荷Zld3,且不可测分支到A点的距离占Af1距离总长度的λ倍时,根据电路原理求出故障线路AB两端保护装置A2和B1处的电流存在以下关系:
(14)
(15)
假设系统阻抗角和线路阻抗角相等均为θ,负荷阻抗角相等为φ,有:
(16)
(17)
由式(16)、式(17)可知当线路上存在不可测分支负荷时,故障线路两端计算的
值相差较大,此时2.1节结论仍然满足。
2.3 计算机仿真实验
为验证上述结论,按图1在Matlab上搭建10 kV配电网模型,AB、AC、CD长度分别设置为:24 km,7 km,16 km,线路阻抗为Z1=(0.27+j0.329) Ω /km;母线B和C处分别接入额定容量为250 kW的光伏电源。负荷load1、load2容量分别设置为10 MW和35 MW。
对称故障(ABC三相短路)下无负序电流产生,故本文采用文献[20]所提方法,延迟A相电流数据滤波窗2个周波,制造假性负序分量。表1、表2、表3分别为不同故障类型、不同分支负荷大小、不同过渡电阻下的仿真结果,仿真计算结果统一在0°~360°范围。
由表1可知,当f1点发生不同类型故障时,故障线路AB两端保护装置A2和B1处的电流序分量相位差值相差较大。而非故障线路AC两端保护装置A3和C1计算结果几乎相等,差异不大。仿真结果表明故障类型不影响2.1节结论。
当f1点和母线A之间存在分支负荷,f1点发生AB两相短路故障时,仿真结果见表2。表2给出了不可测分支负荷大小占本线路总负荷的10%、30%、50%等五种情况下对应保护装置处的
由表2可知,故障线路两端保护装置A2、B1处电流序分量相位差相差较大,非故障线路两端A3、C1处的电流序分量相位差几乎相等,因此不可测分支负荷不影响2.1节结论。
表3为f1点发生BC相间短路时,不同短路电阻下保护装置处的电流序分量相位差
值。分析可知短路电阻大小虽影响电流序分量相位差大小,但故障线路两端保护装置A2、B1处的电流序分量相位差值始终相差很大;而非故障线路两端保护装置A3、C1处的电流序分量相位差几乎相等。因此过渡电阻大小不影响2.1节结论。
表1 不同故障类型下电流序分量相位差
Tab.1 Phase angle difference of current sequence components under different fault types

表2 不同分支负荷下的电流序分量相位差
Tab.2 Phase angle difference of current sequence components under different loads

表3 不同短路电阻下的电流序分量相位差
Tab.3 Phase angle difference of current sequence components under different short-circuit resistors

3 含IIDG的配电网新型纵联保护方案
3.1 保护原理
根据第2节分析可知:区内故障时,故障线路两端保护装置处的电流序分量相位差
不相等。
(18)
式(18)中下标Pro-l和Pro-r分别代表所分析线路首端和末端的两个保护装置编号,下同。
系统正常运行以及发生区外故障时,由于流过线路两端的电流相等,所以线路两端保护装置处的电流序分量相位差相等。
(19)
综上,由式(18)、式(19)可以识别区内外故障。
3.2 保护判据
区内故障时,定义保护判据:
(20)
上式中
表示线路两端的电流序分量相位差的差值,γ是一与线路阻抗角和负荷阻抗角相关的值,由2.1节中分析可知,故障线路两端电流序分量相位差大于等于80°。实际负荷阻抗角可能小于-10°,此时计算的线路两端的电流序分量相位差会小于80°,考虑最严重情况,功率因数低于0.7,负荷阻抗角到-46°,在此情况下:
(21)
考虑其他因素影响及测量误差,非故障线路两端电流序分量相位差的差值可能大于0,为了提高保护灵敏性和可靠性,适当减小γ值,最终设置γ=30°。
3.3 配电网仿真模型
为了说明保护方案的实用性,扩充图1的接线规模,增加接入的IIDG数量,接线图见图3。利用MATLAB建模,系统电压等级设置为10 kV,线路单位正序阻抗为:Z1=(0.64+j0.12)
/km;零序阻抗为:Z0=(2+j0.4)
/km;负荷load1~load4容量分别为:(1 500+j80) kW,(1 100+j30) kW,(1 200+j30) kW,(1 200+j30) kW。光伏电源DG1~DG3的容量分别为:400 kW,500 kW,600 kW。

图3 含IIDG多点接入的配电网仿真模型
Fig.3 Simulation model of distribution network withthe access of IIDG multi-point
表4为f1点和f2点分别发生短路故障时计算的各相关保护位置处电流序分量相位差。f1点故障时,母线B和母线D间的保护装置计算的
值大于30°,故判定故障位置在母线B和母线D之间;f2点故障时,同理可判断故障位于母线A和母线C之间。
表4 不同故障位置下各保护装置电流序分量相位差
Tab.4 Phase angle difference of current sequence components at different fault locations

4 结束语
文中提出一种利用线路两端电流序分量相位差大小关系实现故障区段定位的新型纵联保护方案。定义了新型纵联保护方案判据。仿真结果表明该方案具有以下优点:
(1)抗过渡电阻能力强,且方案可克服线路中不可测分支负荷对传统纵联保护的影响;
(2)保护方案具有经济性。相比于依靠传统故障特征量实现的纵联保护,所提方案对通信要求较低,不需要两端信息严格同步。且保护方案只需要电流量,不需要电压元件;
(3)方案具有广泛适用性,对于分布式电源多点接入的情形仍然适用,且不受分布式电源接入位置影响;
(4)方案适用所有非对称故障类型。
在三相短路故障时,仿真结果表明采用文献[20]所提方法构造假性负序分量在大多数情况下适用文中方案,但在线路越复杂时,该方法不再完全适合文中方案。如何找到更准确的方法解决三相短路无负序电流的问题,这也将是作者下一步的研究重点。



